WINTER

近期,在新授“20.2一次函数的图像”一课后,学生作业中布置了这样一个普通的问题:
将直线y=2x-3向左平移2个单位后所得图像的函数解析式是:_____
经过批改,笔者发现学生错误很多,有以下典型错解:① y=2x-1;② y=2x-7,等。当我和部分同学沟通时,他们都提到了四个字“左加右减”!这是一则很“流行”的口诀,与之对应的是“上加下减”!
翻开(沪教版)八下教材,对于一次函数图像的平移,教材是这样描述的:

在教学中,通过试验观察,学生很容易接受“上加下减”,课后做题时正确率颇高,当迁移到“左加右减”时很多同学发生了困难,因为这两句话有很大不同。
01
对象不同
对于直线y=kx+b(k≠0)而言。
“上加下减”是直接在“b”上进行加减,比如将直线y=2x-3向上平移两个单位得到的函数解析式是:y=2x-1(y=2x-3+2)。
“左加右减”是对x开“小包房”,针对自变量x进行加减,比如将直线y=2x-3向左平移两个单位得到的函数解析式是:y=2x+1(y=2(x+2)-3)。
02
和学生原有经验冲突
对于数轴上的数而言,越往左越小,越往右越大,然而“左加右减”这个口诀是“倒过来”的,图像向左平移要“加”,向右平移要“减”,和学生原有经验是相反的,在做题时就会产生不适应,从而造成错误。
实际上,其背后是“坐标系平移”。
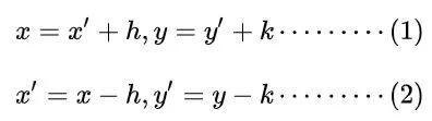
设旧坐标系为xOy,平移后的新坐标系为x′O′y′,新坐标系的原点O′在旧坐标系中的坐标为(x0,y0),平面上任意点P的旧坐标是(x,y),新坐标是(x′,y′),则关系式

称为坐标轴的平移或坐标轴的平移公式,简称移轴公式。由此我们可以把函数图像向左平移,理解为坐标轴向右平移。
我的建议

这个关键点就是(0,b),直线平移,斜率“k”不变,将(0,b)根据题意平移,代入平移后的待定解析式,即可求得平移后函数解析式。
例1:求将直线y=2x-3向上平移两个单位后的函数解析式
解:(0,-3)向上平移两个单位(0,-1)
设y=2x+b,代入(0,-1),
得:b=-1
将直线y=2x-3向上平移两个单位后的函数解析式是:y=2x-1.
例1:求将直线y=2x-3向左平移两个单位后的函数解析式
解:(0,-3)向左平移两个单位(-2,-3)
设y=2x+b,代入(-2,-3),得:b=1
将直线y=2x-3向左平移两个单位后的函数解析式是:y=2x+1.
二次函数图像的平移
二次函数图像(抛物线)也可以此类推,将图像平移转化为关键点(顶点)的平移,比记忆“上加下减、左加右减”来得错误率低。
例:将抛物线y=x^2-2x-5向右平移2个单位,向下平移3个单位,求所得图像函数解析式。
解:y=(x-1)^2-6,
顶点坐标(1,-6)
抛物线向右平移2个单位,
向下平移3个单位
(1,-6)右2下3,得(3,-9)
得平移后图像函数解析式:y=(x-3)^2-9
记忆并不靠谱,不理解,记得一时,记不住一世!
以学生为本,即从学生(普娃)认知出发,寻找学生知识建构的生长点,为学生设计合理的解决问题的策略,促进学生理解,需避免纯粹记忆。
草根个人的微信公众号,欢迎关注

初中数学微课程

吉吉初中数学小站
本文探讨了在数学教学中,学生在理解一次函数图像平移时遇到的困难,特别是“左加右减”口诀带来的混淆。通过分析对象差异和坐标系平移,建议教师引导学生通过关键点平移来理解函数解析式的变换,降低错误率。
754

被折叠的 条评论
为什么被折叠?



