写在前面:
点击阅读原文获取一堆乱七八糟的高数题
2017年的积分题
by 某田
故事是这样的
某田闲来无事看了一眼公众号后台
有一个不知名小伙伴输入积分两个字
后来一想外经史也学不下去
宏观也不会
不如做一期嘻嘻
不过考虑到时间还是只做17年的了嘻嘻
如果有其他问题emmm可以后台留言哦


照惯例我们来先看选填:
第一题实际上是原函数的概念,这题千万要注意的一点是:连续函数的原函数还是连续。所以对于连续的分段函数,对几个函数分别求了不定积分以后,一定要在间断点算一下两段原函数的值,让他们保持相等,调整两个C之间的关系。
答案是D
第二题还是原函数的概念,一个是要分清楚dx啊,∫符号啊,这些符号的意义。然后用排除法就好了。
这题简单就在于B项都没有写+C...只要不是在考试的时候脑抽误以为是印刷错误的话,其实一眼就知道答案是B了...
第三题考可积的条件,
可积不一定连续,连续必定可积
有界是可积的必要条件
有界且有有限个间断点是可积的充要条件
这个题,看见A和B,就知道肯定有一个不对....
然后A和B之间选,就很好选了。无界肯定没有定积分,所以答案是A
补充,还有比如这里要知道存在比如∫1/lnxdx,∫[(e^x)/x]dx这种原函数不能用解析式表示的积分,要注意。
第四题:是一个变上限函数的问题。
这个题要求函数的极限,首先把a试着带进去,发现他是一个0/0,那么考虑洛必达。
这里一定要注意!!!变上限函数的上限不是x,是x^2,那么这里一定要对x^2求一次导。这个位置很容易忽视。
接下来就是,别忘了带进f(x)里面的应该是a^2,还好这个选项里没有干扰项。

第五题是求定积分,直接算也能算。
这个题其实用了三角函数求定积分的换元法,看一眼就能出来了。
令t=π-x,把0到2π的区间转换成-π到π的对称区间,因为sin(π-x)=sinx,加之sinx的三次方是一个奇函数,所以等于0。
奇偶函数的定积分往往能起到很大的化简作用。要格外注意。
下面演示一下普通算法怎么算...

这里值得关注的是高次sinx、cosx求积分方法:
对于单独的sinx,cosx:
如果是奇数次的话,那么就单独拿出来一个sinx或cosx,变成一次和偶数次相乘的结果,对偶数次用二倍角公式慢慢降幂即可。
如果是偶数次,那就直接慢慢降幂就好....
如果有sinx的n次方和cos的相乘,或者加分式这种复杂的情况,那么:
对相乘的位置用2sinxcosx变成sin2x,或者用...万能公式,或者除以一个cosx的几次方变成tanx的函数,也有可能...
一定要小心的几个地方:一个是cosx求导会有负号,一个是sinnx和cosnx的求导会出一个n的系数。小心系数和负号上出问题。
第六题用夹角公式,把两个向量表示出来,然后算两个向量的内积(数量积)和模长,算出cosα,然后...就出来了。答案是D
第七章空间向量的题基本都不怎么难,只要能想清楚,记清公式,基本上就没问题了。
这里尤其要注意,求外积(向量积)的时候,算三阶行列式很容易出错,错的地方在于算单位k向量时,有个负号不要落下...

填空题:
第一题是不定积分,用了凑积分法,把e^x放进dx里面,把e^x看成一个整体的话,就是arctanx的导数形式了,所以答案是arctane^x,注意+C!
答案是arctane^x+C
第二题是定积分,是一个奇函数加一个偶函数,对称区间,所以前面一半是0,只要求|x|的定积分就好了。看到很复杂的定积分,先看看奇偶性,尤其是对称区间和很像对称区间的题。
答案是π^2/16
第三题是我...考试唯一错的一道题(溜了)
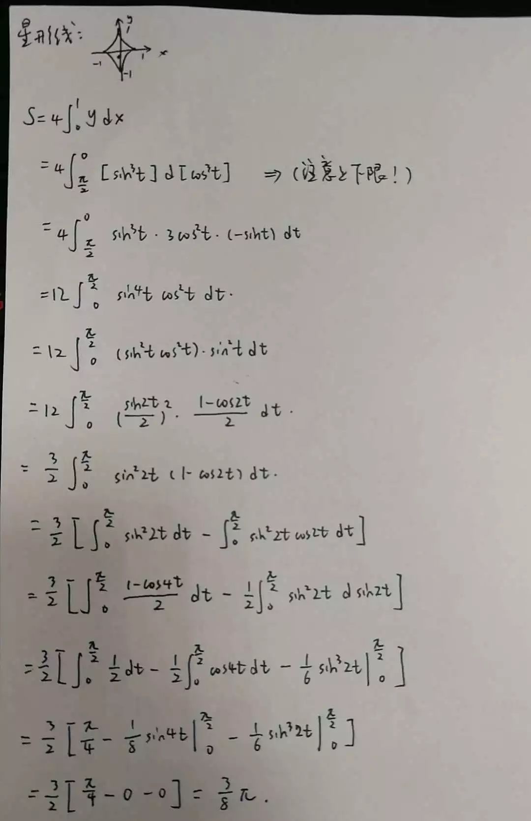
这道题星形线面积的填空题,要是能记住3πa^2/8的公式,这个题就...不用算了
当然这个题算起来,其实挺复杂的。
来演示一下。
当然你要大概知道星形线长啥样,是四部分完全对称的图形。
也可以带上a算一下...感觉更爽

第四题:其实是点法式平面方程的写法,很简单了,最后尽量化成平面一般方程:x+y+z-3=0

这三个计算题还不难:
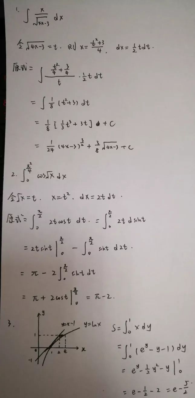
第一题可以考虑换元,把分母设成t,换元后就很简单了。
第二题可以先换元,把根号x设为t,注意定积分换元必换限,然后分部积分就好了
第三题,求面积先画图,画了图之后确定积分范围!!!这里绝对不要出错,看清他要积分的是哪个区域!然后用定积分表示出来,注意上下限,然后就是算了。
这里要有一点小的知识储备,x-1和lnx在x=1点相切,知道这个就会画图了。


第四题...其实是我当时做的最烦的一道题...
因为我当时用分类讨论做的,分别讨论了t在不同区间范围时候的最小值,比较了之后...才算出来
感兴趣的可以试试...
这个题的正确方法要先判断出来g(0)处是极小值也是最小值。
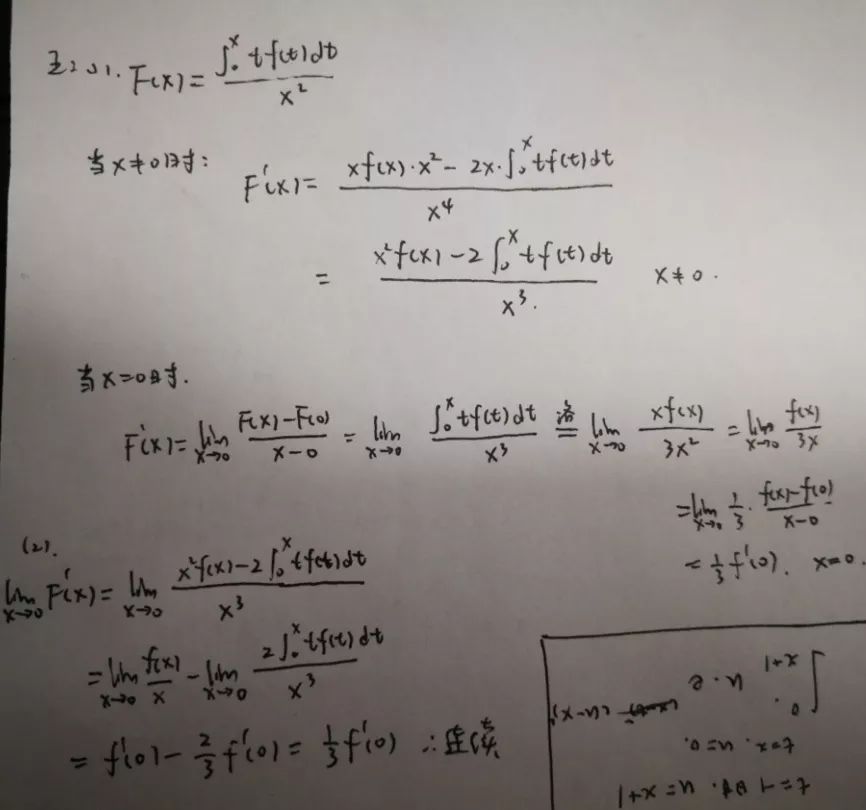
首先我们看x是自变量,t是积分变量,这是不应该混的。
当x大于1时候,x-t一定是大于0,去掉绝对值,你会发现x越大积分值越大,所以不可能在大于1的位置。
同样,当x小于-1,去掉绝对值符号一定是t-x,x越小积分值越大,所以不可能在小于-1的位置。
接下来看x在-1到1之间,因为t也在-1到1之间,我们把绝对值去掉,记住去掉绝对值是为了算积分,不是为了算函数值,那么我们应该把积分写成:

求导:
这里涉及到变上限函数更复杂的求导,因为原函数里有x,会让人蒙,但是没事!因为x不是积分变量,我们算积分的时候看成常数就好了,所以可以把x提出来,然后用乘法求导的链式法则求导:
这里是这道题最难的地方!


这个题...还是变上限函数...
简直有毒...
这个题第一问求导。注意在不等于0的地方直接用除法的求导式子就可以了,在等于0的位置用导数定义来求。
第二问判断连续性...只要求一下极限就可以了。


大家往往以为第六题很难。。。
其实这个题比第四题还简单...
首先要理解他让我们干什么,积分值和p无关,不管p是什么,所以p我们必须看做是一个变量。
那q呢?有人会问。q虽然也“任意”,但是题没提q变化的影响,这不是我们要研究的东西。
OK!p如果是变量...这其实又是个...变限函数...
我们看这个题的条件,怎么用数学去理解?


嘻嘻到了最后一道题
这个题看上去还挺奇怪..其实一点也不奇怪...
最关键的一步是找递推关系,这里建议大家把sinx,cosx,tanx,arctanx什么的n次方递推怎么算都看看...
一般的递推算法都需要用到分部积分。
对于这个题,这个题的递推超级好找...
看见一个递推,我们先把它的下一项写出来...
写出来你先看看直接相加减有没有什么关系,如果没有看看分部积分能不能行。基本上也就这样了...
这个题加一下直接就出来了...

好了到这里我们已经看到了曙光:

思路还是挺清晰的:
就在于一个是找到递推关系,一个是要会对递推关系进行处理。
建议大家多做做递推关系的式子。
一般来讲这种压轴题还比较喜欢出积分中值加微分中值啊,积分大小的证明啊,或者柯西施瓦茨不等式的应用这种...
随缘吧...
结论:
这套题...还行吧
积分的东西很成体系,技巧也挺多的,建议大家多练习一下,其实也还好。
祝大家考试顺利
话说我的原创类别竟然是...文学...
字好丑因为懒...
有问题可以在后台留言...
阅读原文里面试卷的提取码是disb
...加油!
肯定没有下期了....(外经史学不完了嘤嘤嘤)
文稿 编辑 审校 | 某田
做题 | 某田
图片 | 某田
本文介绍了2017年的几道积分题目,涉及原函数概念、可积条件、变上限函数极限计算、三角函数求定积分的换元法等。强调了积分计算中的关键点,如连续函数的原函数性质、奇偶函数定积分的化简、高次sinx和cosx求积分的方法等。同时,文章提供了空间向量计算和积分题目的解题思路,提醒考生注意积分技巧和常见陷阱。
4201

被折叠的 条评论
为什么被折叠?



