本笔记中原始数据及代码均来源于李东风先生的R语言教程,在此对李东风先生的无私分享表示感谢。
先复习一些回归理论。 将模型写成矩阵形式

Y为n×1向量, X为n×p矩阵, 一般第一列元素全是1, 代表截距项。 β为p×1未知参数向量; ε为n×1随机误差向量, ε的元素独立且方差为相等的σ方(未知)。 假设矩阵满秩,系数的估计为

拟合值(或称预报值)向量为

其中

是Rn次方空间的向量向X的列张成的线性空间μ(X)投影的投影算子矩阵, 叫做帽子矩阵。 设

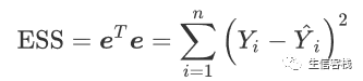
拟合残差向量为

残差平方和为

误差项方差的估计 (要求设计阵X满秩)为均方误差(MSE)

(其中p在有截距项时是自变量个数加1) 在线性模型的假设下, 若设计阵X满秩, β^和σ方^分别是β和σ方的无偏估计。 系数估计的方差阵

回归残差及其方差为

若lmres是R中lm()的回归结果, 用residuals(lmres)可以求残差。 把ei除以其标准差估计, 称为标准化残差,或内部学生化残差:

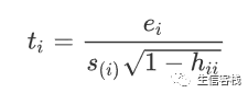
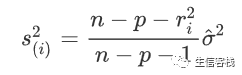
ri渐近服从正态分布。 若lmres是R中lm()的回归结果, 用rstandard(lmres)可以求标准化残差。 如果计算yi的预测值时, 删除第i个观测后建立回归模型得到σ方的估计s(i)方, 则外部学生化残差为

ti近似服从t(n-p-1)分布 (有截距项时p等于自变量个数加1)。 其中s(i)有简单公式:

若lmres是R中lm()的回归结果, 用rstudent(lmres)可以求外部学生化残差。
往期回顾
R相关与回归学习笔记(一)——相关分析
R相关与回归学习笔记(二)——相关与因果、相关系数大小、相关系数的检验
R相关与回归学习笔记(三)——相关阵、一元回归分析
R相关与回归学习笔记(五)——回归有效性
R相关与回归学习笔记(六)——R程序
R相关与回归学习笔记(七)——回归诊断(一)
R相关与回归学习笔记(七)——回归诊断(二)
R相关与回归学习笔记(八)——回归诊断(三)
R相关与回归学习笔记(九)——预测区间、控制、多元线性回归模型
R相关与回归学习笔记(十)——参数估计、R的多元回归程序(一)
R相关与回归学习笔记(十一)——模型的检验
R相关与回归学习笔记(十二)——线性关系检验、单个斜率项的显著性检验
R相关与回归学习笔记(十三)——回归自变量筛选
R相关与回归学习笔记(十四)——哑变量与变截距项的模型(一)
R相关与回归学习笔记(十五)——哑变量与变截距项的模型(二)
本文介绍R语言中线性回归分析的残差诊断,包括拟合值、残差向量、残差平方和、MSE、标准化残差和外部学生化残差的计算与理解,以及如何使用R的lm()函数获取相关统计量。
1786

被折叠的 条评论
为什么被折叠?



