- 博客(19)
- 收藏
- 关注
原创 面向加密云数据的多关键字语义搜索方法
面向加密云数据的多关键字语义搜索方法摘要:文中面向加密云数据提出了一种支持多关键字的安全语义搜索解决方案,其核心思想 是基于主题模型获取文档的主题向量和主题的词分布向量,通过计算查询关键字与各个主题 的语义相似度生成查询向量,支持在同一向量空间内评价查询向量与文档主题向量的相似 度;提出了基于 EMD 并结合词嵌入计算查询向量与主题相似度的方法,提升了查询关键词与主题之间语义相似度的准确性;为支持高效语义搜索,构建了主题向量索引树,并采用 “贪婪搜索”算法优化关键字搜索。关键词:加密可搜
2021-07-17 16:26:10
396
原创 基于双服务器的抗关键词猜测攻击的公钥可搜索加密方案
基于双服务器的抗关键词猜测攻击的公钥可搜索加密方案摘要:公钥可搜索加密技术非常适合解决密文查询检索问题,但是该技术普遍存在离线关键词猜测攻击的可能。针对接收的部分检索陷门对密文数据库进行搜索,从而抵抗离线关键词猜测攻击。 提出了一种基于利用双服务器的公钥可搜索加密方案来防范离线关键词猜测攻击。该方案通过双服务器的协同合作,分别利用从接收者传送的部门陷门信息进行检索,从而抵抗了离线关键词猜测攻击且与其他相关方案相比,在效率成本方面也具有明显的优势。 关键词:公钥加密;关键词搜索;关键词猜测攻击;双服务器
2021-07-17 16:23:13
955
原创 A Multi-User Public Key Encryption with Multi-Keyword Search out of Bilinear Pairings
A Multi-User Public Key Encryption withMulti-Keyword Search out of Bilinear Pairings一、总结本文提出了四种针对关键字猜测攻击的方案。在 DDH 和 PF 假设下,证明了它们在安全模型中是安全的。本文实现了多关键字搜索、排序结果和多用户搜索的功能。此外,本文的方案只使用模指数化和模乘法,而不使用双线性配对,所有计算都由云服务器完成。因此, 方案符合物联网系统轻量化的要求。二、预备知识1.Decisional Diff
2021-07-17 16:13:12
458
1
原创 支持语义扩展的动态多关键词密文排序检索
支持语义扩展的动态多关键词密文排序检索(对称的)摘要:1.该方案通过构建语义关系图实现查询关键词的语义扩展;2.使用树索引结构实现数据的检索和动态更新;3.利用向量空间模型实现多关键词排序搜索;4.基于安全K近邻算法对维度扩展后的索引和查询向量进行加密。安全性分析表明。5.该方案在已知密文模型下是安全的且具有动态更新时的前向安全和后向安全。关键词:对称可搜索加密; 多关键词排序检索; 动态更新; 语义扩展一、系统模型:1.语义关系图互信息可用于分析关键词间的相关度,基于互信息构建语义关
2021-07-17 16:07:27
688
原创 高级语言程序设计--实验7 数组的应用(二)
1040 统计不同数字的个数Description由键盘输入20个整数,统计不同数字的个数。输入样例70 5 14 22 19 2 99 67 13 66 5 93 44 38 22 11 39 22 33 11输出样例16提示因为5有1个重复数字,11有1个重复数字,22有2个重复数字#include<stdio.h>int main(){ int a[20],i,j,t,count=0; for(i=0;i&l
2020-05-26 11:15:21
1188
原创 高级语言程序设计--实验7 数组的应用(一)
1039 倒序Description由键盘输入10个整数,倒序输出。输入样例705142019299671366输出样例661367992192014570#include<stdio.h>int main(){ int a[10],i; for(i=0;i<10;i++)//输入数组要用for循环 scanf("%d",&a[i]); printf("\n"); fo
2020-05-26 11:10:31
502
原创 高级语言程序设计--实验6 循环结构(二)
1028 求素数/*输出2到200之间(包括2、200)的所有素数(注:要求1行1个素数,按由小到大的顺序输出)。输出样例2357……199*/#include<stdio.h>int is_ss(int x)//构造函数判断是否为素数{ int j,a=sqrt(x); for(j=2;j<=a;j++) { if(x%j==0) return 0; } return 1;}
2020-05-26 11:05:16
1342
原创 高级语言程序设计--实验5 循环结构(一)
1029 求最大公约数由键盘输入两个正整数m、n(m、n<1000000)计算它们的最大公约数。输入样例16,24输出样例8#include <stdio.h>int main(){ int m,n,r; scanf("%d,%d",&m,&n); r=m%n; while(r!=0) { m=n; n=r; r=m%n; }//辗转相除法 printf("%d",n); return 0;}延
2020-05-26 10:53:20
2819
转载 记忆面包C-字符串的输入输出
字符串的输入在C语言中,有两个函数可以让用户从键盘上输入字符串,它们分别是:scanf():通过格式控制符%s输入字符串。除了字符串,scanf() 还能输入其他类型的数据。gets():直接输入字符串,并且只能输入字符串。但是,scanf() 和 gets() 是有区别的:scanf() 读取字符串时以空格为分隔,遇到空格就认为当前字符串结束了,所以无法读取含有空格的字符串。gets...
2020-05-26 10:34:40
341
1
原创 记忆面包C-求最大公约数和最小公倍数
基本概念如果数a能被数b整除,a就叫做b的倍数,b就叫做a的约数。约数和倍数都表示一个整数与另一个整数的关系,不能单独存在。如只能说16是某数的倍数,2是某数的约数,而不能孤立地说16是倍数,2是约数。 "倍"与"倍数"是不同的两个概念,"倍"是指两个数相除的商,它可以是整数、小数或者分数。"倍数"只是在数的整除的范围内,相对于"约数"而言的一个数字的概念,表示的是能被某一个自然数整除的数。...
2020-05-26 10:34:31
259
转载 记忆面包之C++ find函数
来自C++中STL里提供了许多字符串操作的函数,下面是字符串查找方面的部分函数用法简介:1.find()查找第一次出现的目标字符串:#include<iostream>#include<cstdio>using namespace std; int main(){string s1 = "abcdef";string s2 = "de";...
2020-05-26 10:34:17
178
原创 记忆面包之C语言-常用库函数
1、判断是否为平方数#include <stdio.h>#include <math.h>int main(){ int a; scanf("%d",&a); if(sqrt(a)==(int)sqrt(a)) //sqrt()平方根函数 printf("Y"); else printf("N"); return 0;...
2020-05-26 10:34:06
291
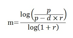
原创 SCAU-OJ教材习题
第三章1、分期还款(加强版)从银行贷款金额为d,准备每月还款额为p,月利率为r。请编写程序输入这三个数值,计算并输出多少个月能够还清贷款,输出时保留1位小数。如果无法还清,请输出“God”计算公式如下:输入格式三个数,分别为货款金额、每月还款和月利率,以空格分隔,均为非负数...
2020-05-26 10:33:55
2408
原创 高级语言程序设计--实验11 链表操作(1)
一、堂上限时学习1、链表的合并下面程序创建两个链表,然后将第二个链表合并到第一个链表未尾,但合并部分的代码未完成,请你完成这部分代码。#include "stdio.h"#include "malloc.h"#define LEN sizeof(struct student)struct student{ long num; int score; st...
2020-05-26 10:33:39
609
原创 高级语言程序设计--实验10 指针与结构体(2)
二、堂下练习1、字符串与指针请写出下列程序的运行结果#include<stdio.h>int main( ){ char string[30]="How_are_you" ; char *p=&string[0], *p2=string+8; printf("%s,%s\n" , p , p2 ) ;} 程序运行结果为:#inclu...
2020-05-26 10:33:31
462
原创 高级语言程序设计--实验10 指针与结构体(1)
一、堂上限时练习1、[填空]交换两数,由大到小输出。下面程序,交换两数,使两数由大到小输出,请填空。#include "stdio.h"void swap(_______________________) { int temp; temp=*p1; *p1=*p2; *p2=temp; } int main() ...
2020-05-26 10:33:23
421
原创 高级语言程序设计-实验9 函数的应用(2)
二、堂下练习1、[填空题]函数定义下面是使用辗转相除法,求最大公约数的程序,请补充完整程序中函数的定义与调用,运行通过后提交代码。#include "stdio.h"_______________________{ int r; while ((r=m%n)!=0) { m=n; n=r; } return ...
2020-05-26 10:33:11
812
原创 高级语言程序设计-实验9 函数的应用(1)
一、堂上限时训练1、 编写函数计算阶乘下面程序实现由键盘读入整数n,计算并输出n!,请补充完整计算阶乘的函数。include "stdio.h" __________ main() { int n; scanf("%d", &n); printf("%ld", fanc(n)); } 输入样例3输出样例6...
2020-05-26 10:32:54
1468
原创 高级语言程序设计--实验2 基本类型与运算
一、堂上限时习题3、阅读下面程序,写出运行结果:分析:(1)a的余数是0;(2)b取商,且不用四舍五入。(3)c=b++,先执行c=b,在执行b = b+1。(4)double和float类型数据打印默认打印小数点后6位,想显示更多,可用%.nf的形式。(5)15/10属与整型,取商后,显示小数点后6位。(6)d/10,属于float类型之间的运算,所以可实现显示小数。答案:...
2020-05-26 10:32:35
324
空空如也
空空如也
TA创建的收藏夹 TA关注的收藏夹
TA关注的人
RSS订阅