把正方形映射为圆
翻译自:Mapping a Square to a Circle
- 全部机器翻译, 看看能不能读
I wanted to come up with a nice way to map all the points in the square
我想以一种精密的方式来映射一个正方形中的所有点.
截图1: 
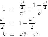
to the points in the unit circle, such that the points along the axes are unchanged, and the corners get normalized. The way I went about this was to think of a line of constant x (as well as a line of constant y) getting mapped to an ellipse in the circle. So for our first requirement to hold true, the ellipse for some constant x has the equation
对于单位圆中的点来说, 沿着坐标轴的那些点是不变的, 角被归一化了. 在这方面我的办法是认为行的恒定 x (以及不断 y 线) 获取映射到椭圆的圈子。所以我们举行真正的第一要求,一些常量 x 椭圆有方程
截图2:

Now we want to make sure that points along the curve at the top of the circle (from 45 degrees to 135 degrees) are all accounted for. So for x between -1 and 1, we want the ellipse to pass through the point
现在我们想要确保,点沿曲线顶部的圈子 (从 45 度到 135 度) 都占。所以 x-1 和 1 之间,我们想要通过点的椭圆
截图3:

So we'll plug that in, and that should give us the b coefficient for our ellipse
所以我们将它打开,和那应该给我们为我们的椭圆的 b 系数
截图4:

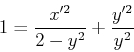
So the ellipse for constant x is
所以为常数 x 椭圆
截图5:

Similarly, for a line of constant y, we get the ellipse
同样,对于恒定 y 的线条,我们得到椭圆
截图6:

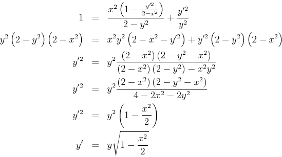
Solving the first for x', we get
解决第一个为 x',我们得到
截图7:

Plugging this into the second equation gives
这插入第二个方程给出了
截图8:

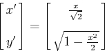
and by symmetry we can see that the mapping
由对称性,我们可以看到,映射
截图9:

takes the square from -1 to 1 on the x and y axes, to the unit circle. Here's a demonstration of that mapping, which shows its effect on various grid lines.
以广场从-1 到 1 的 x 和 y 轴,到单位圆。这里是示范该映射,显示其对各种网格线的影响。
截图10:

I'd like to find a way to map a cube to the unit sphere. Hopefully I can get that ready for the next post.
我想找到某种映射到单位球面的多维数据集。但愿我能,准备接下来的文章。
本文介绍了如何将正方形中的所有点映射到单位圆上,保持坐标轴上的点不变,同时归一化角落。通过考虑恒定的x和y线映射到圆内的椭圆,作者推导出相应的椭圆方程,确保圆顶曲线上的点都被覆盖。最后,展示了这种映射对不同网格线的效果,并表达了对将立方体映射到单位球面的兴趣。

397

被折叠的 条评论
为什么被折叠?



