•特点:在配对样本T检验中,强调被试一定要同质(同一样本,不同变量环境),其目的就为了消除目的是额外变量的影响,更能反映自变量和因变量之间的关系。
•配对样本t检验的过程,是对两个同质的样本分别接受两种不同的处理或一个样本先后接受不同的处理,来判断不同的处理是否有差别。
•这种检验的目的在于根据样本数据对样本来自的配对总体的均值是否有显著差异进行判断的。
•在数据分析时经常会遇到这样的问题:
•某种教学方法是否对教学有效,也就是确实能提高学生成绩;
•某种训练是否对接受训练的人的某一身体机能有改善作用;
•或者某一种药物对某种病的治疗是否有效果等等。
•针对以上问题,我们通常就会采取配对样本T检验的方法进行分析。
•问题:某体育教学组织最新研究出了一种训练下肢爆发力的方法,如何才能知道该训练方法是否能提高学生的下肢爆发力??
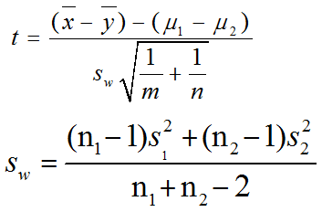
•检验统计量为:

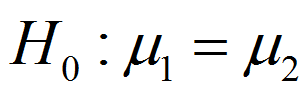
第一步:假定两次测验成绩之间没有显著差异,即该训练方法对下肢爆发力没有效果,所以原假设为:
![]()
第二步:导入数据,分析-比较均值-配对样本T检验;


第三步:查看分析结果;
•由表可以看出,P<0.05,即训练前成绩与训练后成绩存在显著性差异。由此可见,这种训练方法确实能提高学生的下肢爆发力。

本文介绍了配对样本T检验的应用场景及步骤,通过实例分析了新的训练方法能否提高学生下肢爆发力。适用于评估前后处理是否存在显著差异的情况。
5484

被折叠的 条评论
为什么被折叠?



