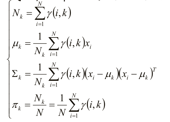
GMM计算更新∑k时,转置符号T应该放在倒数第二项(这样计算出来结果才是一个协方差矩阵)
from sklearn.mixture import GMM GMM中score_samples函数第一列是对数似然(负数,需要加负号变正),越小代表越好。(其他列不明白什么意思),验证score函数也输出对数似然
GMM计算更新∑k时,转置符号T应该放在倒数第二项(这样计算出来结果才是一个协方差矩阵)
from sklearn.mixture import GMM GMM中score_samples函数第一列是对数似然(负数,需要加负号变正),越小代表越好。(其他列不明白什么意思),验证score函数也输出对数似然
转载于:https://www.cnblogs.com/lvtianqi/p/6252647.html
1553
1470

被折叠的 条评论
为什么被折叠?