1. 求1 ~ n中约数的个数

2. 字符串hash
P = 131 或 13331
数组int[] h, p
h[i] 为字符串hash值的前缀和 h[i] = h[i - 1] * P + w.charAt(i - 1); // w.charAt(i - 1)实际上是第i个字符
p[0] = 1; p[i] = p[i - 1] * P;
cong下标L到R的字符串的hash值为: h[R] - h[L - 1] * p[R - L + 1];
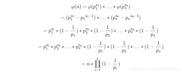
欧拉函数
对于正整数nn,欧拉函数是小于或等于n的正整数中与nn互质的数的数目,记作φ(n).
φ(1)=1
互质 指的是两个数的最大公约数是1


本文探讨了数学算法中的关键概念,包括求1至n中约数的个数的方法,字符串hash算法及其应用,以及欧拉函数的基本定义和性质。通过这些算法,读者可以深入理解数学在计算机科学中的应用。
1999

被折叠的 条评论
为什么被折叠?



