内容描述:
给定一个单链表的头结点pHead(该头节点是有值的,比如在下图,它的val是1),长度为n,反转该链表后,返回新链表的表头。
数据范围:
0≤n≤1000
要求:空间复杂度 O(1),时间复杂度O(n)
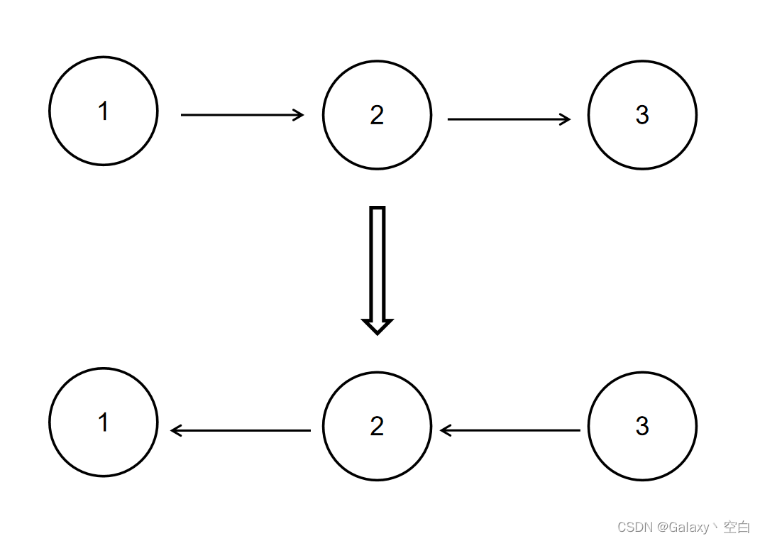
如当输入链表{1,2,3}时,
经反转后,原链表变为{3,2,1},所以对应的输出为{3,2,1}。
以上转换过程如下图所示:

解题关键:栈,双指针,递归
1. 栈
栈先进后出的特点刚好满足我们的需要,依次取出链表的值然后依次放到栈中,然后再从栈中以此取出就得到了我们想要的反装效果。
借助了Java中提供的栈类,借助该类后我们要熟记该类的几个重要方法,push()压栈,pop()出栈,isEmpty()栈是否为空。
/*
public class ListNode {
int val;
ListNode next = null;
ListNode(int val) {
this.val = val;
}
}*/
public class Solution {
public ListNode ReverseList(ListNode head) {
// 创建一个栈
Stack<ListNode> stack = new Stack();
// 将链表入站
while(head!=null) {
stack.push(head);
head = head.next;
}
// 如果传入的为空直接返回空
if(stack.isEmpty()) return null;
// 临时变量存储结果的头结点
ListNode temp = stack.pop();
// 把temp赋值给result,因为下面会操作temp
// 链接后面的值,而我们只要头节点即可
ListNode result = temp;
// 循环继续取出栈中剩下的节点,依次链接
while(!stack.isEmpty()) {
temp.next = stack.pop();
temp = temp.next;
}
// 断掉最后一个的next值,因为入站时没有断,会形成循环链表
temp.next = null;
return result;
}
}
时间复杂度:
将每个节点推入堆栈的 while 循环运行 N 次,其中 N 是原始链表的长度。
弹出每个节点并将它们链接在一起的 while 循环也运行了 N 次。
while 循环内部的操作需要常数时间。
因此,总的时间复杂度为 O(N)。
空间复杂度:
该方法使用一个堆栈来存储原始链表的所有节点。堆栈的最大大小为 N,其中 N 是原始链表的长度。
该方法创建一些 ListNode 变量来存储临时结果,但它们需要常量空间。
因此,总的空间复杂度为 O(N)。
总之,该方法的时间复杂度为 O(N),空间复杂度也为 O(N)。
2.双指针
双指针思想使用两个指针一左一右,初始化时左面为空,右面为头结点。然后将右面的next值指向左面的null,左右指针向前移动一位,继续执行改操作直到右指针到链表尾部。
/*
public class ListNode {
int val;
ListNode next = null;
ListNode(int val) {
this.val = val;
}
}*/
public class Solution {
public ListNode ReverseList(ListNode head) {
if(head==null)
return null;
// 定义两个指针
ListNode left = null;
ListNode right = head;
while(right!=null) {
// 记录一下头结点的下一个节点
ListNode temp = cur.next;
// 改变头节点的指向
right.next = pre;
// 左右指针向前移动
left = right;
right = temp;
}
return pre;
}
}
时间复杂度:
该方法使用一个 while 循环来遍历原始链表中的每个节点,因此循环运行的次数取决于原始链表的长度 N。
每个节点的指针需要改变指向,这些操作的时间复杂度是常数级别的。因此总的时间复杂度是 O(N)。
空间复杂度:
该方法使用了两个指针变量 left 和 right,以及一个 ListNode 变量 temp,它们都只需要常数级别的额外空间,因此空间复杂度为 O(1)。
方法没有使用任何数组或堆栈来存储额外的数据,所以空间复杂度是常量级别的。
综上所述,该方法的时间复杂度为 O(N),空间复杂度为 O(1)。
3.递归
普通递归
普通递归的思想是从链表的尾部向头部开始反转,首先不断递归直到找到链表最后一个节点的前一个节点,然后把该节点的next即尾节点的next指向自己完成反转,然后把该节点的next置为空,防止成环。reverse的头结点即是链表的最后一个节点。
/*
public class ListNode {
int val;
ListNode next = null;
ListNode(int val) {
this.val = val;
}
}*/
public class Solution {
public ListNode ReverseList(ListNode head) {
// 判断是否走到最后一个节点和前一个节点
if(head == null || head.next == null)
return head;
// 递归调用
ListNode reverse = ReverseList(head.next);
head.next.next = head;
head.next = null;
return reverse;
}
}
时间复杂度:
该方法使用了递归来反转单链表,每次递归都会处理链表中的一个节点,因此递归深度取决于链表的长度 N。
在递归过程中,每个节点的指针需要改变指向,这些操作的时间复杂度是常数级别的,因此总的时间复杂度是 O(N)。
空间复杂度:
该方法使用了递归,每次递归需要使用系统栈来存储递归调用的上下文,因此递归深度是 O(N)。
在每次递归中,方法只创建了常数级别的 ListNode 变量 reverse,因此除了系统栈外,空间复杂度是常数级别的。
综上所述,该方法的时间复杂度为 O(N),空间复杂度为 O(N)。需要注意的是,在极端情况下,递归深度可能达到链表的长度,因此该方法可能会导致栈溢出。
尾递归
尾递归是递归的一种优化,调用递归时存储上一步操作的结果而不是再去计算展开式。
解题方法和普通递归操作相反,尾递归从链表的头部开始反转
/*
public class ListNode {
int val;
ListNode next = null;
ListNode(int val) {
this.val = val;
}
}*/
public class Solution {
public ListNode ReverseList(ListNode head) {
return reverseListMain(head,null);
}
// 这是一次全部出栈的实现
public ListNode reverseListMain(ListNode cur,ListNode pre){
if (cur == null)
return pre;
// 记录当前节点的下一个节点否则执行完下一步会丢失
ListNode next = cur.next;
// 当前节点的下一个为前一个节点
cur.next = pre;
return reverseListMain(next,cur);
}
// 这里又可以一次一个出栈
public ListNode reverseListMain2(ListNode cur,ListNode pre){
if (cur == null)
return pre;
// 记录当前节点的下一个节点否则执行完下一步会丢失
ListNode next = cur.next;
// 当前节点的下一个为前一个节点
cur.next = pre;
ListNdoe node = reverseListMain2(next,cur);
return node;
}
}
时间复杂度:
该方法使用了递归来反转单链表,每次递归都会处理链表中的一个节点,因此递归深度取决于链表的长度 N。
在递归过程中,每个节点的指针需要改变指向,这些操作的时间复杂度是常数级别的,因此总的时间复杂度是 O(N)。
空间复杂度:
该方法使用了递归,每次递归需要使用系统栈来存储递归调用的上下文,因此递归深度是 O(N)。
在每次递归中,方法只创建了常数级别的 ListNode 变量 next 和 pre,因此除了系统栈外,空间复杂度是常数级别的。
综上所述,该方法的时间复杂度为 O(N),空间复杂度为 O(N)。
本文介绍了三种反转单链表的方法:使用栈、双指针和递归。栈法通过压栈和出栈实现反转;双指针法通过左右指针交换节点连接;递归法从尾到头或头到尾改变节点指向。所有方法时间复杂度均为O(n),但空间复杂度不同,栈和递归法为O(n),双指针法为O(1)。
417

被折叠的 条评论
为什么被折叠?



