第1章 绪论
1.1课题背景
随着人们生活水平的显著提高,宠物作为人类忠诚的伙伴,越来越多的融入到家庭生活之中。据相关统计数据显示,近年来宠物饲养率呈持续上升趋势,宠物在陪伴人们、缓解压力等方面发挥着愈发重要的作用。现在,市场上依靠宠物周边形成的产业链也不断拓展,包含了宠物食品、医疗、美容、领养等多个领域,并且规模还在不断上升。
但是,宠物行业繁荣发展的背后,传统的宠物收领方式却有着诸多困境。传统的宠物信息的发布与传播途径有限,大部分依赖纸质广告以及口头宣传等方式,导致信息覆盖范围小、传播速度慢,许多领养者不能够及时的获取到相关的领养信息,错过爱宠的领养时机。另外,在领养过程中,缺乏了标准的流程,各个领养机构的操作流程都不一致,导致了管理成本增大,对于宠物健康状况、生活习性、过往经历等关键信息的记录和管理不够完善,给领养者带来诸多担忧与顾虑,进而阻碍了宠物领养工作的顺利开展。因此,开发一个高效、便捷、规范的宠物收领平台具有重要的现实意义。
1.2国内外发展
在宠物文化盛行且信息技术发达的西方国家,宠物收领平台的发展已相对成熟。以美国为例,众多专业的宠物救助与领养平台,如Petfinder,整合了全国范围内大量动物收容所与救助机构的数据。这些平台功能丰富,不仅详细展示宠物的健康状况、性格特征、疫苗接种记录,还提供先进的搜索筛选功能,方便领养人精准定位心仪宠物。在欧洲,许多国家通过政府主导或公益组织推动,建立起覆盖全国的宠物信息管理网络。这些平台借助成熟的信息技术,实现宠物身份识别、领养流程跟踪、后续健康管理等功能的一体化,极大提高了宠物收领的效率与质量,同时也为动物保护政策的制定提供了数据支撑。
国内宠物收领平台的发展尚处于成长阶段。随着近年来宠物饲养数量的迅速增长,宠物收领的需求日益凸显,促使各类相关平台不断涌现。一些大型宠物综合服务平台开始增设宠物领养板块,利用自身庞大的用户基础,为流浪动物寻主提供便利。同时,各地动物保护协会与民间救助组织也纷纷搭建线上领养平台,专注于本地流浪动物的救助与领养。然而,目前国内平台普遍存在信息分散、标准不统一的问题。各平台在宠物信息录入、审核流程、领养标准等方面缺乏规范,导致信息整合难度大,影响了领养效率与公信力。此外,部分平台功能单一,缺乏对领养人后续指导与服务,与国外成熟平台相比,在功能完备性与用户体验上仍有较大差距。
1.3目的和意义
本平台目的是构建一个高效、便捷且全面的宠物管理与领养综合平台,解决传统宠物收领过程中存在的信息不对称、流程繁琐以及管理不规范等问题。通过运用Java技术搭建平台架构,结合MySQL数据库存储与管理数据,采用B/S模式确保用户能够通过浏览器轻松访问平台,实现宠物信息的集中展示与高效管理。平台为宠物收容机构提供标准化的宠物信息录入、更新及查询功能,方便其对宠物资源进行合理调配;为有意领养宠物的用户打造一个直观、便捷的领养渠道,使其能够快速浏览丰富的宠物信息,依据自身偏好与需求筛选合适的宠物,并完成规范的领养流程。同时,平台还提供宠物知识科普、互动活动等功能,提升用户对宠物养护的认知与参与度,促进宠物领养文化的传播。
此平台的建立有助于优化宠物资源的配置。在传统模式下,大量流浪宠物或待领养宠物因信息传播不畅难以找到合适的领养家庭,而潜在领养者也因缺乏有效渠道获取宠物信息而错过领养机会。本平台打破信息壁垒,将宠物信息全面、准确地呈现给广大用户,提高了宠物与领养者的匹配成功率,让更多宠物能够找到温暖的新家,实现资源的合理流动与有效利用。对于宠物收容机构而言,平台实现了宠物管理的信息化与规范化。标准化的信息录入与管理流程,减少了人工操作的失误与繁琐,提高了工作效率。同时,规范的领养流程设置,从申请审核到后续回访,确保每一次领养都符合动物福利与领养规范,提升整个宠物收领行业的管理水平。通过平台的宠物知识科普与互动活动,能够增强公众对宠物的认知与关爱,提高动物保护意识。更多人了解到宠物的需求与意义,愿意参与到宠物领养与保护行动中来,形成全社会关爱动物的良好氛围,促进爱心的传递与延续,推动动物保护事业的发展。
1.4全文结构
第一章绪论,主要介绍了宠物救助系统的课题背景,发展现状,开发的目的与意义,从不同角度进行调研。
第二章关键技术介绍,主要对本次开发过程中使用的语言、技术框架以及开发工具进行介绍,并且分析其优势。
第三章系统分析,从系统功能、可行性以及不同用户角色之间的功能用例分析对整个系统进行合理的分析设计。
第四章系统总体设计,通过对系统的功能结构设计、核心流程设计以及数据库实体、表结构的设计,对系统进行开发前的设计准备。
第五章系统详细设计与实现,对系统的核心功能进行代码开发实现,并且通过美观的页面样式给用户提供良好的用户体验。
第六章系统测试,分析测试的意义,设计功能用例测试表单并针对实际的测试用例进行测试并总结测试结果。
第2章 关键技术介绍
2.1 开发工具
Visual Studio Code(简称VS Code)是一款由微软开发的免费开源跨平台代码编辑器,支持Windows、macOS和Linux系统。它以轻量、快速著称,界面简洁直观,易于上手。凭借丰富的插件生态系统,VS Code能支持多种编程语言的开发,如Python、JavaScript、C++等。其具备智能代码补全、语法高亮、代码导航、调试等强大功能,还拥有集成终端、版本控制集成等特性,极大地提高了开发效率,深受广大开发者喜爱。
2.2 Java语言
Java是一种广泛使用的高级编程语言,由Sun Microsystems公司(后被甲骨文收购)于1995 年推出。它具有“一次编写,到处运行”(Write Once, Run Anywhere)的特性,得益于Java虚拟机(JVM),可在不同操作系统上运行。Java语言语法简洁,风格类似C和C++,但去除了指针等复杂且易出错的特性,增强了安全性与稳定性。它是一种面向对象语言,支持封装、继承和多态等特性,便于构建大型、可维护的软件系统。Java在企业级开发、安卓应用开发、大型游戏开发、分布式系统等众多领域都有广泛应用,拥有庞大的开源社区,为开发者提供丰富的类库与工具,助力高效开发各类应用程序。
2.3 数据库
MySQL是一款广泛应用的开源关系型数据库管理系统,由瑞典MySQL AB公司开发,后被甲骨文公司收购。它基于客户机/服务器架构,能够高效地存储、管理和检索数据。MySQL具有高性能、可靠性强以及成本低的特点,支持多种操作系统,如Linux、Windows等。其语法相对简单,易于学习和使用,同时提供了丰富的数据类型与函数,能满足不同场景下的数据处理需求。凭借强大的事务处理能力、可扩展性以及良好的兼容性,MySQL在Web应用开发、企业级数据管理等领域应用极为广泛,许多知名网站和软件系统都将其作为数据存储的核心组件。
2.4 B/S
B/S架构具有显著的便捷性优势。客户端只需通过浏览器就可以访问系统,无需安装复杂的客户端软件,大大降低了用户的使用门槛和维护成本。用户可以在任何有网络连接的地方,使用不同的设备(如电脑、平板、手机)随时随地访问系统,提高了系统的使用灵活性和便捷性。
从系统部署和维护的角度来看,B/S架构将业务逻辑和数据存储集中在服务器端,管理员只需对服务器进行维护和升级,而无需对每个客户端进行操作。这不仅减少了维护工作量,还能确保所有用户使用的都是最新版本的系统,保证了系统的一致性和稳定性。同时,服务器端的集中管理也便于数据的备份和安全防护,提高了系统的数据安全性。
2.5 前端语言
JSP(JavaServer Pages)是由Sun Microsystems公司主导创建的一种动态网页技术标准,它基于Java语言,能够在服务器端生成动态的HTML、XML或其他格式的文档,以响应客户端请求。JSP页面由HTML标签、JSP标签和Java代码片段组成,开发者可将业务逻辑嵌入其中,实现动态内容展示。其最大优势在于可与Java Servlet技术无缝集成,借助Java强大的类库与面向对象特性,极大地增强了网页的交互性与功能。同时,JSP具有跨平台特性,可在不同操作系统和Web服务器上运行,广泛应用于各类Web应用开发,尤其是企业级Web项目。
第3章 系统分析
3.1系统目标分析
宠物收领平台希望打造功能完备且便捷易用的平台。要实现全面的用户管理功能,涵盖用户注册、登录及信息维护,保障不同类型用户(领养者、管理员等)能安全便捷地访问平台。对于宠物管理,需精确记录每只宠物的详细信息,如品种、健康状况、性格特点等,为领养者在进行领养时提供参考。领养流程应设计的简单合理,从领养申请提交、审核到后续跟进,实现全流程线上操作,提高领养效率。同时,平台要具备丰富的宠物知识科普板块,帮助用户更好地照顾宠物。此外,系统具备了发布特色活动的功能,在一定程度上营造良好的宠物领养社区氛围。
3.2系统可行性分析
3.2.1技术可行性
Java是一种成熟且广泛使用的编程语言,具有强大的类库和框架(如Spring、SpringMVC、MyBatis),利于系统开发。MySQL数据库可稳定存储和管理大量数据,结合Java的数据库连接技术可实现高效通信。同时,可通过Java的Swing、JavaFX或结合Web技术实现用户界面,基于B/S架构完成系统开发,技术方案可行。
3.2.2经济可行性
开发主要是人力成本,使用Java和开源框架降低软件许可成本,开发工具也可选用开源的。运行可部署在云端服务器,按使用付费,维护成本主要是服务器租赁和日常维护。还可通过与宠物相关商家合作收取费用或吸引社会捐赠,经济可行。
3.2.3操作可行性
平台为用户提供简洁界面,操作流程简单,普通用户可轻松注册、领养等,管理人员有专门界面进行信息管理等操作。且有操作说明和反馈机制,确保易用性和操作便利性。
3.2.4法律可行性
遵守隐私保护和动物保护等法律法规,用户信息处理合法,使用开源软件遵循协议,避免非法宠物交易等行为,确保开发运营合法。
3.3系统功能分析
3.3.1用户功能分析
用户作为系统的主要使用者之一,使用本系统的主要目的是为了在线查询宠物、活动信息以及对宠物进行领养。任何系统要想进行使用,首先都要进行注册成为系统的合法用户并且进行登录。因此,系统应该为用户提供登录注册的功能。任何系统都会具备一些特色的宣传活动作为扩展用户群体的手段,因此,本系统应该为用户提供活动查看的功能。宠物信息作为本系统中最重要的功能,用户主要使用本系统进行领养宠物,在领养之前,用户应该可以在平台上进行查看系统中的全部宠物操作,因此,用户应该具备了宠物信息查看的功能。在查看宠物信息之后,用户可以选择心仪的宠物进行手痒,因此系统应该为用户提供宠物收养的功能。用户还应该具备有团队查看的功能,以便更好的了解宠物机构信息,最后,对于用户的个人信息,用户应该也可以进行查看并且修改。
综上所述吗,用户应该具备登录注册、活动查看、宠物信息查看、宠物收养、团队查看以及个人中心的功能。用户功能用例图如图3-1所示。

图3-1用户功能用例图
3.3.2管理员功能分析
管理员作为系统的管理者的角色,使用本系统主要是对系统的数据以及宠物信息、领养信息进行统一的管理。用户信息作为系统中的重要信息,管理员应该具备对用户信息管理的功能,保证了用户信息的准确性。在本系统中,会存在不同种类的宠物信息,为了更好的归类这些宠物信息,管理员应该具备宠物分类信息管理功能,对相同类目的宠物信息进行统一划分管理。宠物信息作为系统内部最重要的信息,是用户领养的来源,系统应该保证这部分数据的准确,因此,管理员应该具备宠物信息管理的功能。为了丰富宠物用户活跃度,管理员应该可以不定时的宣布一些特殊的活动,因此,管理员应该具备了宠物活动管理的功能。对于用户的领养操作,管理员应该具备查看领养信息以及审核领养的权限,因此系统为管理员提供了领养管理,最后,为了更好的让用户了解平台,管理员应该具备团队管理的功能。
总结,管理员应该具备用户管理、宠物分类管理、宠物管理、团队活动管理、领养管理以及团队管理。管理员的功能用例图如图3-2所示。

图3-2管理员功能用例图
3.4安全性分析
3.4.1数据安全
本平台使用MySQL数据库存储大量重要信息,包括用户的个人信息(如用户名、密码、联系方式等)和宠物信息(如宠物品种、健康状况、领养记录等)。为确保数据存储安全,将对用户密码等敏感信息进行加密存储。对于其他数据,在存储时会考虑使用数据库的访问控制,设置不同用户的权限,确保只有授权用户可以访问和修改相应数据。同时,对数据库进行定期备份,防止数据丢失或损坏。
3.4.2.用户认证与授权
采用多因素认证方法,除了传统的用户名和密码登录外,可考虑添加手机验证码、邮箱验证等,以增强用户登录的安全性。不同用户角色(如普通用户、管理员、宠物收容机构工作人员等)具有不同的权限。普通用户只能进行个人信息修改、浏览宠物信息、提交领养申请等操作;管理员可以进行用户管理、宠物信息的添加和审核等操作。系统将严格控制用户权限,通过基于角色的访问控制(RBAC)机制,确保用户只能访问和操作其权限范围内的数据和功能,避免越权操作。
3.4.3代码安全
在接收用户输入(如搜索框输入、表单提交等)时,对输入数据进行严格的验证和过滤,防止SQL注入、XSS攻击等常见的Web安全漏洞。例如,使用参数化查询和预编译语句来处理用户输入的SQL语句,避免SQL注入;对用户输入的HTML内容进行转义处理,防止XSS攻击。 对于文件上传功能(如用户上传宠物照片),对上传的文件类型、大小进行限制,并对文件内容进行检查,防止恶意文件上传。
3.4.4系统漏洞
及时更新操作系统、Java运行时环境、Web服务器(如Apache Tomcat)以及所使用的开源框架和库的版本,以修复已知的安全漏洞。建立系统漏洞监测机制,一旦发现系统存在新的安全威胁,及时采取相应的安全补丁或升级措施
第4章 系统总体设计
4.1 系统功能结构设计
本系统主要的使用者包含了用户以及管理员两种角色,通过不同的权限控制,保证了不同用户登系统后,具备的功能权限也不相同。在用户登录系统后,具备的功能有登录注册、系统活动、宠物信息查看、宠物收养、团队活动以及个人中心。管理员登录系统后,具备了用户管理、宠物分类管理、宠物管理、团队活动管理、团队管理以及领养管理的功能。系统的功能结构图如图4-1所示。

图4-1 系统功能结构图
4.2数据库设计
4.2.1 概念模型设计
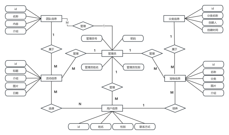
在设计数据库表结构之前,通过对系统业务流程的梳理,将不同业务中可能涉及到的数据实体进行划分,创建了系统的实体模型。通过不同实体之间的联系,保证了各个业务之间的流转。每一个逻辑结构都有实体、属性、联系进行展示,不同逻辑模型之间可能会存在一对一、一对多、多对多的关系。通过这种数据实体模型的设计,可以为后续的设计数据库表结构创造便捷的条件。本系统的主要实体模型E-R联系图如图4-2所示。

图4-2 E-R联系图
4.2.2 逻辑模型设计
- 用户信息表
用户信息表主要存储了用户的基本信息,是本系统的基础核心表,所有与用户有关的操作都需要用到用户信息表。用户信息表如表4-1所示。
表4-1用户信息表
|
字段名 |
数据类型 |
长度 |
主键 |
注释 |
|
Id |
int |
16 |
是 |
主键id |
|
Name |
varchar |
255 |
姓名 | |
|
Sex |
int |
2 |
性别 | |
|
Password |
varchar |
255 |
密码 | |
|
Ismember |
int |
2 |
是否是会员 | |
|
Createdate |
datetime |
创建时间 |
- 宠物分类信息表
宠物分类信息主要记录宠物的分类数据,表结构如表4-2所示。
表4-2 宠物分类信息表
|
字段名 |
数据类型 |
长度 |
主键 |
注释 |
|
Id |
int |
16 |
是 |
主键id |
|
name |
varchar |
255 |
分类名称 | |
|
Createdate |
datetime |
创建时间 |
- 宠物信息表
宠物信息表主要记录了宠物的基础信息,宠物信息表结构如表4-3所示。
表4-3宠物信息表
|
字段名 |
数据类型 |
长度 |
主键 |
注释 |
|
Id |
int |
16 |
是 |
主键id |
|
Fname |
varchar |
255 |
分类名称 | |
|
Shuxing |
varchar |
255 |
属性 | |
|
Creater |
varchar |
255 |
创建人 | |
|
Issx |
int |
2 |
是否上线 | |
|
Createdate |
datetime |
创建时间 |
- 活动信息表
活动信息表主要存储系统内部的活动信息内容,活动信息表结构如表4-4所示。
表4-4 活动信息表
|
字段名 |
数据类型 |
长度 |
主键 |
注释 |
|
Id |
int |
16 |
是 |
主键id |
|
Name |
varchar |
255 |
活动名称 | |
|
Content |
int |
16 |
活动内容 | |
|
User |
datetime |
创建人 | ||
|
Issuccess |
int |
2 |
是否成功 | |
|
Createdate |
datetime |
创建时间 |
- 领养信息表
领养信息表主要存储了用户领养宠物的表信息,表结构如4-5所示。
表4-5领养信息表
|
字段名 |
数据类型 |
长度 |
主键 |
注释 |
|
Id |
int |
16 |
是 |
主键id |
|
Ordername |
varchar |
255 |
名称 | |
|
Pid |
int |
16 |
宠物id | |
|
Orderno |
varchar |
255 |
订单号 | |
|
Isfh |
int |
2 |
是否结束 | |
|
Createdate |
datetime |
创建时间 |
- 团队信息表
团队信息表主要记录了系统内部团队的基本信息,详细信息如表4-6所示。
表4-6团队信息表
|
字段名 |
数据类型 |
长度 |
主键 |
注释 |
|
Id |
int |
16 |
是 |
主键id |
|
Ordername |
varchar |
255 |
名称 | |
|
Pid |
int |
16 |
创建人id | |
|
No |
varchar |
255 |
团队标号 | |
|
Content |
varchar |
255 |
团队详细信息 | |
|
Createdate |
datetime |
创建时间 |
- 团队活动信息表
团队活动表主要记录了团队活动的信息信息,表结构如表4-7所示。
表4-7团队活动信息表
|
字段名 |
数据类型 |
长度 |
主键 |
注释 |
|
Id |
int |
16 |
是 |
主键id |
|
Title |
varchar |
255 |
标题 | |
|
Content |
varchar |
255 |
内容 | |
|
Imgurl |
varchar |
255 |
图片 | |
|
Contentid |
varchar |
255 |
团队id | |
|
Createdate |
datetime |
创建时间 |
第5章 系统详细设计与实现
5.1 用户功能模块
5.1.1 用户登录
用户进入宠物收领平台,首先进行注册操作,填写必要的个人信息,如用户名、密码、邮箱等,完成信息填写后提交注册申请。系统将对用户输入信息进行验证,验证通过后将信息存储到数据库中。之后,用户可使用注册的用户名和密码进行登录操作,系统对输入信息进行匹配验证,验证成功后进入平台主界面。用户注册与登录流程图如图5-1所示。用户在访问登录页面,如图5-2所示,输入注册好的账号密码进行登录操作,登录成功后,用户进入到系统主界面。

图5-1 登录注册流程图

图5-2用户登录界面
用户登录的关键代码如下:
@PostMapping("/login")
public String login(@RequestParam String username, @RequestParam String password) {
if (VALID_USERNAME.equals(username) && VALID_PASSWORD.equals(password)) {
return "登录成功";
} else {
return "用户名或密码错误";
}
}
5.1.2 系统活动
基于Java的宠物收领平台的系统活动是平台增强用户互动和推广宠物文化的重要部分。这些活动涵盖线上线下多种形式,包括宠物知识讲座、宠物比赛、领养日活动等。系统活动不仅为用户提供了与宠物爱好者交流的机会,提升用户的参与感和体验感,同时也有助于推广平台,促进宠物领养和宠物福利事业的发展,让更多的人关注宠物保护与关爱。宠物活动如图5-2所示。

图5-2宠物活动界面
5.1.3 宠物信息
用户可以点击宠物信息功能标签,进入到宠物信息列表页,系统会将用户的查询条件传输到后台逻辑中,流程如图5-3所示。在完成查询后,系统会返回分页显示系统全部宠物信息,如图5-4所示。用户根据宠物分类、价格等条件对数据进行筛选。

图5-3 宠物搜索流程图

图5-4 宠物信息
宠物信息查看的关键代码如下:
public static void main(String[] args) {
PetService petService = new PetService();
// 查看所有宠物信息
System.out.println("所有宠物信息:");
List<Pet> allPets = petService.getAllPets();
for (Pet pet : allPets) {
System.out.println(pet);
}
// 根据名字查看宠物信息
String petName = "旺财";
Pet pet = petService.getPetByName(petName);
if (pet != null) {
System.out.println("\n名为 " + petName + " 的宠物信息:");
System.out.println(pet);
} else {
System.out.println("\n未找到名为 " + petName + " 的宠物。");
}
}
5.1.4 宠物收养
用户在完成宠物信息查看操作后,针对自己喜爱的宠物,可以点击领养,填写对应的单完成领养的操作,如图5-5所示。系统会将用户填写的领养信息进行统一处理,传输到后台逻辑中,流程如图5-6所示,

图5-5 宠物领养

图5-6 宠物领养流程图
5.1.5 团队活动
团队活动是为用户提供的一个互动交流平台,用户可在此参与宠物主题的线上或线下活动,如宠物聚会、宠物技能比赛等,增强用户间的联系,丰富宠物领养体验,推动宠物文化的传播与发展。团队活动详情如图5-7所示。

图5-7团队活动
5.1.6 个人信息
用户可以通过个人中心页面查看自己的个人信息,如图5-8所示。在用户个人中心内,系统会自动展示用户的姓名、头像、收货地址、手机号等关键信息。当用户需要修改个人信息时,可以使用个人中心中的修改功能,完成个人信息的编辑操作。

图5-8 个人中心界面
5.2 管理员功能模块
5.2.1用户管理
用户管理功能主要负责对用户信息进行集中管理,包括用户注册信息的存储、用户登录验证、用户资料修改和权限控制,同时可以对用户行为进行监督,处理用户的违规行为,确保平台用户信息的完整性和安全性,为用户提供安全、有序的使用环境。用户管理详情如图5-9所示。

图5-9 用户管理界面
5.2.2宠物分类管理
为了对宠物信息进行有规划的处理,系统提供了宠物分类功能,将同种种类的宠物信息进行分类划分。管理员可以点击宠物分类标签,进入到宠物分类管理页面,如图5-10所示。系统会在当前页面内显示全部的宠物分类信息,管理员可以使用当前页面中的新增、编辑、删除功能对宠物分类信息进行处理。

图5-10宠物分类管理
5.2.3宠物管理
宠物管理作为整个系统的核心功能之一,是系统内部宠物信息的唯一来源。宠物信息发布的流程图如图5-11所示。管理员可以在后台管理中,使用宠物管理功能,对系统内部的全部宠物数据进行处理。管理员点击宠物管理,进入宠物管理列表页面,如图5-12所示,系统会展示全部宠物信息,管理员可以根据宠物的相关属性进行条件筛选。

图5-11 宠物信息发布流程图

图5-12宠物管理
宠物信息发布关键代码如下:
private List<Pet> pets;
public PetService() {
this.pets = new ArrayList<>();
// 初始化一些宠物信息
pets.add(new Pet("旺财", 3, "狗"));
pets.add(new Pet("咪咪", 2, "猫"));
}
public List<Pet> getAllPets() {
return pets;
}
public Pet getPetByName(String name) {
for (Pet pet : pets) {
if (pet.getName().equals(name)) {
return pet;
}
}
return null;
}
5.2.4团队活动管理
团队活动管理功能主要负责对平台内的团队活动进行全面管理,包括团队活动的创建、修改、删除以及活动信息的更新,确保活动的有序开展。同时,它能协调团队活动的资源分配,管理活动的报名流程,对参与活动的用户进行组织和安排,为用户提供丰富精彩的团队活动体验。团队活动劵详情如图5-13所示。

图5-13团队活动管理
5.2.5团队管理
团队管理涉及对平台内各类团队的统筹协调,包括团队信息的录入、更新与维护,团队成员的管理,团队权限的分配与调整,以及团队活动的组织安排。通过合理管理,提升团队的协作效率,确保团队为宠物收领工作的顺利开展贡献力量,同时促进团队成员之间的沟通与协作。团队管理详情如图5-14所示。

图5-14团队管理
5.2.6领养管理
领养管理是对宠物领养流程的综合把控,涵盖领养申请的接收、审核、批准或拒绝操作,以及对领养记录的存储和查询。它确保领养程序的规范性和合法性,监督领养过程,保障宠物和领养者的权益,同时对领养后的宠物和领养者进行持续跟踪和回访,以维护平台的良好运行和宠物的福利。领养管理如图5-15所示。

图5-15领养管理
第6章 系统测试
6.1 测试目的与意义
本次宠物领养系统测试针对登录、用户领养、宠物管理、订单管理四大关键模块,目的是通过模拟真实场景,检验登录功能身份验证的安全性与兼容性,确保用户身份识别准确无误;验证用户领养流程中信息提交、匹配逻辑的准确性与流畅性,保障领养操作便捷高效;测试宠物管理模块数据录入、展示及更新的完整性,确保宠物信息实时准确;严格核查订单管理功能中订单生成、支付处理及状态变更的规范性,保证领养交易流程安全可靠,最终提升系统的整体可用性与用户满意度。
6.2测试过程
6.2.1用户登录测试
登录功能作为系统的入口,需要大量的测试保证登录功能的稳定,通过设计登录功能测试用例,对系统的登录接口进行反复测验,验证预期结果以及实际结果是否一致。登录测试用例如表6-1所示。
表6-1 登录的测试用例和测试结果表
|
序号 |
动作 |
操作 |
预期结果 |
实际结果 |
|
1 |
正确用户名和密码登录 |
打开用户登录页面,输入正确用户名、密码。点击登录按钮 |
登录成功,进入首页 |
注册成功 |
|
2 |
错误用户名登录 |
打开登录页面,输入不存在的用户名,输入正确密码,点击登录按钮。 |
登录失败,提示用户名不存在 |
登录成功 |
|
3 |
错误密码登录 |
打开登录页面,输入正确用户名,输入错误密码,点击登录按钮。 |
登录失败,提示密码错误 |
登录失败 |
|
4 |
用户名和密码都错误登录 |
打开登录页面,输入错误用户名密码,点击登录 |
登录失败,提示用户名密码错误 |
登录失败 |
6.2.2用户领养测试
用户领养流程是系统的核心流程,其过程是否稳定,处理业务数据是准确使整个系统的核心。通过对用户领养采用不同情况下的测试用例对领养接口进行测试,检验领养接口是否正确。用户下单测试表如表6-2所示。
表6-2 用户领养测试表
|
序号 |
动作 |
操作 |
预期结果 |
实际结果 |
|
1 |
未登录用户,进行用户领养操作 |
访问宠物页面,进入宠物详情,点击领养 |
提示用户还为登录,不能领养宠物 |
成功 |
|
2 |
登录用户,进行领养操作 |
访问宠物页面,进入宠物详情,点击领养 |
领养成功 |
成功 |
|
3 |
登录用户,进行领养操作,修改数量 |
访问宠物页面,进入领养中心,修改宠物数量,点击购买 |
修改成功 |
成功 |
|
4 |
登录用户,进行领养操作,删除 |
访问宠物页面,进入领养,删除宠物信息 |
删除成功 |
成功 |
6.2.3宠物管理测试
为了保证宠物管理的功能是否正确,在测试过程中,对宠物管理功能进行了详细的功能测试,保证宠物管理功能可以正常投入使用。宠物管理测试表结构如表6-3所示。
表6-3 宠物管理测试表
|
序号 |
动作 |
操作 |
预期结果 |
实际结果 |
|
1 |
未登录用户,进行发布宠物信息 |
访问宠物发布页面,填写内容发布 |
提示用户还为登录,不能发布 |
成功 |
|
2 |
登录用户,进行发布宠物信息 |
访问宠物发布页面,填写内容发布 |
发布成功 |
成功 |
|
3 |
登录用户,修改宠物信息 |
访问宠物发布页面,填写内容修改 |
修改成功 |
成功 |
|
4 |
登录用户,删除宠物信息 |
访问宠物发布页面,填写内容删除 |
删除成功 |
成功 |
6.2.4订单管理测试
订单管理作为系统内部领养的详细数据,是系统最核心的功能之一。为了保证订单管理功能是否可以正常运行,在测试过程中,对订单管理进行了详细的设计,保证了订单管理功能的正确性。订单管理功能测试表如表6-4所示。
表6-4 订单管理测试表
|
测试用例编号 |
测试项目 |
测试步骤 |
预期结果 |
|
序号 |
动作 |
操作 |
预期结果 |
实际结果 |
|
1 |
未登录用户,进行查询订单操作 |
访问订单信息 |
提示用户还未登录,不能查询订单 |
成功 |
|
2 |
登录用户,进行查询订单操作 |
访问订单信息 |
查询成功 |
成功 |
|
3 |
登录用户,修改订单操作 |
登录,修改订单信息 |
修改成功 |
成功 |
|
4 |
登录用户,删除订单操作 |
登录,删除订单信息 |
删除成功 |
成功 |
6.3 测试结论
通过对各项功能的测试,发现并解决了系统中的问题,验证了平台的可靠性和稳定性,确保其能为用户提供优质的宠物收领服务,满足预期需求。
结论
基于Java的宠物收领平台是一个集用户管理、宠物信息管理、宠物领养管理、团队活动管理等多功能于一体的系统。通过对系统的设计与实现,实现了用户的登录注册、宠物搜索、宠物信息的展示和更新、领养申请的提交和审核等核心功能,同时兼顾了不同用户角色的操作需求,为宠物的收养和用户参与宠物相关活动提供了便捷的渠道。在技术实现上,使用了Java的强大功能和丰富的开源框架,确保了系统的可扩展性和稳定性;在数据库方面,使用MySQL存储各种数据,保证了数据的安全和高效管理。此外,对系统的功能进行了测试,确保平台能够稳定、安全、合法地运营。虽然现阶段系统已经完全实现,但是系统仍存在不足,如:
- 系统的页面仍不够美观,需要进一步的优化页面设计。
- 系统在高峰使用可能会存在卡顿的情况,需要对数据库查询进行SQL优化。
针对上面的不足,未来,该平台可以进行进一步优化。首先,丰富宠物信息和宠物知识内容,与更多的宠物相关机构或组织合作,提供更广泛的宠物资源和服务。其次,从用户体验的角度,可以根据用户反馈,持续优化界面设计和操作流程,提升用户的使用体验。在技术方面,可考虑引入新的技术,如微服务架构,以提高系统的可维护性和可扩展性。同时,随着宠物收领平台的发展,可以考虑添加更多社交元素,让用户之间有更多的互动和交流,例如建立宠物爱好者社区,为用户提供一个更加丰富、完善的宠物交流和服务平台。在安全性方面,需要不断更新和强化安全措施,应对新出现的网络威胁,确保用户和宠物信息的安全。另外,加强与宠物保护和救助组织的合作,在宠物的救助、领养和后续的宠物福利保障方面发挥更大的作用,为宠物的健康和福利贡献更多力量。
841

被折叠的 条评论
为什么被折叠?



