98. 验证二叉搜索树
给你一个二叉树的根节点 root ,判断其是否是一个有效的二叉搜索树。
有效 二叉搜索树定义如下:
- 节点的左子树只包含 小于 当前节点的数。
- 节点的右子树只包含 大于 当前节点的数。
- 所有左子树和右子树自身必须也是二叉搜索树。
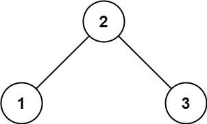
示例 1:

输入:root = [2,1,3]
输出:true
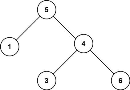
示例 2:

输入:root = [5,1,4,null,null,3,6]
输出:false
解释:根节点的值是 5 ,但是右子节点的值是 4 。
提示:
树中节点数目范围在[1, 10^4] 内
-2^ 31 <= Node.val <= 2^31 - 1
解题
方法一:前序遍历
/**
* Definition for a binary tree node.
* public class TreeNode {
* int val;
* TreeNode left;
* TreeNode right;
* TreeNode() {}
* TreeNode(int val) { this.val = val; }
* TreeNode(int val, TreeNode left, TreeNode right) {
* this.val = val;
* this.left = left;
* this.right = right;
* }
* }
*/
class Solution {
public boolean isValidBST(TreeNode root) {
return dfs(root, Long.MIN_VALUE, Long.MAX_VALUE);
}
// dfs 判断当前节点
public boolean dfs(TreeNode root, long small, long big){
if(root == null) {
return true;
}
// 判断值,
if (root.val <= small || root.val >= big) {
//不符合题意
return false;
}
//左节点是小的, ,右节点是大的
return dfs(root.left, small, root.val) && dfs(root.right, root.val, big);
}
}
方法二:中序遍历
/**
* Definition for a binary tree node.
* public class TreeNode {
* int val;
* TreeNode left;
* TreeNode right;
* TreeNode() {}
* TreeNode(int val) { this.val = val; }
* TreeNode(int val, TreeNode left, TreeNode right) {
* this.val = val;
* this.left = left;
* this.right = right;
* }
* }
*/
class Solution {
// 二叉搜索树,中序遍历是升序,所以可以在中序遍历中比较前面一个,都是递增的才是正确的
long pre = Long.MIN_VALUE;
public boolean isValidBST(TreeNode root) {
if(root == null) {
return true;
}
//左子树
if (!isValidBST(root.left)) {
return false;
}
//和前一个节点值比较
if (pre >= root.val) {
return false;
}
pre = root.val;
//右子树
return isValidBST(root.right);
}
}
8万+

被折叠的 条评论
为什么被折叠?



