学生心理健康咨询评估系统
摘 要
随着社会经济的发展和人们生活节奏的加快,学生的心理健康问题越来越受到关注。尤其是在校学生面临学习压力、社交障碍等多重挑战,对心理健康服务的需求不断增加。因此,本研究旨在引入信息化技术设计并实现一套智能高效的学生心理健康咨询评估系统,以帮助学生有效评估和管理心理健康,提供咨询功能,提高其心理素质。该系统采用 Spring Boot 框架结合 Java 语言进行后端开发,利用 HTML、CSS和JavaScript等技术构建前端界面,以 MySQL 数据库作为数据存储核心,并运用RESTful API实现前后端分离的架构。系统主要面向学生用户、心理老师和管理员等不同角色,实现了包括注册登录、用户管理、心理文章管理、文章类别管理、老师介绍管理、心理类型管理、预约信息管理、在线咨询管理、咨询回复管理、系统管理、网站公告管理、资源管理以及AI分析等核心功能,基本满足整个心理测试评估、咨询及管理等业务流程,有效提升心理健康管理效率和服务质量。最终经过功能验证和性能测试,确保系统在实际应用中的可行性和高效性。本系统的实施,能够有效支持学生的心理健康管理,为心理老师提供高效的管理工具;不仅提高了学生获取心理支持的便捷性和有效性,还促进了心理咨询服务的规范化和智能化,具有良好的实践意义和推广价值。
关键词:学生心理健康咨询评估系统;Spring Boot;Java;心理测试
Student Mental Health Counseling and Evaluation System
Abstract
With the development of social economy and the acceleration of people's pace of life, students' mental health issues are receiving increasing attention. Especially for students who are facing multiple challenges such as academic pressure and social barriers, the demand for mental health services is constantly increasing. Therefore, this study aims to introduce information technology to design and implement an intelligent and efficient student mental health counseling and evaluation system, in order to help students effectively assess and manage their mental health, provide counseling functions, and improve their psychological quality. The system adopts the Spring Boot framework combined with Java language for backend development, using technologies such as HTML, CSS, and JavaScript to build the front-end interface. MySQL database is used as the data storage core, and RESTful API is used to implement a front-end and back-end separation architecture. The system mainly targets different roles such as student users, psychological teachers, and administrators, and implements core functions including registration and login, user management, psychological article management, article category management, teacher introduction management, psychological type management, appointment information management, online consultation management, consultation response management, system management, website announcement management, resource management, and AI analysis. It basically meets the entire business process of psychological testing evaluation, consultation, and management, effectively improving the efficiency and service quality of mental health management. After functional verification and performance testing, the feasibility and efficiency of the system in practical applications are ensured. The implementation of this system can effectively support students' mental health management and provide efficient management tools for psychological teachers; Not only does it improve the convenience and effectiveness of students' access to psychological support, but it also promotes the standardization and intelligence of psychological counseling services, which has good practical significance and promotion value.
Key words: Student Mental Health Consultation and Evaluation System; Spring Boot;Java;psychological test
1绪 论
1.1开发背景
在当今社会,心理健康已被视为人们全面健康的重要组成部分。尤其是学生群体,面临着学业压力、家庭环境、社交交往等多方面的挑战,心理健康问题愈发突显。根据相关研究,未能及时解决的心理问题可能导致学习效率下降,甚至影响学生的健康和生活质量。因此,构建一个高效、便捷的学生心理健康咨询评估系统,旨在为学生提供必要的心理支持与帮助,已成为一项亟待解决的任务。此外,随着互联网技术的快速发展,在线心理咨询、智能评估等服务逐渐兴起。将人工智能与心理健康服务相结合,可以提升评估效果和咨询效率,帮助学生在面临心理困扰时,快速找到合适的支持。基于此,本研究决定开发一个系统,集成在线测试、咨询、资源管理和智能分析等功能,提升学生心理健康效率和质量。
1.2开发意义
基于Spring Boot的学生心理健康咨询评估系统的研发,可以为用户提供一个集心理测试、咨询、评估和管理等功能为一体的综合性平台,以提升学生心理健康管理和素质。通过构建在线咨询平台,学生可以随时随地获取心理支持,打破了传统咨询的时空限制,提高了心理健康服务的可及性。引入AI技术实现智能分析问答,用户可输入问题心理进行问答,系统将自动分析生成回复,为用户提供快速、准确的信息检索和智能服务同时,可以促进心理健康知识传播,系统提供心理文章、资源功能,为用户提供了丰富的心理知识支持,可以提高学生心理素质,增强应对压力的能力。此外,本系统的成功实现,能够完善校园心理健康管理体系,为学校提供高效的管理工具,促进不同角色间的协同合作,优化校园心理健康服务体系,推动心理领域智能化、信息发展。
简而言之,基于Spring Boot的学生心理健康咨询评估系统的研究,不仅具有理论价值,还具有重要的实践意义,能够为广大学校提供心理健康管理的有效解决方案,丰富信息化技术在心理健康管理领域的研究理论,为类似系统开发提供参考,并推动高校的数字化建设。
1.3国内外研究现状
1.3.1国内研究现状
国内关于心理健康领域的研究和实践逐渐受到重视,尤其是针对学生群体的心理健康问题的关注度不断提升、相关服务体系逐渐完善。近年来,随着科技的迅速发展,在线心理健康服务逐渐兴起,研究主要集中心理健康评估工具的开发、在线心理咨询平台的建设、心理健康教育与培训及心理健康预防研究等方面。国内研究致力于开发适合中国学生的心理健康评估量表。例如,中山大学的研究团队研发的《学生心理健康评估量表》,通过基于中国学生的生活和学习特点,涵盖焦虑、抑郁等多个心理维度进行评估,应用在全国多所高校内。随着互联网技术的普及,利用信息技术,如移动应用程序,来提升心理健康服务的可及性和便利性,正逐渐成为趋势,各大高校开始搭建在线心理健康咨询平台,提供便捷的心理服务。以“心理热线”平台为例,该平台提供了匿名咨询,学生可以通过文字或语音与专业心理咨询师交流,帮助缓解心理压力。还有像北京师范大学的“心声”心理咨询系统,提供了预约、心理健康评测与在线咨询等服务。同时,国内高校注重设立和开办心理健康课程或讲座,以提高学生的心理素养心理健康预防研究。国内研究还侧重于心理健康预防研究,关注心理健康的预防机制的建立,开发基于心理韧性的干预项目,如广东医科大学开展的“心理韧性训练课程”,旨在通过团体辅导提高学生应对压力的能力。
1.3.2国外研究现状
较之国内,国外在心理健康研究相对成熟,特别是在在线心理健康服务和数字技术应用方面,已建立了完善的心理健康支持系统。国外研究表明,在线心理干预对改善心理健康有显著效果。通过比较传统面对面咨询与在线咨询的效果,在线咨询显著降低了受访者的焦虑和抑郁水平,并且参与者对在线服务表示满意。如美国的“7 Cups”平台,提供在线心理支持与咨询服务,用户可以匿名与心理辅导员进行交流,有效提升了咨询效率和用户体验。近年来,许多商业应用程序,如“Headspace”等程序的研发,已成为心理健康干预的重要工具。这些应用程序通过提供冥想、认知行为疗法(CBT)等方法,帮助用户缓解压力和焦虑。研究显示,此类程序在提高用户心理健康和自我调节能力方面具有积极效果。同时,在欧美等国已建设了国家级心理健康服务平台,通过整合学校、社区和医院的资源,实现全方位、综合性的心理健康服务。例如,美国的国家心理健康服务网络提供在线咨询、心理健康教育和危机干预,形成了综合、系统化的心理健康支持。此外,心理健康相关的人工智能应用也在逐渐增多,如“Woebot”,通过自然语言处理与机器学习,为用户提供情感支持和认知行为疗法的帮助。
1.4主要研究内容
本研究主要围绕如何引入信息化技术研发一套高效智能的学生心理健康咨询评估系统展开。在设计与实现学生心理健康咨询评估系统时,通过调研与访谈,收集学生、心理老师及管理员的需求,以明确系统功能模块,设计出符合用户需求的系统架构和界面。该系统后端采用了Java作为编程语言,并利用了SpringBoot框架,使得复杂的业务逻辑和数据操作得以高效完成。与此同时,系统的数据存储和管理通过MySQL数据库实现。结合JavaScript等技术作为前端框架,具有响应式数据绑定和组件化的特点,能够有效地提升用户体验和开发效率。在开发工具的选取上,使用了IDEA,它的强大功能和易用性使得编程工作更为高效;而Navicat作为数据库管理工具,使得数据库操作更为方便和快捷。这样的技术选择,确保了管理系统的开发流程既高效又稳定。本系统主要面对学生用户、心理老师及管理员等对象,实现了包括注册登录、AI分析、系统用户、心理文章管理、文章类别管理、老师介绍管理、心理类型管理、预约信息管理、在线咨询管理、咨询回复管理、系统管理、网站公告管理、资源管理等多个关键功能模块,基本满足整个心理测试评估及健康管理等流程,能够有效支持心理健康管理,提升心理健康咨询评估效率和用户体验。最终通过功能测试和用户反馈,进行系统性能和用户体验的优化,确保系统的稳定性和可用性。
2 相关技术介绍
2.1SpringBoot框架介绍
SpringBoot是Spring家族中的一个重要成员,它简化了Spring应用的初始搭建和开发过程[1]。通过提供一系列默认配置和自动装配机制,SpringBoot使得开发者能够更快地构建出生产级别的Spring应用。它支持多种开发工具和框架,如Maven、Gradle等,并且可以与多种数据库和缓存技术无缝集成[2]。SpringBoot的简洁性和高效性使其成为开发企业级应用的首选框架之一。在本次毕业设计中,SpringBoot框架为学生心理健康咨询评估系统的后端开发提供了强大的支持。
2.2MySQL数据库
MySQL是一款开源的关系型数据库管理系统,它以其高性能、高可靠性和易用性而著称。MySQL支持多种存储引擎,如InnoDB、MyISAM等,能够满足不同应用场景的需求[3]。它提供了丰富的SQL语法和函数,使得开发者能够方便地进行数据查询、更新和删除操作。MySQL还支持事务处理、索引优化和复制等高级功能,为数据的完整性和安全性提供了有力保障。在本次毕业设计中,MySQL数据库作为学生心理健康咨询评估系统的数据存储核心,承担着存储和管理各类系统重要数据的任务。而且通过合理的数据库设计和优化,确保了系统的数据访问效率和数据安全性[4]。
2.3Java语言
JAVA是一种广泛使用的编程语言,具有跨平台、面向对象、安全性高等特点。JAVA语言提供了丰富的类库和API,使得开发者能够轻松地进行网络编程、数据库操作、图形界面开发等任务[5]。JAVA还支持多线程编程和分布式计算,为开发高性能和可扩展的应用提供了有力支持[6]。所以本次毕设选择了JAVA作为学生心理健康咨询评估系统的开发语言。通过利用JAVA的面向对象特性和丰富的类库资源,成功实现了系统的各个功能模块,并保证了系统的稳定性和可扩展性。而且JAVA的跨平台特性也使得此次毕业设计能够在不同的操作系统和硬件平台上运行,为用户提供了更加便捷的使用体验。
3 系统分析
3.1可行性分析
3.1.1技术可行性
基于Spring Boot框架开发学生心理健康咨询评估系统具有显著优势。Spring Boot以其简洁的配置、高效的性能以及强大的集成能力,为快速构建稳定、可扩展的Web应用提供了坚实基础[7]。结合MySQL数据库的高效存储与检索能力,以及Java语言的广泛应用与成熟生态,系统能够实现复杂的数据处理与业务逻辑[8]。此外,前端采用JavaScript等技术,可确保用户界面的流畅与互动性,技术实现路径清晰可行。
3.1.2经济可行性
该系统开发成本相对较低,主要投入在于人力与硬件资源。Spring Boot及MySQL均为开源技术,无需额外购买软件许可,降低了开发成本。如果系统上线可通过提供便捷、高效的心理健康管理服务,可吸引大量用户,进而通过广告、增值服务等方式实现盈利,具有良好的经济回报预期。此外,系统维护成本适中,便于长期运营与迭代升级。
3.1.3操作可行性
系统界面简洁友好,操作流程简单,用户无需复杂培训即可上手。系统功能模块化设计操作简便,便于用户快速完成操作。且系统支持多角色协同操作,管理员和用户登录系统后均可根据权限进行相应操作,有效提升管理效率和用户体验。
3.2系统功能需求
本学生心理健康咨询评估系统根据使用者划分,主要包含学生用户、 心理老师和管理员等三大角色,每个角色对应的主要功能说明如下所示:
3.2.1学生用户主要功能
- 注册登录:提供注册和登录系统的功能,学生用户可以通过注册拥有系统账户,注册成功后可使用账号+密码登录系统前台。
- 首页:提供系统搜索功能和系统功能导航栏,展示平台的轮播图、最新动态、热门信息、推荐信息等内容。
- 心理测试:提供心理测试功能,学生用户可以搜索选择试题进行答题,完成测试提交后可查看点评。
- 网站公告:提供系统相关的网站公告信息,保证学生用户及时了解平台动态。
- 心理资讯:提供心理资讯的相关新闻、文章展示和热门资讯推荐,让学生用户快速获取最新资讯,支持点赞、收藏、评论心理资讯。
- AI分析:提供智能AI分析功能,学生用户可以发送问题,系统将自动分析检索,生成智能AI回答内容。
- 心理文章:提供心理文章信息展示,支持关键字、排序搜索,学生用户可以浏览心理文章,并点赞、收藏和评论心理文章。
- 老师介绍:提供老师介绍信息展示,支持关键字、排序搜索,学生用户可以浏览老师介绍,并点赞、收藏和评论老师介绍,实现预约、咨询等功能。
- 我的账户:提供管理个人资料功能,学生用户可修改自己的账户信息和密码信息。
- 个人中心:提供个人首页、预约信息、在线咨询、咨询回复、收藏、评论管理等子菜单功能链接,学生用户可根据需求对其进行管理。具体包括,学生用户可查询确认预约信息和在线咨询等信息处理情况;查阅咨询回复内容;可查看和删除已收藏的系统信息;可跟踪和查看已发表的评论内容。
3.2.2心理老师主要功能
- 登录:心理老师账户信息由管理员在后台直接添加,可使用账号密码登录系统后台,实现权限内管理操作,支持更新个人资料和修改密码。
- 后台首页:心理老师登录后台的起始界面,该界面主要展示系统重要信息概览及提供AI分析功能。
- 心理文章管理:心理老师可管理自己的心理文章的发布、下架、更新等操作,提供搜索功能,支持查看和管控其评论内容。
- 老师介绍管理:心理老师可管理自己的老师介绍的发布、下架、更新等操作,提供搜索功能,支持查看和管控其评论内容。
- 预约信息管理:心理老师可搜索和浏览自己的预约信息,负责审核预约信息。
- 在线咨询管理:心理老师可搜索和浏览自己的在线咨询信息,负责回复在线咨询信息。
- 咨询回复管理:心理老师可管理自己的咨询回复信息,包括查询、删除咨询回复。
- 资源管理:心理老师可管理自己的心理测试信息,实现题库、答题、点评等操作,支持批量导入试题到题库,由系统自动组卷,负责根据心理测试结果进行点评学生心理情况。
3.2.3管理员主要功能
- 登录:管理员可直接使用账号密码登录系统后台,可使用账号密码登录系统后台,实现权限内管理操作,支持更新个人资料和修改密码。
- 后台首页:管理员登录后台的起始界面,该界面主要展示系统重要信息概览及AI分析功能管理。
- 系统用户:管理员可管理包括学生用户、心理老师和管理员等所有系统用户信息,支持用户权限管理和角色设置,可增改删查和审核系统用户信息。
- 心理文章管理:管理员可管理所有心理文章的发布、下架、更新等操作,提供搜索功能,支持查看和管控其评论内容。
- 文章类别管理:管理员可管理所有文章类别信息,包括新增、编辑、删除和查询文章类别。
- 老师介绍管理:管理员可管理所有老师介绍的发布、下架、更新等操作,提供搜索功能,支持查看和管控其评论内容。
- 心理类型管理:管理员可管理所有心理类型信息,包括新增、编辑、删除和查询心理类型。
- 预约信息管理:管理员可管理所有预约信息,包括查询、删除预约信息。
- 在线咨询管理:管理员可管理所有在线咨询信息,包括查询、删除在线咨询。
- 咨询回复管理:管理员可管理所有咨询回复信息,包括查询、删除咨询回复。
- 系统管理:管理员可管理系统的轮播图信息,包括新增、编辑、删除轮播图,提供搜索功能,支持图片附带链接。
- 网站公告管理:管理员可管理平台发布的网站公告信息,包括新增、编辑、删除网站公告,提供搜索功能。
- 资源管理:管理员可管理所有新闻资讯、资讯分类以及心理测试的新增、编辑、删除等操作,提供搜索功能,支持对新闻资讯的评论管控和查看;心理测试还提供题库、答题、点评等操作。
3.3非功能性需求分析
在基于SpringBoot的学生心理健康咨询评估系统的设计中,非功能性需求分析是也是很重要的。它主要关注系统除了基本功能外的其他特性,如性能、安全性、易用性、可维护性等,这些特性对于确保系统的稳定运行和用户满意度至关重要。
性能:系统需要能够处理高并发请求,确保在多个用户同时操作时仍能保持稳定运行。
安全性:系统必须采取严格的措施来保护敏感数据,如用户信息、心理数据等,防止数据泄露和非法访问。
易用性:系界面友好直观,操作流程简化,提升用户体验。
可维护性:代码结构清晰,文档完备,便于后续开发与问题排查。
3.4系统用户用例分析
3.4.1学生用户用例图
在学生心理健康咨询评估系统中学生用户包含注册登录、首页、心理测试、网站公告、心理资讯、AI分析、心理文章、老师介绍、我的账户、个人中心等功能。学生用户用例图如下所示:

图3.1 学生用户用例图
3.4.2心理老师用例图
在学生心理健康咨询评估系统中心理老师主要拥有登录、后台首页、心理文章管理、老师介绍管理、预约信息管理、在线咨询管理、咨询回复管理、资源管理等功能。心理老师用例图如下所示:

图3.2 心理老师用例图
3.4.3管理员用例图
学生心理健康咨询评估系统中管理员则集成了登录、后台首页、系统用户、心理文章管理、文章类别管理、老师介绍管理、心理类型管理、预约信息管理、在线咨询管理、咨询回复管理、系统管理、网站公告管理、资源管理等功能。管理员用例图如下所示:

图3.3 管理员用例图
3.5系统流程分析
3.5.1系统操作流程图
用户打开浏览器,输入系统的网址,访问应用程序的系统界面。用户在首页可选择进行注册或登录。如果用户已注册,可直接进入登录页面;如果未注册,则可选择注册。登录后,用户可进入系统功能界面,根据提示可实现各项操作。系统操作流程图如下图所示。
图3.4 系统操作流程图
3.5.2系统登录流程图
当用户进入登录页面,输入用户名和密码等信息,此时系统将进行基本的输入验证,确认用户名和密码不为空,点击“登录”按钮提交登录请求后,系统将进一步研究用户名和密码是否匹配,验证成功则可成功登录,跳转至用户主界面;反之,提示错误返回登录界面。登录流程图如下图所示。

图3.5 登录流程图
3.5.3用户注册流程图
用户点击“注册”按钮,系统跳转至注册页面,用户需填写并提交必要的注册信息(如用户名、密码、邮箱、电话号码等),系统将对注册信息验证,确保必填字段不为空,密码符合复杂度要求等,并检查用户名和邮箱是否已被使用,系统验证无误后,将提示用户注册成功。用户注册流程图如下图所示。

图3.6 注册流程图
4 系统设计
4.1系统设计原则
在设计基于SpringBoot的学生心理健康咨询评估系统时,主要遵循以下系统设计原则:
单一职责原则(SRP):每个模块或组件应只负责单一的功能,减少模块之间的耦合,方便后期的维护和扩展。
分层架构:系统采用分层架构设计,将表现层、业务逻辑层和数据访问层分开,实现功能模块的分离与复用。
可扩展性:设计时考虑未来可能的功能扩展,确保系统结构能够灵活应对需求的变化。
用户体验优先:系统设计考虑用户的使用习惯与操作便利性,通过简洁明了的界面和流畅的交互,提高用户体验。
4.2功能模块设计
整个学生心理健康咨询评估系统是由多个功能模块组合而成的,根据用户需求分析,本系统主要可以划分为学生用户、心理老师和管理员等三大模块。各模块又可细分为不同的子功能设计,实现多角色协作,负责不同的职能,每个角色对应的功能模块如图所示。

图4.1 系统功能结构图
4.3数据库设计
4.3.1概念设计
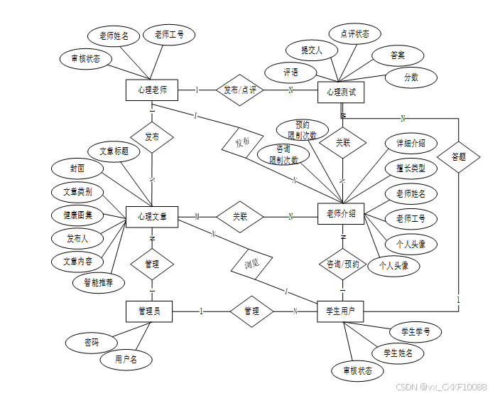
借助系统总体E-R图可以使其他用户快速轻松地了解系统的功能以及他们之间的关系。根据学生心理健康咨询评估系统各个实体和属性的分析结果,本学生心理健康咨询评估系统总体E-R实体关系图如下所示。
图4.2 系统总体ER图
4.3.2逻辑设计
通过上一小节学生心理健康咨询评估系统中总E-R关系图上得出一共需要创建很多个数据表。在此主要罗列几个主要的数据库表结构设计。
介绍了一些根据各类别主要数据库表的设计结构以及基本功能建立数据库表:
表4.1 psychological_teacher(心理老师)
| 编号 | 字段名 | 类型 | 长度 | 是否非空 | 是否主键 | 注释 |
| 1 | psychological_teacher_id | int | 是 | 是 | 心理老师ID | |
| 2 | teachers_work_number | varchar | 64 | 是 | 是 | 老师工号 |
| 3 | teachers_name | varchar | 64 | 是 | 否 | 老师姓名 |
| 4 | examine_state | varchar | 16 | 是 | 否 | 审核状态 |
| 5 | user_id | int | 是 | 否 | 用户ID | |
| 6 | create_time | datetime | 是 | 否 | 创建时间 | |
| 7 | update_time | timestamp | 是 | 否 | 更新时间 |
表4.2 student_users(学生用户)
| 编号 | 字段名 | 类型 | 长度 | 是否非空 | 是否主键 | 注释 |
| 1 | student_users_id | int | 是 | 是 | 学生用户ID | |
| 2 | student_id | varchar | 64 | 是 | 是 | 学生学号 |
| 3 | student_name | varchar | 64 | 是 | 否 | 学生姓名 |
| 4 | examine_state | varchar | 16 | 是 | 否 | 审核状态 |
| 5 | user_id | int | 是 | 否 | 用户ID | |
| 6 | create_time | datetime | 是 | 否 | 创建时间 | |
| 7 | update_time | timestamp | 是 | 否 | 更新时间 |
表4.3 psychological_articles(心理文章)
| 编号 | 字段名 | 类型 | 长度 | 是否非空 | 是否主键 | 注释 |
| 1 | psychological_articles_id | int | 是 | 是 | 心理文章ID | |
| 2 | article_title | varchar | 64 | 是 | 否 | 文章标题 |
| 3 | cover | varchar | 255 | 否 | 否 | 封面 |
| 4 | article_category | varchar | 64 | 否 | 否 | 文章类别 |
| 5 | health_atlas | text | 65535 | 否 | 否 | 健康图集 |
| 6 | publisher | int | 否 | 否 | 发布人 | |
| 7 | article_content | longtext | 4294967295 | 否 | 否 | 文章内容 |
| 8 | hits | int | 是 | 否 | 点击数 | |
| 9 | praise_len | int | 是 | 否 | 点赞数 | |
| 10 | collect_len | int | 是 | 否 | 收藏数 | |
| 11 | comment_len | int | 是 | 否 | 评论数 | |
| 12 | recommend | int | 是 | 否 | 智能推荐 | |
| 13 | create_time | datetime | 是 | 否 | 创建时间 | |
| 14 | update_time | timestamp | 是 | 否 | 更新时间 |
表4.4 teacher_introduction(老师介绍)
| 编号 | 字段名 | 类型 | 长度 | 是否非空 | 是否主键 | 注释 |
| 1 | teacher_introduction_id | int | 是 | 是 | 老师介绍ID | |
| 2 | personal_avatar | varchar | 255 | 否 | 否 | 个人头像 |
| 3 | psychological_teacher | int | 否 | 否 | 心理老师 | |
| 4 | teachers_work_number | varchar | 64 | 否 | 否 | 老师工号 |
| 5 | teachers_name | varchar | 64 | 是 | 否 | 老师姓名 |
| 6 | good_at_type | varchar | 64 | 否 | 否 | 擅长类型 |
| 7 | detailed_introduction | longtext | 4294967295 | 否 | 否 | 详细介绍 |
| 8 | hits | int | 是 | 否 | 点击数 | |
| 9 | collect_len | int | 是 | 否 | 收藏数 | |
| 10 | comment_len | int | 是 | 否 | 评论数 | |
| 11 | reservation_information_limit_times | int | 是 | 否 | 预约限制次数 | |
| 12 | online_consultation_limit_times | int | 是 | 否 | 咨询限制次数 | |
| 13 | create_time | datetime | 是 | 否 | 创建时间 | |
| 14 | update_time | timestamp | 是 | 否 | 更新时间 |
表4.5 evaluation(测评问卷)
| 编号 | 字段名 | 类型 | 长度 | 是否非空 | 是否主键 | 注释 |
| 1 | exam_id | mediumint | 是 | 是 | 问卷id | |
| 2 | name | varchar | 32 | 是 | 否 | 问卷名称 |
| 3 | duration | int | 否 | 否 | 答题时长 | |
| 4 | status | varchar | 10 | 否 | 否 | 状态:启用、禁用 |
| 5 | create_time | timestamp | 是 | 否 | 创建时间 | |
| 6 | update_time | timestamp | 是 | 否 | 更新时间 |
表4.6 evaluation_question(题目)
| 编号 | 字段名 | 类型 | 长度 | 是否非空 | 是否主键 | 注释 |
| 1 | exam_question_id | mediumint | 是 | 是 | 题目ID | |
| 2 | type | varchar | 20 | 否 | 否 | 类型 |
| 3 | title | varchar | 255 | 否 | 否 | 题目 |
| 4 | question_item | varchar | 500 | 否 | 否 | 选项 |
| 5 | question_order | int | 否 | 否 | 排序 | |
| 6 | exam_id | mediumint | 是 | 是 | 所属问卷 | |
| 7 | create_time | timestamp | 是 | 否 | 创建时间 | |
| 8 | update_time | timestamp | 是 | 否 | 更新时间 |
表4.7 evaluation_user_answer(用户答题)
| 编号 | 字段名 | 类型 | 长度 | 是否非空 | 是否主键 | 注释 |
| 1 | user_answer_id | mediumint | 是 | 是 | 用户答题ID | |
| 2 | user_id | mediumint | 是 | 否 | 用户ID | |
| 3 | exam_id | mediumint | 是 | 是 | 考试ID | |
| 4 | score | double | 否 | 否 | 分数 | |
| 5 | answers | text | 65535 | 否 | 否 | 答案 |
| 6 | comment_state | tinyint | 否 | 否 | 点评状态 | |
| 7 | nickname | varchar | 255 | 否 | 否 | 提交人 |
| 8 | create_time | timestamp | 是 | 否 | 创建时间 | |
| 9 | update_time | timestamp | 是 | 否 | 更新时间 | |
| 10 | comment_desc | varchar | 255 | 否 | 否 | 评语 |
表4.8 reservation_information(预约信息)
| 编号 | 字段名 | 类型 | 长度 | 是否非空 | 是否主键 | 注释 |
| 1 | reservation_information_id | int | 是 | 是 | 预约信息ID | |
| 2 | appointment_number | varchar | 64 | 否 | 否 | 预约编号 |
| 3 | psychological_teacher | int | 否 | 否 | 心理老师 | |
| 4 | teachers_work_number | varchar | 64 | 否 | 否 | 老师工号 |
| 5 | teachers_name | varchar | 64 | 是 | 否 | 老师姓名 |
| 6 | student_users | int | 否 | 否 | 学生用户 | |
| 7 | student_id | varchar | 64 | 否 | 否 | 学生学号 |
| 8 | student_name | varchar | 64 | 是 | 否 | 学生姓名 |
| 9 | appointment_date | date | 否 | 否 | 预约日期 | |
| 10 | appointment_remarks | text | 65535 | 否 | 否 | 预约备注 |
| 11 | examine_state | varchar | 16 | 是 | 否 | 审核状态 |
| 12 | examine_reply | varchar | 16 | 否 | 否 | 审核回复 |
| 13 | create_time | datetime | 是 | 否 | 创建时间 | |
| 14 | update_time | timestamp | 是 | 否 | 更新时间 | |
| 15 | source_table | varchar | 255 | 否 | 否 | 来源表 |
| 16 | source_id | int | 否 | 否 | 来源ID | |
| 17 | source_user_id | int | 否 | 否 | 来源用户 |
表4.9 consultation_reply(咨询回复)
| 编号 | 字段名 | 类型 | 长度 | 是否非空 | 是否主键 | 注释 |
| 1 | consultation_reply_id | int | 是 | 是 | 咨询回复ID | |
| 2 | psychological_teacher | int | 否 | 否 | 心理老师 | |
| 3 | teachers_work_number | varchar | 64 | 否 | 否 | 老师工号 |
| 4 | teachers_name | varchar | 64 | 是 | 否 | 老师姓名 |
| 5 | student_users | int | 否 | 否 | 学生用户 | |
| 6 | student_id | varchar | 64 | 否 | 否 | 学生学号 |
| 7 | student_name | varchar | 64 | 是 | 否 | 学生姓名 |
| 8 | date_of_consultation | date | 否 | 否 | 咨询日期 | |
| 9 | consulting_content | text | 65535 | 否 | 否 | 咨询内容 |
| 10 | reply_content | text | 65535 | 否 | 否 | 回复内容 |
| 11 | create_time | datetime | 是 | 否 | 创建时间 | |
| 12 | update_time | timestamp | 是 | 否 | 更新时间 | |
| 13 | source_table | varchar | 255 | 否 | 否 | 来源表 |
| 14 | source_id | int | 否 | 否 | 来源ID | |
| 15 | source_user_id | int | 否 | 否 | 来源用户 |
表4.10 online_consultation(在线咨询)
| 编号 | 字段名 | 类型 | 长度 | 是否非空 | 是否主键 | 注释 |
| 1 | online_consultation_id | int | 是 | 是 | 在线咨询ID | |
| 2 | psychological_teacher | int | 否 | 否 | 心理老师 | |
| 3 | teachers_work_number | varchar | 64 | 否 | 否 | 老师工号 |
| 4 | teachers_name | varchar | 64 | 是 | 否 | 老师姓名 |
| 5 | student_users | int | 否 | 否 | 学生用户 | |
| 6 | student_id | varchar | 64 | 否 | 否 | 学生学号 |
| 7 | student_name | varchar | 64 | 是 | 否 | 学生姓名 |
| 8 | date_of_consultation | date | 否 | 否 | 咨询日期 | |
| 9 | consulting_content | text | 65535 | 否 | 否 | 咨询内容 |
| 10 | consultation_reply_limit_times | int | 是 | 否 | 回复限制次数 | |
| 11 | create_time | datetime | 是 | 否 | 创建时间 | |
| 12 | update_time | timestamp | 是 | 否 | 更新时间 | |
| 13 | source_table | varchar | 255 | 否 | 否 | 来源表 |
| 14 | source_id | int | 否 | 否 | 来源ID | |
| 15 | source_user_id | int | 否 | 否 | 来源用户 |
5 系统实现
5.1学生用户主要功能实现
5.1.1用户注册模块
学生用户点击注册,进入注册页面,填写好账号、密码、确认密码、昵称、邮箱、身份:学生用户、用户姓名、用户性别、用户电话等字段值,点击下方注册按钮,提示注册成功后,系统将自动跳转回到登录页面。注册界面如下图所示。
图5.1 注册界面
5.1.2用户登录模块
用户点击“登录”按钮,输入用户名、密码、验证码登录系统,登录时前端会自动校验用户名与密码以及该用户是否审核通过,审核通过的用户输入正确登录成功,输入错误会有提示信息。登录界面如下图所示。
图5.2 登录界面
5.1.3首页模块
首页模块主要提供系统搜索功能和系统功能导航栏,展示平台的轮播图、最新动态、热门信息、推荐信息等内容。界面如下图所示。
图5.3 首页界面
5.1.4心理测试模块
心理测试主要为用户提供心理测试功能,学生用户可以搜索选择试题进行答题,完成测试提交后可查看点评。界面如下图所示。
图5.4 心理测试界面
5.1.5AI分析模块
AI分析:提供智能AI分析功能,学生用户可以发送问题,系统将自动分析检索,生成智能AI回答内容。界面如下图所示。
图5.5 AI分析界面
5.1.6老师介绍模块
老师介绍模块主要为用户提供老师介绍信息展示,支持关键字、排序搜索,学生用户可以浏览老师介绍,并点赞、收藏和评论老师介绍,实现预约、咨询等功能。界面如下图所示。
图5.6 老师介绍界面
5.1.7个人中心模块
个人中心模块主要为用户提供个人首页、预约信息、在线咨询、咨询回复、收藏、评论管理等子菜单功能链接,学生用户可根据需求对其进行管理。具体包括,学生用户可查询确认预约信息和在线咨询等信息处理情况;查阅咨询回复内容;可查看和删除已收藏的系统信息;可跟踪和查看已发表的评论内容。界面如下图所示。
图5.7 个人中心界面
5.2心理老师主要功能实现
5.2.1心理文章管理模块
心理老师可管理自己的心理文章的发布、下架、更新等操作,提供搜索功能,支持查看和管控其评论内容。界面如下图所示。
图5.8 心理文章添加界面
5.2.2老师介绍管理模块
心理老师可管理自己的老师介绍的发布、下架、更新等操作,提供搜索功能,支持查看和管控其评论内容。界面如下图所示。
图5.9 老师介绍管理界面
5.2.3预约信息管理模块
心理老师可搜索和浏览自己的预约信息,负责审核预约信息。面如下图所示。
图5.10 预约信息审核界面
5.2.4在线咨询管理模块
心理老师可搜索和浏览自己的在线咨询信息,负责回复在线咨询信息。界面如下图所示。
图5.11 在线咨询管理界面
5.2.5资源管理模块
心理老师可管理自己的心理测试信息,实现题库、答题、点评等操作,支持批量导入试题到题库,由系统自动组卷,负责根据心理测试结果进行点评学生心理情况。界面如下图所示。
图5.12 资源管理界面
5.3管理员主要功能实现
5.3.1后台首页模块
管理员登录后台的起始界面,该界面主要展示系统重要信息概览及AI分析功能管理。界面如下图所示。
图5.13 后台首页界面图
5.3.2系统用户模块
管理员可管理包括学生用户、心理老师和管理员等所有系统用户信息,支持用户权限管理和角色设置,可增改删查和审核系统用户信息。界面如下图所示。
图5.14 系统用户界面图
5.3.3系统管理模块
管理员可管理系统的轮播图信息,包括新增、编辑、删除轮播图,提供搜索功能,支持图片附带链接。界面如下图所示。
图5.15 系统管理界面图
5.3.4资源管理模块
管理员可管理所有新闻资讯、资讯分类以及心理测试的新增、编辑、删除等操作,提供搜索功能,支持对新闻资讯的评论管控和查看;心理测试还提供题库、答题、点评等操作。界面如下图所示。
图5.16 资源管理界面图
6 系统测试
6.1测试目的
在这个产品被投入使用前,首先需要进行试用,这是重要的环节。考虑到某个部分的开发没有缺陷情况下,把各种模块拼接,也有一定概率就存在矛盾。这就好比每个人都很独特,但聚在一起就显得杂乱无章,需要保证有默契的配合。对于测试,要看它的各项内容是否契合的原则[10]。若与最初定下的标准有一定程度上的出入,那么就需要做出一些调整,让最终的大方向朝着目标前进。
测试是为了发现在开发的程序中所存在的问题,测试这一工作是非常艰巨的,而又是非常困难的,这一部分在程序的设计中占有很大比例,可以说一个程序的开发工作量要是占据了百分至六十,那么剩下的百分之四十必然是测试这一部分,甚至更高。
6.2测试用例
用户注册功能测试用例如下表所示。
表6.1 用户注册功能测试表
| 测试编号 | 测试描述 | 预期结果 | 测试方法 | 测试结果 |
| TC_01 | 正常用户注册 | 用户注册成功,跳转至登录页面 | 输入所有必填项并提交 | 符合预期 |
| TC_02 | 注册时用户名已存在 | 提示“用户名已被注册” | 输入已存在的用户名 | 符合预期 |
| TC_03 | 注册时邮箱格式错误 | 提示“邮箱格式不正确” | 输入错误格式的邮箱 | 符合预期 |
| TC_04 | 必填项未填写 | 提示“请填写所有必填信息” | 不填写必要信息 | 符合预期 |
- 用户登录功能测试
用户登录功能测试用例如下表所示。
表6.2 用户登录功能测试表
| 测试编号 | 测试描述 | 预期结果 | 测试方法 | 测试结果 |
| TC_01 | 正常用户登录 | 用户成功登录,进入用户首页 | 输入有效的用户名和密码 | 符合预期 |
| TC_02 | 输入错误密码进行登录 | 提示“用户名或密码错误” | 输入有效用户名,错误密码 | 符合预期 |
| TC_03 | 输入未学生用户名登录 | 提示“用户不存在” | 输入未注册的用户名 | 符合预期 |
| TC_04 | 密码为空时登录 | 提示“请填写密码” | 仅输入用户名 | 符合预期 |
- 心理文章管理功能测试
心理文章管理功能测试用例如下表所示。
表6.3 心理文章管理功能测试表
| 测试编号 | 测试描述 | 预期结果 | 测试方法 | 测试结果 |
| TC_01 | 查看心理文章列表 | 成功显示所有心理文章信息 | 进入心理文章管理页面 | 符合预期 |
| TC_02 | 心理老师添加新心理文章信息 | 成功添加心理文章信息并提示“信息已添加” | 进入心理文章添加界面,输入心理文章并提交 | 符合预期 |
| TC_03 | 搜索特定心理文章信息 | 成功显示符合条件的心理文章信息 | 输入心理文章名称进行搜索 | 符合预期 |
| TC_04 | 删除心理文章信息 | 成功删除心理文章,并提示“信息已删除” | 选择心理文章信息并执行删除操作 | 符合预期 |
| TC_05 | 编辑心理文章信息 | 成功编辑心理文章信息并提示“修改成功” | 进入详情页界面,修改某一心理文章信息并提交 | 符合预期 |
- 老师介绍管理功能测试
老师介绍管理功能测试用例如下表所示。
表6.4 老师介绍管理功能测试表
| 测试编号 | 测试描述 | 预期结果 | 测试方法 | 测试结果 |
| TC_01 | 查看老师介绍列表 | 成功显示所有老师介绍信息 | 进入老师介绍管理页面 | 符合预期 |
| TC_02 | 心理老师添加新老师介绍信息 | 成功添加老师介绍信息并提示“信息已添加” | 进入老师介绍添加界面,输入老师介绍信息并提交 | 符合预期 |
| TC_03 | 搜索特定老师介绍信息 | 成功显示符合条件的老师介绍信息 | 输入老师介绍名称进行搜索 | 符合预期 |
| TC_04 | 删除老师介绍信息 | 成功删除老师介绍信息,并提示“信息已删除” | 选择老师介绍并执行删除操作 | 符合预期 |
| TC_05 | 编辑老师介绍信息 | 成功编辑老师介绍并提示“修改成功” | 进入详情页界面,修改某一老师介绍信息并提交 | 符合预期 |
| TC_05 | 编辑老师介绍信息 | 成功编辑老师介绍并提示“修改成功” | 进入详情页界面,修改某一老师介绍信息并提交 | 符合预期 |
- 预约信息管理功能测试
预约信息管理功能测试用例如下表所示。
表6.5 预约信息管理功能测试表
| 测试编号 | 测试描述 | 预期结果 | 测试方法 | 测试结果 |
| TC_01 | 查看预约信息列表 | 成功显示所有预约信息信息 | 进入预约信息管理页面 | 符合预期 |
| TC_02 | 学生用户添加新预约信息 | 成功添加预约信息信息并提示“信息已添加” | 进入预约信息添加界面,输入预约信息信息并提交 | 符合预期 |
| TC_03 | 搜索特定预约信息 | 成功显示符合条件的预约信息信息 | 输入预约信息名称进行搜索 | 符合预期 |
| TC_04 | 删除预约信息 | 成功删除预约信息信息,并提示“信息已删除” | 选择预约信息并执行删除操作 | 符合预期 |
| TC_05 | 编辑预约信息 | 成功编辑预约信息并提示“修改成功” | 进入详情页界面,修改某一预约信息信息并提交 | 符合预期 |
| TC_06 | 心理老师审核预约信息 | 成功审核预约信息信息并提示“提交成功” | 点击“审核”预约信息信息并提交 | 符合预期 |
- 在线咨询管理功能测试
在线咨询管理功能测试用例如下表所示。
表6.6 在线咨询管理功能测试表
| 测试编号 | 测试描述 | 预期结果 | 测试方法 | 测试结果 |
| TC_01 | 查看在线咨询列表 | 成功显示所有在线咨询信息 | 进入在线咨询管理页面 | 符合预期 |
| TC_02 | 学生用户添加新在线咨询信息 | 成功添加在线咨询并提示“信息已添加” | 进入在线咨询添加界面,输入在线咨询信息并提交 | 符合预期 |
| TC_03 | 搜索特定在线咨询信息 | 成功显示符合条件的在线咨询信息 | 输入在线咨询名称进行搜索 | 符合预期 |
| TC_04 | 删除在线咨询信息 | 成功删除在线咨询信息,并提示“信息已删除” | 选择在线咨询并执行删除操作 | 符合预期 |
| TC_05 | 编辑在线咨询信息 | 成功编辑在线咨询并提示“修改成功” | 进入详情页界面,修改某一在线咨询信息并提交 | 符合预期 |
| TC_06 | 心理老师回复在线咨询信息 | 成功回复在线咨询信息并提示“提交成功” | 点击“回复”在线咨询信息并提交 | 符合预期 |
- 心理测试管理功能测试
心理测试管理功能测试用例如下表所示。
表6.7 心理测试管理功能测试表
| 测试编号 | 测试描述 | 预期结果 | 测试方法 | 测试结果 |
| TC_01 | 查看心理测试列表 | 成功显示所有心理测试信息 | 进入心理测试管理页面 | 符合预期 |
| TC_02 | 老师用户添加新心理测试信息 | 成功添加心理测试信息并提示“信息已添加” | 进入心理测试添加界面,输入心理测试信息并提交 | 符合预期 |
| TC_03 | 搜索特定心理测试信息 | 成功显示符合条件的心理测试信息 | 输入心理测试名称进行搜索 | 符合预期 |
| TC_04 | 删除心理测试信息 | 成功删除心理测试信息,并提示“信息已删除” | 选择心理测试并执行删除操作 | 符合预期 |
| TC_05 | 编辑心理测试信息 | 成功编辑心理测试并提示“修改成功” | 进入详情页界面,修改某一心理测试信息并提交 | 符合预期 |
6.3测试结果
在本次测试中主要对用户注册、用户登录、心理文章管理、老师介绍管理、预约信息管理、在线咨询管理及心理测试管理等模块业务流程操作,进行测试分析并编写测试用例,经过严格的测试,全部测试用例都已通过,验证所有操作都能够正常运行,因此能够保证本次设计且已实现的功能能够正常运行,操作简单,使用流畅,能够满足管理业务需求,同时确保相关数据库的信息也同样正确无误,实现了本论文开始时所作要求和期望。
结 论
本学生心理健康咨询评估系统毕业设计项目已成功落下帷幕,这一成果不仅是对开发者技术实力与业务理解能力的全面展现,也是对传统心理健康管理领域数字化转型的一次积极探索。
本次毕业设计充分利用了Spring Boot框架的灵活性与高效性,通过模块化设计与微服务架构,实现了心理健康管理信息的全面管理、精准搜索与便捷测试、评估、咨询及AI分析等功能。系统界面友好直观,操作流程简洁明了,为用户提供了极佳的使用体验。通过对数据库索引、缓存机制等精心优化,系统性能得到了显著提升,确保了高并发场景下的稳定运行。而且通过实施严格的数据加密策略、访问控制机制及日志审计功能,系统有效防范了数据泄露与非法访问等安全风险。
总的来说,通过本次研究,成功基于Spring Boot搭建了一套功能齐全且操作简便的学生心理健康咨询评估系统,实现了丰富的功能并取得了一定的成果。在未来的发展中,将继续优化系统功能和用户体验,不断提升系统的性能和稳定性,为学生心理健康咨询评估系统的长期发展和用户需求提供更好的服务和支持。
参考文献
- 韦珍娜,陈宇佳. 基于SpringBoot的服装租赁系统设计 [J]. 电脑编程技巧与维护, 2025, (01): 35-38. DOI:10.16184/j.cnki.comprg.2025.01.005.
- 姚佰允,张豪,杜瑞庆. 基于SpringBoot与Vue的学院人员管理系统设计与实现 [J]. 无线互联科技, 2025, 22 (02): 78-83.
- 谢海明,张佐中,林顺福.基于自动化技术的MySQL故障处理系统的设计与实现[J].电脑知识与技术,2024,20(33):73-75.DOI:10.14004/j.cnki.ckt.2024.1721.
- 陈芳.基于MySQL数据库的数据录入系统设计研究[J].科技资讯,2024,22(20):35-37.DOI:10.16661/j.cnki.1672-3791.2405-5042-7194.
- 谢帅虎.基于Java语言的翻页功能接口程序设计与实现[J].数字通信世界,2024,(11):92-94.
- 贾琴.Java编程语言的应用策略分析[J].集成电路应用,2024,41(10):84-85.DOI:10.19339/j.issn.1674-2583.2024.10.034.
- 张靖旭,曾晓晶,郭玉坤. 基于SpringBoot的校园植物信息网建设研究 [J]. 信息与电脑(理论版), 2024, 36 (22): 119-121.
- 戴亚哲,李尤,赵利宏,等. 基于SpringBoot+Vue的文旅平台设计与研究 [J]. 无线互联科技, 2024, 21 (21): 70-72.
- 朴明,邱翠花,苗子. 基于SpringBoot+小程序的信息采集系统设计与实现 [J]. 电子技术, 2024, 53 (10): 47-49.
- 赵彩霞,张栽培,杨璇.基于Java编程导航学习平台开发设计的研究[J].家电维修,2024,(03):62-64.
- Quan Y .The management of mental health in a smart medical dialogue system based on a two-stage attention speech enhancement module[J].Computer Speech & Language,2025,92101778-101778.
- 潘婷婷,傅毅,管芳景.高职院校心理咨询服务系统的设计与实现[J].无线互联科技,2024,21(13):76-79.
- 李论,唐瑞明,邹俊平,等.“互联网+”背景下高职院校在线心理咨询管理系统的设计与实现[J].科技与创新,2024,(01):81-83.DOI:10.15913/j.cnki.kjycx.2024.01.023.
- Yuan Z .Research on Intelligent Decision Support System for Student Management and Mental Health Intervention in Higher Education Institutions[J].Applied Mathematics and Nonlinear Sciences,2024,9(1):
- 何畅,谯炜骅,马跃.在校大学生在线心理咨询系统设计[J].现代信息科技,2023,7(21):36-39+43.DOI:10.19850/j.cnki.2096-4706.2023.21.009.
- 石晓飞,范鹏飞.智能辅助诊断在心理健康评估系统中的应用与进展[J].中国医疗器械杂志,2023,47(05):478-481.
- 温正垚.面向心理咨询的智能对话系统研究[D].福建农林大学,2023.DOI:10.27018/d.cnki.gfjnu.2023.000359.
- 刘浪,张媛.基于深度学习的大学生心理健康咨询系统设计[J].自动化与仪器仪表,2022,(12):148-152.DOI:10.14016/j.cnki.1001-9227.2022.12.148.
- 邱彩云.在线心理健康评测数据分析系统的设计与实现[D].北京邮电大学,2021.DOI:10.26969/d.cnki.gbydu.2021.000867.
- 刘红红.基于区块链技术的高校学生心理健康管理系统设计[J].自动化技术与应用,2021,40(03):62-64+73.
致 谢
在完成本次 Spring Boot 学生心理健康咨询评估系统毕业设计的过程中,我收获了诸多宝贵的经验,也感受到了成长的喜悦,也深刻体会到理论与实践相结合的重要性。在这里我特别感谢我毕设的导师。在整个毕设过程中老师不但给我指明方向也给予我专业的指导,给了我很大的帮助也让我在探索中不断突破自我不断提升我的专业能力,更让我学会了如何以科学的方法解决问题。
我也感谢学校为我提供了一个良好的学习环境和丰富的资源支持。让我得以接触到前沿的技术知识和开发工具,为毕业设计的顺利开展奠定了坚实基础。在开发过程中,我遇到了许多技术难题,但通过查阅大量文献资料和反复实践,我逐渐找到了解决方法。这一过程不仅锻炼了我的自主学习能力,也让我深刻体会到知识的力量。
最后我要感谢我的家人和亲朋们。在我为毕业设计忙碌的日子里,他们始终给予我无条件的支持和鼓励。他们的理解让我能够在紧张的学习中保持良好的心态,专注于项目的每一个细节。这份毕业设计是我大学生用户活的完美收官,也是我人生旅程中的一个重要里程碑。我将带着这份成长和感恩,继续在未来的道路上努力前行。
附 录
系统核心代码设计
用户注册
注册页UserController.java,传入user对象,并将"user_id"、 "state"、 "user_group"、"login_time"、"phone"、"phone_state"、 "username"、"nickname"、"password"、"email"、"email_state"、"avatar"、"create_time"输入,重点是 "username"、"nickname"、"password"必须输入,通过获取username,数据库查询是否有该用户,如果存在,则提示“用户已存在”,否则执行将UserId置为空(数据库表中该字段已设置自动递增),代码如图所示。

注册核心代码图
用户登录
登录页,首先传入"username"、"email"、"phone"、"password",用户可通过用户名、邮箱、手机号进行登陆,通过判断resultList来确定查询结果,然后执行查询用户组UserGroup,用户组里面不存在,依然报“用户不存在”,执行完以上代码,最后涉及到用户带有“审核”的,会查询examine_state(用户的审核状态),数据库表user_group中含有source_table和source_field进行查询,以上步骤完成,对输入的密码进行存储Token到数据库,匹对账号和密码,数据库中的AccessToken为令牌,用于身份认证,代码如图所示。

用户登录核心代码图
修改密码
修改密码,通过请求data,获取旧密码,并将新密码重新赋值,期间都是需要通过加密,代码如图所示。

修改密码核心代码图
修改数据
修改一个数据,原理与add基本一致,不同点在于通过readConfig()读取关键字,以及通过readQuery()获取URL后面?指定位置的标识,转成Map对象后,执行update操作,同样通过拼接的sql语句执行,执行过程读取query,toWhereSql()语句完成数据库操作,body为修改对象的值,代码如图所示。

修改数据核心代码图
删除数据
删除一条数据,通过readQuery(),获取URL后面的对象地址,删除FROM具体的table,query删除查询FindConfig语句,代码如图示。

删除数据核心代码图
获取列表
通过请求的参数获取列表数据,代码如图所示。

获取列表核心代码图
图片上传
通过请求的参数获取列表数据,代码如图所示。

图片上传核心代码图
免费领取项目源码,请关注❥点赞收藏并私信博主,谢谢~
1056

被折叠的 条评论
为什么被折叠?



