摘要
本论文基于Servlet技术,设计与实现了一套职称评审系统。该系统旨在解决传统的纸质评审流程繁琐、效率低下的问题,提供一个高效、便捷的在线评审平台。通过使用Java Servlet作为核心技术,搭建了系统的前后端交互框架,并结合数据库存储和权限控制等功能,实现了职称评审全流程的管理。
在系统设计方面,采用了MVC架构模式,将业务逻辑与数据展示进行分离。前端界面采用HTML、B/S和JavaScript等技术实现,通过与Servlet进行交互,实现用户注册、登录、个人信息管理等功能。后端利用Servlet处理用户请求,根据不同角色的权限,进行评审申请的提交、审核、评定等操作,并提供结果的反馈。同时,引入数据库进行数据的持久化存储,保证数据的安全性和可靠性。
通过系统实现与测试,验证了该职称评审系统的可行性和有效性。相比传统的纸质评审流程,该系统能够大幅提升评审效率,减少人力资源和物料的浪费。同时,系统具备较好的扩展性和灵活性,可以根据需要进行功能模块的增删改,满足不同评审需求的定制化要求。
综上所述,本论文基于Servlet技术设计与实现了一套职称评审系统,该系统通过提供在线评审平台,解决了传统纸质评审流程繁琐、效率低下的问题。通过实际应用与测试,验证了系统的可行性和有效性,为职称评审提供了一种高效、便捷的解决方案。
关键词:servlet框架;职称评审;系统设计
Abstract
This paper designs and implements a professional title evaluation system based on Servlet technology. This system aims to solve the problems of traditional paper-based review processes being cumbersome and inefficient, and provide an efficient and convenient online review platform. By using Java Servlet as the core technology, a front-end and back-end interaction framework of the system was built, and combined with functions such as database storage and permission control, the entire process of professional title evaluation was managed.
In terms of system design, the MVC architecture pattern was adopted to separate business logic from data presentation. The front-end interface is implemented using technologies such as HTML, B/S, and JavaScript, and interacts with Servlets to achieve functions such as user registration, login, and personal information management. The backend uses Servlets to process user requests, submit, review, and evaluate evaluation requests based on the permissions of different roles, and provide feedback on the results. At the same time, introducing databases for persistent storage of data ensures the security and reliability of the data.
The feasibility and effectiveness of the professional title evaluation system have been verified through system implementation and testing. Compared to traditional paper-based review processes, this system can significantly improve review efficiency and reduce waste of human resources and materials. At the same time, the system has good scalability and flexibility, and can add, delete, and modify functional modules as needed to meet customized requirements for different evaluation needs.
In summary, this paper designs and implements a professional title evaluation system based on Servlet technology. By providing an online evaluation platform, the system solves the problems of traditional paper-based evaluation processes being cumbersome and inefficient. Through practical application and testing, the feasibility and effectiveness of the system have been verified, providing an efficient and convenient solution for professional title evaluation.
Keywords: Servlet framework; Professional title evaluation; system design
1 绪论
1.1 选题背景与意义
职称评审是一项重要的人事管理活动,用于评价和认定个人在专业领域的职称水平。然而,传统的纸质评审流程存在诸多问题,如时间成本高、流程繁琐、信息不便获取等,限制了评审效率和准确性。因此,设计与实现基于Servlet的职称评审系统成为一项具有迫切需求的任务。
基于Servlet的职称评审系统的设计与实现具有重要的意义。首先,该系统可以提高评审流程的效率和准确性。通过在线平台,评审申请人可以方便地提交申请材料,评审专家可以快速访问和评估申请材料,从而大大缩短了评审周期,提高了评审效率。其次,系统可以提供统一的标准和规范,减少评审过程中的主观因素,增加评审结果的客观性和公正性。此外,系统还能够记录评审过程中的数据,为后续的数据分析和评估提供依据,促进评审工作的持续改进。
另外,该系统还可以提升评审工作的信息化水平。通过在线平台,评审申请人可以随时随地访问系统,了解评审进度和结果反馈。同时,系统可以集成权限控制和数据安全机制,保护评审信息的机密性和完整性。此外,系统还可以提供可视化的报表和统计功能,帮助管理者进行评审工作的监控和决策。
综上所述,基于Servlet的职称评审系统的设计与实现对于提高评审效率、准确性和信息化水平具有重要的意义。通过引入在线平台和自动化流程,该系统能够优化评审流程,提供公正客观的评审结果,并提供便捷的信息访问和管理功能。这将促进人事管理的科学化和规范化,提升评审工作的质量和效能。
在中国,随着信息技术的快速发展和电子政务的推进,基于Servlet的职称评审系统的研究逐渐受到重视。学者们通过借鉴Web开发技术和数据库管理等知识,设计和实现了一些职称评审系统的原型。这些系统主要关注评审流程的自动化和规范化,提供在线提交申请、专家评审、结果反馈等功能。一些研究还结合数据分析和决策支持等技术,提出了评审结果的可视化和统计分析方法。
在国外,职称评审系统的研究和实践也取得了一定的进展。一些发达国家和地区利用Servlet技术和相关框架,设计和实现了在线评审平台。这些系统通过集成用户注册、登录、材料上传、评审流程管理等功能,优化了评审过程的效率和准确性。此外,一些研究还关注于评审结果的分析和评估,以提供决策支持和质量改进的依据。
综合来看,国内外对基于Servlet的职称评审系统的设计与实现的研究主要集中在以下几个方面:评审流程的自动化和规范化、在线申请和材料管理、专家评审和结果反馈、数据分析和决策支持等。这些研究成果为基于Servlet的职称评审系统的设计与实现提供了宝贵的经验和参考,为该领域的进一步发展奠定了基础。然而,仍有很多问题需要解决,如安全性和隐私保护、多维度评估和量化指标等,这为未来的研究提供了广阔的空间和挑战。
论文将分层次经行编排,除去论文摘要致谢文献参考部分,正文部分还会对系统需求做出分析,以及阐述大体的设计和实现的功能,最后罗列部分调测记录,论文主要架构如下:
第一章:引言。第一章主要介绍了课题研究的背景和意义,系统开发的国内外研究现状和本文的研究内容与主要工作。
第二章:系统需求分析。主要从系统的用户、功能等方面进行需求分析。
第三章:系统设计。主要对系统框架、系统功能模块、数据库进行功能设计。
第四章:系统实现。主要介绍了系统框架搭建、系统界面的实现。
第五章:系统测试。主要对系统的部分界面进行测试并对主要功能进行测试
2系统分析
系统分析是开发一个项目的先决条件,通过系统分析可以很好的了解系统的主体用户的基本需求情况,同时这也是项目的开发的原因。进而对系统开发进行可行性分析,通常包括技术可行性、经济可行性等,可行性分析同时也是从项目整体角度进行的分析。然后就是对项目的具体需求进行分析,分析的手段一般都是通过用户的用例图来实现。接下来会进行详细的介绍。
2.1 可行性分析
经济可行性在此仅代表平台的运维成本,开发成本不在此考虑。
目前该模式下的相关系统的数量日益增多,信息管理系统的平民化、普及化使用户人数呈上升趋势,当用户人数庞大了,运维成本可以由广告费进行填补,包括开发成本。
所以经济可行性没有问题。
(2)操作可行性:
此次项目设计参考了几个该模式下平台的开发案例,对他们的操作界面分析,将众多案例结合在一起,突出以人为本简化操作,所以具有基本计算机知识的人都会操作本项目。
因此操作可行性也没有问题。
(3)技术可行性:
技术可行性指的是对于搭建框架的可行性,以及有更优秀的技术出现时系统的技术更新换代的纳新性如何,开发时间成本费用比如何。
现有的JAVA语言能够迎合所有系统的搭建。开发这个人才库资源管理系统的时候我采用了JAVA+servlet用以运行整体程序。
综上所述技术可行性也没有问题。
2.2.1系统开发流程
基于servlet的职称评审系统开发时,首先进行需求分析,进而对系统进行总体的设计规划,设计系统功能模块,数据库的选择等,本系统的开发流程如图2-1所示。

图2-1系统开发流程图
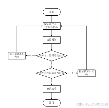
2.2.2 用户登录流程
为了保证系统的安全性,要使用本系统对系统信息进行管理,必须先登陆到系统中。如图2-2所示。

图2-2 登录流程图
2.2.3 系统操作流程
用户打开并进入系统后,会先显示登录界面,输入正确的用户名和密码,系统自动检测信息,若信息无误,则用户会进入系统功能界面,进行操作,否则会提示错误无法登录,操作流程如图2-3所示。

图2-3 系统操作流程图
2.2.4 添加信息流程
管理员可以对通知公告、申报信息等进行信息的添加,用户可以对自己权限内的信息进行添加,输入信息后,系统会自行验证输入的信息和数据,若信息正确,会将其添加到数据库内,若信息有误,则会提示重新输入信息,添加信息流程如图2-4所示。

图2-4 添加信息流程图
2.2.5 修改信息流程
管理员可以对通知公告、申报信息等进行的修改,用户可以对自己权限内的信息进行修改,首先进入修改信息界面,输入修改信息数据,系统进行数据的判断验证,修改信息合法则修改成功,信息更新至数据库,信息不合法则修改失败,重新输入。修改信息流程图如图2-5所示。

图2-5 修改信息流程图
2.2.6 删除信息流程
管理员可以对通知公告、申报信息等进行信息的删除,对要删除的信息进行选中后,点击删除按钮,系统会询问是否确定,若点击确定,则系统会删除掉选中的信息,并在数据库内对信息进行删除,删除信息流程图如图2-6所示。

图2-6 删除信息流程图
2.3 系统功能分析
按照基于servlet的职称评审系统的角色,我划分为了申报人员模块、评审人员模块和管理员模块这三大部分。
1.管理员功能需求:
主页:管理员登录后能够查看系统的总体概况和重要统计数据,方便监控系统运行情况。
个人信息:管理员可以查看和修改个人信息,如姓名、联系方式等。
修改密码:管理员可以修改登录密码,确保账号安全。
用户管理:管理员可以管理系统中的用户账号,包括添加新用户、编辑用户信息、删除用户等操作。
权限管理:管理员可以设置不同用户角色的权限,控制其在系统中的操作范围。
通知公告:管理员可以发布系统通知和公告,以便及时向用户传达重要信息。
申报信息:管理员可以查看和管理职称评审的申报信息,包括查看申报进度、审核材料、处理申报结果等操作。
退出:管理员可以安全退出系统。
2.申报人员功能需求:
主页:申报人员登录后能够查看个人的申报状态和相关提示信息。
个人信息:申报人员可以查看和修改个人信息,如姓名、职务、联系方式等。
修改密码:申报人员可以修改登录密码,确保账号安全。
通知公告:申报人员可以查看系统发布的通知和公告,了解评审相关信息。
申报信息:申报人员可以填写和提交职称评审申报材料,包括个人履历、科研成果等。
退出:申报人员可以安全退出系统。
3.评审人员功能需求:
主页:评审人员登录后能够查看个人的评审任务和评审进度。
个人信息:评审人员可以查看和修改个人信息,如姓名、专业领域、联系方式等。
修改密码:评审人员可以修改登录密码,确保账号安全。
通知公告:评审人员可以查看系统发布的通知和公告,了解评审相关信息。
申报信息:评审人员可以查看待评审的申报信息,包括申报材料、评审标准等。
退出:评审人员可以安全退出系统。
以上是基于Servlet的职称评审系统中管理员、申报人员和评审人员的功能需求分析。通过满足不同用户角色的功能需求,系统能够提供便捷、高效的职称评审管理服务,并确保各用户角色在系统中的合理权限和操作范围。
基于servlet的职称评审系统的非功能性需求比如平台的安全性怎么样,可靠性怎么样,性能怎么样,可拓展性怎么样等。具体可以表示在如下2-1表格中:
表2-1基于servlet的职称评审系统非功能需求表
| 安全性 | 主要指基于servlet的职称评审系统数据库的安装,数据库的使用和密码的设定必须合乎规范。 |
| 可靠性 | 可靠性是指基于servlet的职称评审系统能够安装用户的指示进行操作,经过测试,可靠性90%以上。 |
| 性能 | 性能是影响基于servlet的职称评审系统占据市场的必要条件,所以性能最好要佳才好。 |
| 可扩展性 | 比如数据库预留多个属性,比如接口的使用等确保了系统的非功能性需求。 |
| 易用性 | 用户只要跟着基于servlet的职称评审系统的页面展示内容进行操作,就可以了。 |
| 可维护性 | 基于servlet的职称评审系统开发的可维护性是非常重要的,经过测试,可维护性没有问题 |
2.4 系统用例分析
通过2.3功能的分析,得出了系统的用例图:
申报人员角色用例如图2-7所示。

图2-7人才用户角色用例图
评审人员角色用例如图2-8所示。

图2-8评审人员角色用例图
管理员是维护整个基于servlet的职称评审系统中所有数据信息的。管理员角色用例如图2-9所示。

本章主要通过对基于servlet的职称评审系统的可行性分析、流程分析、功能需求分析、系统用例分析,确定整个系统要实现的功能。同时也为系统的代码实现和测试提供了标准。
3 系统总体设计
3.1 系统架构设计
本系统从架构上分为三层:表现层(UI)、业务逻辑层(BLL)以及数据层(DL)。

图3-1系统架构设计图
表现层(UI):又称UI层,主要完成本系统的UI交互功能,一个良好的UI可以打打提高用户的用户体验,增强用户使用本系统时的舒适度。UI的界面设计也要适应不同版本的人才库资源管理系统以及不同尺寸的分辨率,以做到良好的兼容性。UI交互功能要求合理,用户进行交互操作时必须要得到与之相符的交互结果,这就要求表现层要与业务逻辑层进行良好的对接。
业务逻辑层(BLL):主要完成本系统的数据处理功能。用户从表现层传输过来的数据经过业务逻辑层进行处理交付给数据层,系统从数据层读取的数据经过业务逻辑层进行处理交付给表现层。
数据层(DL):由于本系统的数据是放在服务端的mysql数据库中,因此本属于服务层的部分可以直接整合在业务逻辑层中,所以数据层中只有数据库,其主要完成本系统的数据存储和管理功能。
3.2 系统功能模块设计
在上一章节中主要对系统的功能性需求和非功能性需求进行分析,并且根据需求分析了本系统中的用例。那么接下来就要开始对本系统的架构、主要功能和数据库开始进行设计。基于servlet的职称评审系统根据前面章节的需求分析得出,其总体设计模块图如图3-2所示。

图3-2系统功能模块图
数据库设计一般包括需求分析、概念模型设计、数据库表建立三大过程,其中需求分析前面章节已经阐述,概念模型设计有概念模型和逻辑结构设计两部分。
3.3.1 数据库概念结构设计
下面是整个基于servlet的职称评审系统中主要的数据库表总E-R实体关系图。

图3-3 基于servlet的职称评审系统总E-R关系图
通过上一小节中基于servlet的职称评审系统中总E-R关系图上得出一共需要创建很多个数据表。在此我主要罗列几个主要的数据库表结构设计。
| 编号 | 名称 | 数据类型 | 长度 | 小数位 | 允许空值 | 主键 | 默认值 | 说明 |
| 1 | token_id | int | 10 | 0 | N | Y | 临时访问牌ID | |
| 2 | token | varchar | 64 | 0 | Y | N | 临时访问牌 | |
| 3 | info | text | 65535 | 0 | Y | N | ||
| 4 | maxage | int | 10 | 0 | N | N | 2 | 最大寿命:默认2小时 |
| 5 | create_time | timestamp | 19 | 0 | N | N | CURRENT_TIMESTAMP | 创建时间: |
| 6 | update_time | timestamp | 19 | 0 | N | N | CURRENT_TIMESTAMP | 更新时间: |
| 7 | user_id | int | 10 | 0 | N | N | 0 | 用户编号: |
| 编号 | 名称 | 数据类型 | 长度 | 小数位 | 允许空值 | 主键 | 默认值 | 说明 |
| 1 | assessor_id | int | 10 | 0 | N | Y | 评审人员ID | |
| 2 | user_name | varchar | 64 | 0 | Y | N | 用户姓名 | |
| 3 | user_gender | varchar | 64 | 0 | Y | N | 用户性别 | |
| 4 | contact_phone_number | varchar | 16 | 0 | Y | N | 联系电话 | |
| 5 | examine_state | varchar | 16 | 0 | N | N | 已通过 | 审核状态 |
| 6 | user_id | int | 10 | 0 | N | N | 0 | 用户ID |
| 7 | create_time | datetime | 19 | 0 | N | N | CURRENT_TIMESTAMP | 创建时间 |
| 8 | update_time | timestamp | 19 | 0 | N | N | CURRENT_TIMESTAMP | 更新时间 |
| 编号 | 名称 | 数据类型 | 长度 | 小数位 | 允许空值 | 主键 | 默认值 | 说明 |
| 1 | auth_id | int | 10 | 0 | N | Y | 授权ID: | |
| 2 | user_group | varchar | 64 | 0 | Y | N | 用户组: | |
| 3 | mod_name | varchar | 64 | 0 | Y | N | 模块名: | |
| 4 | table_name | varchar | 64 | 0 | Y | N | 表名: | |
| 5 | page_title | varchar | 255 | 0 | Y | N | 页面标题: | |
| 6 | path | varchar | 255 | 0 | Y | N | 路由路径: | |
| 7 | position | varchar | 32 | 0 | Y | N | 位置: | |
| 8 | mode | varchar | 32 | 0 | N | N | _blank | 跳转方式: |
| 9 | add | tinyint | 3 | 0 | N | N | 1 | 是否可增加: |
| 10 | del | tinyint | 3 | 0 | N | N | 1 | 是否可删除: |
| 11 | set | tinyint | 3 | 0 | N | N | 1 | 是否可修改: |
| 12 | get | tinyint | 3 | 0 | N | N | 1 | 是否可查看: |
| 13 | field_add | text | 65535 | 0 | Y | N | 添加字段: | |
| 14 | field_set | text | 65535 | 0 | Y | N | 修改字段: | |
| 15 | field_get | text | 65535 | 0 | Y | N | 查询字段: | |
| 16 | table_nav_name | varchar | 500 | 0 | Y | N | 跨表导航名称: | |
| 17 | table_nav | varchar | 500 | 0 | Y | N | 跨表导航: | |
| 18 | option | text | 65535 | 0 | Y | N | 配置: | |
| 19 | create_time | timestamp | 19 | 0 | N | N | CURRENT_TIMESTAMP | 创建时间: |
| 20 | update_time | timestamp | 19 | 0 | N | N | CURRENT_TIMESTAMP | 更新时间: |
表declaration_information (申报信息)
| 编号 | 名称 | 数据类型 | 长度 | 小数位 | 允许空值 | 主键 | 默认值 | 说明 |
| 1 | declaration_information_id | int | 10 | 0 | N | Y | 申报信息ID | |
| 2 | user_information | int | 10 | 0 | Y | N | 0 | 用户信息 |
| 3 | user_name | varchar | 64 | 0 | Y | N | 用户姓名 | |
| 4 | user_gender | varchar | 64 | 0 | Y | N | 用户性别 | |
| 5 | contact_phone_number | varchar | 64 | 0 | Y | N | 联系电话 | |
| 6 | supporting_materials | varchar | 255 | 0 | Y | N | 支撑材料 | |
| 7 | declaration_content | text | 65535 | 0 | Y | N | 申报内容 | |
| 8 | review_status | varchar | 64 | 0 | Y | N | 评审状态 | |
| 9 | review_comments | text | 65535 | 0 | Y | N | 评审意见 | |
| 10 | create_time | datetime | 19 | 0 | N | N | CURRENT_TIMESTAMP | 创建时间 |
| 11 | update_time | timestamp | 19 | 0 | N | N | CURRENT_TIMESTAMP | 更新时间 |
| 编号 | 名称 | 数据类型 | 长度 | 小数位 | 允许空值 | 主键 | 默认值 | 说明 |
| 1 | declaration_personnel_id | int | 10 | 0 | N | Y | 申报人员ID | |
| 2 | user_name | varchar | 64 | 0 | Y | N | 用户姓名 | |
| 3 | user_gender | varchar | 64 | 0 | Y | N | 用户性别 | |
| 4 | contact_phone_number | varchar | 16 | 0 | Y | N | 联系电话 | |
| 5 | examine_state | varchar | 16 | 0 | N | N | 已通过 | 审核状态 |
| 6 | user_id | int | 10 | 0 | N | N | 0 | 用户ID |
| 7 | create_time | datetime | 19 | 0 | N | N | CURRENT_TIMESTAMP | 创建时间 |
| 8 | update_time | timestamp | 19 | 0 | N | N | CURRENT_TIMESTAMP | 更新时间 |
| 编号 | 名称 | 数据类型 | 长度 | 小数位 | 允许空值 | 主键 | 默认值 | 说明 |
| 1 | hits_id | int | 10 | 0 | N | Y | 点赞ID: | |
| 2 | user_id | int | 10 | 0 | N | N | 0 | 点赞人: |
| 3 | create_time | timestamp | 19 | 0 | N | N | CURRENT_TIMESTAMP | 创建时间: |
| 4 | update_time | timestamp | 19 | 0 | N | N | CURRENT_TIMESTAMP | 更新时间: |
| 5 | source_table | varchar | 255 | 0 | Y | N | 来源表: | |
| 6 | source_field | varchar | 255 | 0 | Y | N | 来源字段: | |
| 7 | source_id | int | 10 | 0 | N | N | 0 | 来源ID: |
表notification_announcement (通知公告)
| 编号 | 名称 | 数据类型 | 长度 | 小数位 | 允许空值 | 主键 | 默认值 | 说明 |
| 1 | notification_announcement_id | int | 10 | 0 | N | Y | 通知公告ID | |
| 2 | announcement_number | varchar | 64 | 0 | Y | N | 公告编号 | |
| 3 | announcement_title | varchar | 64 | 0 | Y | N | 公告标题 | |
| 4 | announcement_date | date | 10 | 0 | Y | N | 公告日期 | |
| 5 | announcement_image | varchar | 255 | 0 | Y | N | 公告图片 | |
| 6 | announcement_content | text | 65535 | 0 | Y | N | 公告内容 | |
| 7 | create_time | datetime | 19 | 0 | N | N | CURRENT_TIMESTAMP | 创建时间 |
| 8 | update_time | timestamp | 19 | 0 | N | N | CURRENT_TIMESTAMP | 更新时间 |
| 编号 | 名称 | 数据类型 | 长度 | 小数位 | 允许空值 | 主键 | 默认值 | 说明 |
| 1 | upload_id | int | 10 | 0 | N | Y | 上传ID | |
| 2 | name | varchar | 64 | 0 | Y | N | 文件名 | |
| 3 | path | varchar | 255 | 0 | Y | N | 访问路径 | |
| 4 | file | varchar | 255 | 0 | Y | N | 文件路径 | |
| 5 | display | varchar | 255 | 0 | Y | N | 显示顺序 | |
| 6 | father_id | int | 10 | 0 | Y | N | 0 | 父级ID |
| 7 | dir | varchar | 255 | 0 | Y | N | 文件夹 | |
| 8 | type | varchar | 32 | 0 | Y | N | 文件类型 |
| 编号 | 名称 | 数据类型 | 长度 | 小数位 | 允许空值 | 主键 | 默认值 | 说明 |
| 1 | user_id | mediumint | 8 | 0 | N | Y | 用户ID:[0,8388607]用户获取其他与用户相关的数据 | |
| 2 | state | smallint | 5 | 0 | N | N | 1 | 账户状态:[0,10](1可用|2异常|3已冻结|4已注销) |
| 3 | user_group | varchar | 32 | 0 | Y | N | 所在用户组:[0,32767]决定用户身份和权限 | |
| 4 | login_time | timestamp | 19 | 0 | N | N | CURRENT_TIMESTAMP | 上次登录时间: |
| 5 | phone | varchar | 11 | 0 | Y | N | 手机号码:[0,11]用户的手机号码,用于找回密码时或登录时 | |
| 6 | phone_state | smallint | 5 | 0 | N | N | 0 | 手机认证:[0,1](0未认证|1审核中|2已认证) |
| 7 | username | varchar | 16 | 0 | N | N | 用户名:[0,16]用户登录时所用的账户名称 | |
| 8 | nickname | varchar | 16 | 0 | Y | N | 昵称:[0,16] | |
| 9 | password | varchar | 64 | 0 | N | N | 密码:[0,32]用户登录所需的密码,由6-16位数字或英文组成 | |
| 10 | | varchar | 64 | 0 | Y | N | 邮箱:[0,64]用户的邮箱,用于找回密码时或登录时 | |
| 11 | email_state | smallint | 5 | 0 | N | N | 0 | 邮箱认证:[0,1](0未认证|1审核中|2已认证) |
| 12 | avatar | varchar | 255 | 0 | Y | N | 头像地址:[0,255] | |
| 13 | open_id | varchar | 255 | 0 | Y | N | 针对获取用户信息字段 | |
| 14 | create_time | timestamp | 19 | 0 | N | N | CURRENT_TIMESTAMP | 创建时间: |
| 15 | vip_level | varchar | 255 | 0 | Y | N | 会员等级 | |
| 16 | vip_discount | double | 11 | 2 | Y | N | 0.00 | 会员折扣 |
| 编号 | 名称 | 数据类型 | 长度 | 小数位 | 允许空值 | 主键 | 默认值 | 说明 |
| 1 | group_id | mediumint | 8 | 0 | N | Y | 用户组ID:[0,8388607] | |
| 2 | display | smallint | 5 | 0 | N | N | 100 | 显示顺序:[0,1000] |
| 3 | name | varchar | 16 | 0 | N | N | 名称:[0,16] | |
| 4 | description | varchar | 255 | 0 | Y | N | 描述:[0,255]描述该用户组的特点或权限范围 | |
| 5 | source_table | varchar | 255 | 0 | Y | N | 来源表: | |
| 6 | source_field | varchar | 255 | 0 | Y | N | 来源字段: | |
| 7 | source_id | int | 10 | 0 | N | N | 0 | 来源ID: |
| 8 | register | smallint | 5 | 0 | Y | N | 0 | 注册位置: |
| 9 | create_time | timestamp | 19 | 0 | N | N | CURRENT_TIMESTAMP | 创建时间: |
| 10 | update_time | timestamp | 19 | 0 | N | N | CURRENT_TIMESTAMP | 更新时间: |
整个基于servlet的职称评审系统的需求分析主要对系统总体架构以及功能模块的设计,通过建立E-R模型和数据库逻辑系统设计完成了数据库系统设计。
4系统关键模块设计与实现
基于servlet的职称评审系统的详细设计与实现主要是根据前面的需求分析和总体设计来设计页面并实现业务逻辑。主要从界面实现、业务逻辑实现这两部分进行介绍。
4.1登录模块
管理员、用户在登录界面输入账号+密码,完成验证,点击“登录”按钮,系统在用户数据库表中会对管理员、用户的账号进行匹配,账号+密码正确的话,就会登录到系统中各个用户的主管理界面,否则提示对应的信息,返回到登录的界面,其主界面展示如下图4.1所示。

图4.1 登录界面图
4.2注册模块
注册模块满足用户两部分,当用户想要查询处理相关信息时,就必须进行登录,如果没有账号的话,在登录界面,点击“注册”按钮就会跳转到注册的界面,根据提示填写好注册信息,添加提交,注册的信息在数据库中就添加完成了,然后再输入填写好的账号和密码进行登录,其主界面展示如下图所示。

图4.2 注册界面图
4.3主页模块
用户使用该系统注册登陆完成后,进入系统主页,可以查看系统的导航栏和重要统计数据。

图4.3 系统首页界面图
4.4用户管理模块
管理员可以对系统中所有的用户角色进行管控,包含了管理员、申报人员、评审人员三种角色,如果需要添加新的用户,点击页面中的“添加”按钮根据提示输入上用户信息,点击“提交”以后在对应的用户界面就可以查看到了,可以点击用户后面的“删除”按钮直接删除某一用户。界面如下图所示。

图4.4 用户管理界面图
4.5通知公告模块
点击“通知公告”菜单按钮,管理员可以对通知公告进行增删改查等操作,申报人员和评审人员可以查看系统发布的通知公告,了解评审相关信息。界面如下图所示。

图4.5通知公告列表界面图
4.6申报信息模块
点击“申报信息”菜单按钮,管理员可以查看和管理职称评审的申报信息,包括查看申报进度、审核材料、处理申报结果等操作。申报人员可以填写和提交职称评审申报材料,包括支撑材料、申报内容等。评审人员可以评审待评审的申报信息,并给出评审意见。界面如下图所示。

图4.6 管理员申报信息界面图

图4.7申报人员提交申报信息界面图

图4.8 评审人员评审申报信息界面图
4.7权限管理模块
点击“权限管理”菜单按钮,管理员可以设置和修改不同用户角色的权限,控制其在系统中的操作范围。界面如下图所示。

图4.9权限管理界面图
5系统测试
系统开发到了最后一个阶段那就是系统测试,系统测试对软件的开发其实是非常有必要的。因为没什么系统一经开发出来就可能会尽善尽美,再厉害的系统开发工程师也会在系统开发的时候出现纰漏,系统测试能够较好的改正一些bug,为后期系统的维护性提供很好的支持。通过系统测试,开发人员也可以建立自己对系统的信心,为后期的系统版本的跟新提供支持。
5.2 系统测试用例
系统测试包括:用户登录功能测试、通知公告展示功能测试、通知公告添加、通知公告搜索、密码修改功能测试,如表5-1、5-2、5-3、5-4、5-5所示:
表5-1 用户登录功能测试表
| 用例名称 | 用户登录系统 |
| 目的 | 测试用户通过正确的用户名和密码可否登录功能 |
| 前提 | 未登录的情况下 |
| 测试流程 | 1) 进入登录页面 2) 输入正确的用户名和密码 |
| 预期结果 | 用户名和密码正确的时候,跳转到登录成功界面,反之则显示错误信息,提示重新输入 |
| 实际结果 | 实际结果与预期结果一致 |
通知公告查看功能测试:
表5-2通知公告查看功能测试表
| 用例名称 | 通知公告查看 |
| 目的 | 测试通知公告查看功能 |
| 前提 | 用户登录 |
| 测试流程 | 点击通知公告列表 |
| 预期结果 | 可以查看到所有通知公告 |
| 实际结果 | 实际结果与预期结果一致 |
管理员添加通知公告界面测试:
表5-3 管理员添加通知公告界面测试表
| 用例名称 | 通知公告添加测试用例 |
| 目的 | 测试通知公告添加功能 |
| 前提 | 管理员正常登录情况下 |
| 测试流程 | 1)管理员点击通知公告,点击添加后并填写信息。 2)点击进行提交。 |
| 预期结果 | 提交以后,页面首页会显示新的通知公告 |
| 实际结果 | 实际结果与预期结果一致 |
通知公告搜索功能测试:
表5-4通知公告搜索功能测试表
| 用例名称 | 通知公告搜索测试 |
| 目的 | 测试通知公告搜索功能 |
| 前提 | 无 |
| 测试流程 | 1)在搜索框填入搜索关键字。 2)点击搜索按钮。 |
| 预期结果 | 页面显示包含有搜索关键字的人才信息 |
| 实际结果 | 实际结果与预期结果一致 |
密码修改功能测试:
表5-5 密码修改功能测试表
| 用例名称 | 密码修改测试用例 |
| 目的 | 测试管理员密码修改功能 |
| 前提 | 管理员用户正常登录情况下 |
| 测试流程 | 1)管理员密码修改并完成填写。 2)点击进行提交。 |
| 预期结果 | 使用新的密码可以登录 |
| 实际结果 | 实际结果与预期结果一致 |
5.3 系统测试结果
通过编写基于servlet的职称评审系统的测试用例,已经检测完毕用户登录模块、通知公告查看模块、通知公告添加模块、通知公告搜索模块、密码修改功能测试,通过这5大模块为基于servlet的职称评审系统的后期推广运营提供了强力的技术支撑。
结论
至此,基于servlet的职称评审系统已经结束,在开发前做了许多的准备,在本系统的设计和开发过程中阅览和学习了许多文献资料,从中我也收获了很多宝贵的方法和设计思路,对系统的开发也起到了很重要的作用,系统的开发技术选用的都是自己比较熟悉的,比如Web、JAVA语言、MYSQL,这些技术都是在以前的学习中学到了,其中许多的设计思路和方法都是在以前不断地学习中摸索出来的经验,其实对于我们来说工作量还是比较大的,但是正是由于之前的积累与准备,才能顺利的完成这个项目,由此看来,积累经验跟做好准备是十分重要的事情。
当然在该系统的设计与实现的过程中也离不开老师以及同学们的帮助,正是因为他们的指导与帮助,我才能够成功的在预期内完成了这个系统。同时在这个过程当中我也收获了很多东西,此系统也有需要改进的地方,但是由于专业知识的浅薄,并不能做到十分完美,希望以后有机会可以让其真正的投入到使用之中。
[1]缪妙,薛梅青,张金翔.基于JavaWeb的高校教师发展与职称评审系统的设计与应用[J].现代信息科技,2024,8(03):5-10+16.DOI:10.19850/j.cnki.2096-4706.2024.03.002.
[2]程冠维.基于区块链MPT索引优化的职称申报评审系统的研究与实现[D].南昌大学,2023.DOI:10.27232/d.cnki.gnchu.2023.003101.
[3]兰良程.福建省技术经纪专业职称评审管理系统研究与设计[J].海峡科学,2023,(01):75-80.
[4]胡素莎.基于ERP系统的企业职称评审信息化探究[J].现代企业文化,2023,(03):121-123.
[5]王玲玲.基于JSP/Servlet技术的电商平台开发技术分析[J].电子技术与软件工程,2023,(02):239-242.
[6]潘银洁,焦海涛,朱晓敏.基于数据共享的智能职称评审管理系统的研究与应用[J].中国煤炭工业,2022,(12):38-39.
[7]李喜顺.基于教师个人信息中心的职称评审系统的设计[J].信息与电脑(理论版),2022,34(23):141-143.
[8]张思佳.职称评审信息系统建设和应用探析[J].中国人才,2022,(06):54-55.
[9]谢利敏,刘欢,柴立岩.专业技术职务评审系统设计与实现[J].无线互联科技,2022,19(01):50-51.
[10]高雪桃,高培唐,王仁祥.专业技术职称信息化管理平台建设的探索与实践[J].中国管理信息化,2022,25(01):198-202.
[11]张忠孝,李双远,丁勤.基于Web的高校职称评审投票系统的设计与实现[J].吉林化工学院学报,2021,38(07):29-35.DOI:10.16039/j.cnki.cn22-1249.2021.07.007.
[12]赵小龙.基于Hadoop云平台的SSM框架在线动态职称评审系统的研究与实现[J].西安文理学院学报(自然科学版),2020,23(04):27-31.
[13]齐永奇,刘硕.高校职称评定量化管理系统的设计与实现[J].软件,2020,41(06):68-70.
[14]傅琼琼,吴晓东,冯燕等.基于信息化的卫生系列高级专业技术职称评审系统建设[J].中国卫生资源,2020,23(03):279-281.DOI:10.13688/j.cnki.chr.2020.20321.
[15]徐金华.高职院校职称评审系统的需求分析与功能设计[J].江汉石油职工大学学报,2020,33(03):79-81.
[16]李红想,王硕,郭凯娇等.国有企业高级职称评审信息化系统的应用研究[J].营销界,2019,(48):50+59.
[17]韩雪平.高校职称评审管理系统的研究与设计[J].信息与电脑(理论版),2019,31(22):74-76.
[18]Aliga P ,Longe O ,Onianwa C .Java Servlet technologies: Issues and challenges for IT Developers[J].Information Technologist (The),2006,3(2):88-96.
[19]Wang J ,Li S ,Zhu Y .Research and development of web oriented remote sensing image publication system based on Servlet technique[J].Institute of Geographical Sciences and Natural Resources Research (China),2005,597859781T-59781T-8.
[20]Juanle W ,Shuang L ,Yunqiang Z .Research and development of web oriented remote sensing image publication system based on Servlet technique[C]//[出版者不详],2005:
转眼间,大学生用户活便已经接近尾声,人面对着离别与结束,总是充满着不舍与茫然,我亦如此,仍记得那年秋天,我迫不及待的提前一天到了学校,面对学校巍峨的大门,我心里充满了期待:这里,就是我新生活的起点吗?那天,阳光明媚,学校的欢迎仪式很热烈,我面对着一个个对着我微笑的同学,仿佛一缕缕阳光透过胸口照进了我心里,同时,在那天我认识可爱的室友,我们携手共同度过了这难忘的两年。如今,我望着这篇论文的致谢,不禁又要问自己:现在,我们就要说再见了吗?
感慨莫名,不知所言。遥想当初刚来学校的时候,心里总是想着工科学校会过于板正,会缺乏一些柔情,当时心里甚至有一点点排斥,但是随着我对学校的慢慢认识与了解,我才认识到了她的美丽,她的柔情,并且慢慢的喜欢上了这个校园,但是时间太快了,快到我还没有好好体会她的美丽便要离开了,但是她带给我的回忆,永远不会离开我,也许真正离开那天我的眼里会满含泪水,我不是因为难过,我只是想将她的样子映在我的泪水里,刻在我的心里。最后,感谢我的老师们,是你们教授了我们知识与做人的道理;感谢我的室友们,是你们陪伴了我如此之久;感谢每位关心与支持我的人。
少年,追风赶月莫停留,平荒尽处是春山。
免费领取项目源码,请关注❥点赞收藏并私信博主,谢谢~
1063

被折叠的 条评论
为什么被折叠?



