摘 要
随着现代信息技术的快速发展以及企业规模不断扩大,实现办公线上流程自动化已成为提升企业核心竞争力的关键。本文主要介绍的是利用Spring、SpringMVC和MyBatis(简称为:SSM)框架,MySQL数据库等先进的互联网开源技术,开发设计实现办公自动化系统。该系统同旨在使企业内部人员能够方便快捷地共享信息,实现高效协同工作。
该系统功能涵盖了公共管理、用户管理、部门信息、职位信息、员工考勤、领导考勤、员工发送、领导发送、会议通知、员工日志、领导日志、员工日程、领导日程、审批事项、审批申请等核心模块,全面满足企业的日常办公需求。通过采用面向对象的开发模式,确保了系统的灵活性和可维护性。同时,系统的技术实现注重稳定性和安全性,采用SSM框架和MySQL数据库,保证了数据的存储和访问效率,确保了系统的稳定运行和数据安全。
此外,该系统还注重用户体验性和操作简便性。界面布局简洁友好,操作流程清晰易懂,使用户能够快速上手并高效使用。同时系统设计也考虑了未来的扩展性,可以方便快捷地集成新的功能模块,适应企业不断变化的需求。
总之,SSM OA办公系统是一个功能全面、技术先进、易于使用、稳定运行并可扩展的办公自动化系统,能够帮助企业实现高效协同办公,提升管理效率以及工作质量。
关键词:OA办公系统; SSM框架;高效协同;面向对象
With the rapid development of modern information technology and the continuous expansion of enterprise scale, achieving automated online office processes has become crucial for enhancing a company's core competitiveness. This article presents the development and design of an office automation system utilizing advanced internet open-source technologies such as the Spring, SpringMVC, and MyBatis frameworks (collectively referred to as SSM) and the MySQL database. The system aims to facilitate quick and convenient information sharing among internal personnel, enabling efficient collaborative work.
The system encompasses core modules such as public management, user management, department information, job positions, employee attendance, leadership attendance, employee communications, leadership communications, meeting notifications, employee logs, leadership logs, employee schedules, leadership schedules, approval matters, and approval requests, comprehensively meeting the daily office needs of enterprises. By employing an object-oriented development approach, the system ensures flexibility and maintainability.
Moreover, the system's technical implementation emphasizes stability and security. Utilizing the SSM framework and MySQL database, it guarantees efficient data storage and access, ensuring the system's stable operation and data security. Additionally, the system prioritizes user experience and ease of operation, with a simple and user-friendly interface layout and clear operational processes that allow users to quickly become proficient and utilize it efficiently. The system design also considers future scalability, allowing seamless integration of new functional modules to adapt to changing enterprise needs.
In conclusion, the SSM OA office automation system is a comprehensive, technologically advanced, easy-to-use, stable, and scalable solution that helps enterprises achieve efficient collaborative office work, enhancing management efficiency and work quality.
Keywords: OA Office System; SSM Framework; Efficient Collaboration; Object-Oriented Programming
目录
随着信息技术的日新月异与企业规模的不断壮大,传统的办公模式已逐渐显露出其局限性,难以满足现代企业对高效、便捷办公方式的迫切需求。在这样一个时代背景下,办公自动化(OA)系统应运而生,成为推动企业现代化管理进程的关键力量。SSM OA办公系统正是在这样的背景下应运而生,它充分利用了Spring、SpringMVC和MyBatis(简称SSM)框架以及MySQL数据库等前沿、开源互联网技术,旨在为企业打造一种创新且高效的办公自动化解决方案。
SSM OA办公系统的研究目的不仅在于提升企业的办公效率,更在于通过优化内部管理流程、辅助科学决策、实现资源合理配置以及降低运营成本等多个方面,全面推动企业的现代化管理进程。通过自动化处理日常办公任务、促进信息共享与协同工作,系统能够显著提升企业的办公效率,使员工能够更专注于创造性工作。同时,系统还能够实时收集和分析业务数据,为领导层提供决策支持,帮助企业更好地把握市场机遇,应对挑战。
综上所述,SSM OA办公系统的研究目的在于通过引入先进的信息化技术,全面推动企业的现代化管理进程,提升企业的办公效率、协同能力、决策水平以及整体竞争力,为企业的持续发展提供有力支持。
1)提高办公效率:通过SSM OA办公系统,企业能够实现办公自动化,从而显著提高办公效率。系统可以优化办公流程,减少重复性劳动,使员工能够更专注于创造性工作,进而提升整体工作效率。
2)降低成本:SSM OA办公系统通过数字化、集中化的方式管理企业文档和资料,减少了纸质文档的使用和存储成本。同时,系统还可以优化人力资源配置,降低人力成本。
3)加强协同与沟通:SSM OA办公系统为企业提供了一个统一的协同工作平台,各部门和员工之间可以实现实时在线协作和交流,打破信息孤岛,提高协同效率。这有助于加强企业内部的团队合作,提升整体执行力。
4)增强安全性:通过权限管理、数据备份等措施,SSM OA办公系统能够保障企业的信息安全,防止信息泄露和数据丢失,从而维护企业的商业利益。
5)提升企业形象:采用SSM OA办公系统可以展示企业的现代化管理形象,提升企业在客户和合作伙伴心中的地位。这有助于增强企业的市场竞争力,为企业的长期发展奠定基础。
综上所述,SSM OA办公系统的研究与应用具有重要的现实意义和长远的发展价值,为企业的持续发展和竞争力提升提供有力支持。
目前,SSM OA办公系统的研发已经取得显著的进展,正逐渐展现出其强大的潜力和广泛的应用前景。该系统采用先进的面向对象开发模式,不仅确保了系统的灵活性和可扩展性,也大幅提升了系统的可维护性,可扩展性。在技术实现上,SSM OA办公系统注重系统的稳定性和安全性,通过采用SSM框架和MySQL数据库等成熟技术,实现了高效的数据存储与访问,确保了系统在各种场景下的稳定运行,同时也保护了企业的数据安全。
然而,随着企业业务的不断发展和技术的持续创新,SSM OA办公系统仍需进一步优化和完善。未来,可以考虑引入人工智能、大数据等先进技术,提升系统的智能化水平,使其能够更精准地理解用户需求,提供更个性化的服务。同时,也需要关注系统的可扩展性和可定制性,以满足不同企业、不同场景的个性化需求。
总的来说,SSM OA办公系统的研发已经取得了显著的成果,但仍需不断创新和完善。随着技术的不断进步和应用场景的不断拓展,我们有理由相信,SSM OA办公系统将为企业提供更加高效、便捷、智能的办公自动化解决方案,推动企业的现代化管理进程。
SSM OA办公系统的功能上涵盖了多个功能模块,以确保系统的稳定、高效和安全运行,并满足企业的实际办公需求。以下是SSM OA办公系统的主要研究内容:
公共管理:此模块负责管理首页轮播图、通知公告、留言板信息。
用户管理:用户管理模块是系统的基础,它负责新增、编辑和删除用户账户,管理用户的权限和角色,确保不同用户只能访问其权限范围内的信息和功能。
部门信息与职位信息:此模块负责管理公司的部门结构,包括部门的创建、修改和删除,以及部门间关系的设置,有助于实现公司内部的信息流通和协同工作,职位信息模块负责管理公司的职位设置,包括职位的创建、修改和删除,以及职位的描述和职责定义,有助于员工明确自己的职责范围。
员工考勤与领导考勤:员工考勤它负责记录员工、领导的上下班情况。
会议通知:会议通知模块负责发布会议信息,包括会议主题、时间、地点和参会人员等,确保相关人员能准时参加会议。
员工日志与领导日志:员工和领导可以通过此模块记录每日的工作内容等,有助于员工自我总结和领导层了解员工的工作情况。
员工日程与领导日程:此模块帮助员工和领导安排和管理工作日程,确保工作的有序进行。
审批事项与审批申请:审批模块允许员工在线提交各类审批申请,领导可以在线审批,大大提高了审批效率。
这些功能模块相互关联,共同构成了SSM OA办公系统的核心功能。通过对这些功能模块的研究和实现,SSM OA办公系统能够为企业提供一套全面、高效、便捷的办公自动化解决方案,助力企业实现现代化管理。同时,随着技术的不断进步和企业需求的变化,SSM OA办公系统还将不断优化和升级,以更好地满足企业的实际需求。
在后端技术方面,系统开发采用了SSM框架,即Spring、SpringMVC和MyBatis的组合。Spring是一个轻量级的控制反转(IoC)和面向切面(AOP)的容器框架,它主要用于简化企业级应用的开发。SpringMVC则是一个基于Java的Web开发框架,它实现了Web MVC设计模式,将Web层进行职责解耦,使得开发更加简便且易于扩展。MyBatis则是一个优秀的持久层框架,它支持自定义SQL、存储过程以及高级映射,避免了几乎所有的JDBC代码和手动设置参数以及获取结果集,可以使用简单的XML或注解来配置和映射原始类型、接口和Java POJO(Plain Old Java Objects,普通的Java对象)为数据库中的记录。
JavaScript(简称“JS”)是一种轻量级的、解释型或即时编译型的编程语言。它最初是为浏览器设计的,用于在网页上添加交互性,使网页内容能够根据用户的操作或其他事件做出动态响应。随着其不断的发展和应用领域的拓宽,JavaScript也已经被广泛用于非浏览器环境,如服务器端编程(如Node.js)等。
JavaScript基于原型编程,并且支持多种编程范式,包括面向对象、命令式、声明式(如函数式编程)等。它采用弱类型的变量类型,对使用的数据类型未做出严格的要求,设计简单紧凑。
JavaScript的主要功能包括:交互式操作、表单验证、网页特效、Web游戏、服务器脚本开发等。它通常是通过嵌入在HTML中来实现这些功能的,使得网页能够为用户提供更流畅美观的浏览效果。
此外,JavaScript还有文档对象模型(DOM)和浏览器对象模型(BOM)两大组成部分。DOM描述了处理网页内容的方法和接口,而BOM则描述了与浏览器进行交互的方法和接口。
总的来说,JavaScript是一种功能强大、灵活且易于学习的编程语言,它在Web开发领域具有举足轻重的地位,并且随着技术的不断进步,其应用领域也在不断扩大。
MySQL是一个开源的关系型数据库管理系统(RDBMS),由MySQL AB公司开发,后被甲骨文收购。它使用C和C++编写,可运行于多种操作系统如Unix、Linux和Windows。MySQL功能强大、简单易用、管理便捷,且运行速度快、可靠安全。它支持多线程和多CPU,能满足多种应用场景的需求。
MySQL提供丰富的数据类型,如数值、日期时间、字符串和二进制等,以及多种存储引擎如InnoDB、MyISAM和MEMORY,可根据需要灵活选择。它提供大量数据库操作命令,如创建、修改、删除数据库和表格,以及数据的增删改查等。此外,它还支持多种索引,以提高查询性能。
MySQL在全球范围内应用广泛,是许多大型网站和独立软件开发商的首选。其开源、免费、高效、灵活和易用的特点,使其成为当前速度最快的SQL数据库之一。
办公系统采用SSM框架和MySQL数据库等成熟技术,这些技术经过广泛的实践验证,具有高度的稳定性和可靠性。同时,SSM框架在网页制作中的优势如绘制图形、多媒体处理、页面结构优化等,能够为用户提供交互性良好的界面体验。此外,系统采用面向对象的开发模式,使得系统更加灵活、易于维护和扩展。因此,从技术角度来看,SSM OA办公系统的实现是完全可行的。。
从经济可行性角度来看,虽然实施OA软件系统需要投入一定的研发成本、人力成本和运维成本,但考虑到OA软件系统的市场潜力巨大,能够带来可观的收益。长远来看,这些投入是值得的。同时,通过合理的项目管理和资源优化,可以降低系统开发和运维的成本,提高系统的经济效益。
SSM OA办公系统的设计注重用户体验性,交互流畅性,操作简便性。系统整体界面布局简洁大方友好,操作流程清晰明了,企业用户能够轻松上手并快速熟练使用。此外,系统还提供丰富的功能模块,满足企业日常办公的各种需求,使得企业用户能够高效地完成工作。
综上所述,SSM OA办公系统在技术、经济、操作等多角度来看都具有较高的可行性,然而,也需要注意到任何项目开发都存在一定的风险,如竞争风险、技术风险和市场风险等。因此,在项目实施过程中,需要充分考虑各种风险因素的影响,需制定相应的防范措施。
OA办公系统包含员工用户、领导用户管理员三个角色划分,功能员工用户跟领导用户可注册,也可通过管理员添加,登录、修改个人信息,修改密码三个角色用户等通用功能在员工用户模块说明,其他模块不在叙述,三大角色主要功能如下:
(1)注册登录:点击“注册”,输入注册相关信息后点击页面的“注册”按钮,提示注册成功后,回到首页,点击“登录”按钮,根据注册输入的账号密码登录系统,登录时校验输入的账号密码,输入正确登录成功,输入错误会有提示信息;
(2)通知公告:展示所有后台发布的通知公告信息,点击可查看通知公告详情;
(3)留言板:展示所有的留言板信息,点击查看留言板详细信息,同时可以点击“留言”按钮,输入相关留言信息提交留言;
(4)会议通知:展示会议通知列表,可通过关键字跟下拉搜索进行搜索,点击会议可查看详细会议内容;
(5)员工日志:员工日志提交页面,输入相关信息提交日志;
(6)员工日程:员工日程提交页面,输入相关信息提交日程;
(7)我的账户:查看并修改个人资料跟密码;
(8)个人中心包含:个人首页、员工考勤、员工发送、领导发送,员工日志,员工日程,审批事项,申请申请等功能模块
注册登录、首页、通知公告、留言板、会议通知、我的账户跟员工用户一样,以下主要介绍领导用户其他功能:
(1)领导日志:领导日志提交页面,输入相关信息提交日志;
(2)领导日程:领导日程提交页面,输入相关信息提交日程;
(3)个人中心包含:个人首页、员工考勤、员工发送、领导发送,员工日志,员工日程,审批事项,申请申请等功能模块
(1)公共管理:包含对轮播图、通知公告、留言板功能查询、添加、修改、删除操作,在留言板模块,还能回复前台的留言信息。
(2)用户管理:管理员管控所有角色用户,包含了管理员、员工用户、领导用户,可进行查询、新增、删除、修改操作以及管理用户状态等;
(3)部门信息:主页面展示部门列表,并可以查询、新增、删除、修改部门信息,点击“详情”可查看对应部门详细信息;
(4)职位信息:主页面展示职位列表,并可以查询、新增、删除、修改职位信息,点击“详情”可查看对应职位详细信息;
(5)员工考勤:主页面展示员工考勤列表,并可以查询、新增、删除、修改员工考勤信息,点击“详情”可查看该员工详细信息;
(6)领导考勤:主页面展示领导考勤列表,并可以查询、新增、删除、修改领导考勤信息,点击“详情”可查看该领导详细信息;
(7)员工发送:主页面展示员工发送列表,并可以查询、新增、删除、修改员工发送信息,点击“详情”可查看该员工发送详细信息;
(8)领导发送:主页面展示领导考勤列表,并可以查询、新增、删除、修改领导发送信息,点击“详情”可查看该领导发送详细信息;
(9)会议通知:主页面展示领导考勤列表,并可以查询、新增、删除、修改会议通知信息,新增会议通知后会在前台会议通知展示该通知信息,点击“详情”可查看该会议通知详细信息;
(10)员工日志:主页面展示员工日志列表,并可以查询、新增、删除、修改员工日志信息,点击“详情”可查看该员工日志详细信息;
(11)领导日志:主页面展示领导日志列表,并可以查询、新增、删除、修改领导日志信息,点击“详情”可查看该领导日志详细信息;
(12)员工日程:主页面展示员工日程列表,并可以查询、新增、删除、修改员工日程信息,点击“详情”可查看该员工日程详细信息;
(13)领导日程:主页面展示领导日程列表,并可以查询、新增、删除、修改领导日程信息,点击“详情”可查看该领导日程详细信息;
(12)审批事项:主页面展示审批事项列表,并可以查询、新增、删除、修改员工审批事项,点击“详情”可查看该审批事项详细信息;
(13)审批申请:主页面展示审批申请列表,并可以查询、新增、删除、修改审批申请信息,点击“详情”可查看该审批申请详细信息。
OA办公系统的非功能性需求,例如安全性、可靠性,性能、可拓展性、易用性。可维护性如何等。具体可以表示在如下3-1表格中:
| 安全性 | 主要系统应对敏感数据进行加密处理,确保数据在传输和存储过程中的安全性,实现权限管理机制。 |
| 可靠性 | 可靠性是系统能够按照用户的指示进行操作,经过测试,可靠性90%以上。 |
| 性能 | 性能是影响OA办公系统占据市场的必要条件,因为性能要符合客户需求,保证在处理并发用户请求和复杂业务逻辑时,能够保持高效、稳定的运行。 |
| 可扩展性 | 比如系统应采用模块化设计思想,便于模块的添加、替换和升级。 |
| 易用性 | 符合用户习惯,减少学习成本,操作流程简单,有相关操作说明。 |
| 可维护性 | OA办公系统开发的可维护性是非常重要的,经过测试,系统在出现故障或需要升级时,能够方便地进行修复和更新 |
OA办公系统中员工用户角色用例图如图3.2所示:

图3.2 员工用户角色用例图
OA办公系统中领导用户角色用例图如图3.2所示:

图3.2 领导用户角色用例图
OA办公系统中管理员用例图如图3.3所示:

图3.3管理员角色用例图

图3-4用户登录流程图
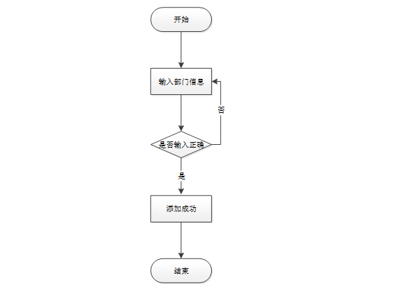
添加部门信息流程图,如图所示:

图3-5添加部门信息流程图
删除部门信息流程图,如图所示:

图3-6删除部门信息流程图
在上一章节主要体现了OA办公系统的功能性需求,并根据需求分析绘制用户用例。本章节主要讲述OA办公系统功能模块设计、数据库设计、详细设计。
OA办公系统功能模块有员工用户、领导用户、管理员三个角色,每个角色对应的功能模块如图4.1所示。

图4.1 OA办公系统系统功能模块图
OA办公系统中管理员、员工用户、员工日志、领导发送E-R实体关系图。

图4.3 OA办公系统E-R关系图
将上述E-R图转换为对应的关系数据库。在关系数据库中,数据关系由数据表组成,但是表的结构表现在表的字段上。
表approval_application (审批申请)
| 编号 | 名称 | 数据类型 | 长度 | 小数位 | 允许空值 | 主键 | 默认值 | 说明 |
| 1 | approval_application_id | int | 10 | 0 | N | Y | 审批申请ID | |
| 2 | employee_user | int | 10 | 0 | Y | N | 0 | 员工用户 |
| 3 | employee_name | varchar | 64 | 0 | Y | N | 员工姓名 | |
| 4 | employee_id | varchar | 64 | 0 | Y | N | 员工工号 | |
| 5 | item_name | varchar | 64 | 0 | Y | N | 事项名称 | |
| 6 | approval_level | varchar | 64 | 0 | Y | N | 审批等级 | |
| 7 | application_description | text | 65535 | 0 | Y | N | 申请说明 | |
| 8 | application_materials | varchar | 255 | 0 | Y | N | 申请资料 | |
| 9 | leading_user | int | 10 | 0 | Y | N | 0 | 领导用户 |
| 10 | leader_name | varchar | 64 | 0 | Y | N | 领导姓名 | |
| 11 | leader_id | varchar | 64 | 0 | Y | N | 领导工号 | |
| 12 | department_name | varchar | 64 | 0 | Y | N | 部门名称 | |
| 13 | job_title | varchar | 64 | 0 | Y | N | 职位名称 | |
| 14 | submission_time | datetime | 19 | 0 | Y | N | 提交时间 | |
| 15 | examine_state | varchar | 16 | 0 | N | N | 未审核 | 审核状态 |
| 16 | examine_reply | varchar | 16 | 0 | Y | N | 审核回复 | |
| 17 | create_time | datetime | 19 | 0 | N | N | CURRENT_TIMESTAMP | 创建时间 |
| 18 | update_time | timestamp | 19 | 0 | N | N | CURRENT_TIMESTAMP | 更新时间 |
| 编号 | 名称 | 数据类型 | 长度 | 小数位 | 允许空值 | 主键 | 默认值 | 说明 |
| 1 | approval_matters_id | int | 10 | 0 | N | Y | 审批事项ID | |
| 2 | item_name | varchar | 64 | 0 | Y | N | 事项名称 | |
| 3 | approval_level | varchar | 64 | 0 | Y | N | 审批等级 | |
| 4 | data_requirements | text | 65535 | 0 | Y | N | 资料要求 | |
| 5 | create_time | datetime | 19 | 0 | N | N | CURRENT_TIMESTAMP | 创建时间 |
| 6 | update_time | timestamp | 19 | 0 | N | N | CURRENT_TIMESTAMP | 更新时间 |
| 编号 | 名称 | 数据类型 | 长度 | 小数位 | 允许空值 | 主键 | 默认值 | 说明 |
| 1 | auth_id | int | 10 | 0 | N | Y | 授权ID: | |
| 2 | user_group | varchar | 64 | 0 | Y | N | 用户组: | |
| 3 | mod_name | varchar | 64 | 0 | Y | N | 模块名: | |
| 4 | table_name | varchar | 64 | 0 | Y | N | 表名: | |
| 5 | page_title | varchar | 255 | 0 | Y | N | 页面标题: | |
| 6 | path | varchar | 255 | 0 | Y | N | 路由路径: | |
| 7 | position | varchar | 32 | 0 | Y | N | 位置: | |
| 8 | mode | varchar | 32 | 0 | N | N | _blank | 跳转方式: |
| 9 | add | tinyint | 3 | 0 | N | N | 1 | 是否可增加: |
| 10 | del | tinyint | 3 | 0 | N | N | 1 | 是否可删除: |
| 11 | set | tinyint | 3 | 0 | N | N | 1 | 是否可修改: |
| 12 | get | tinyint | 3 | 0 | N | N | 1 | 是否可查看: |
| 13 | field_add | text | 65535 | 0 | Y | N | 添加字段: | |
| 14 | field_set | text | 65535 | 0 | Y | N | 修改字段: | |
| 15 | field_get | text | 65535 | 0 | Y | N | 查询字段: | |
| 16 | table_nav_name | varchar | 500 | 0 | Y | N | 跨表导航名称: | |
| 17 | table_nav | varchar | 500 | 0 | Y | N | 跨表导航: | |
| 18 | option | text | 65535 | 0 | Y | N | 配置: | |
| 19 | create_time | timestamp | 19 | 0 | N | N | CURRENT_TIMESTAMP | 创建时间: |
| 20 | update_time | timestamp | 19 | 0 | N | N | CURRENT_TIMESTAMP | 更新时间: |
| 编号 | 名称 | 数据类型 | 长度 | 小数位 | 允许空值 | 主键 | 默认值 | 说明 |
| 1 | comment_id | int | 10 | 0 | N | Y | 评论ID: | |
| 2 | user_id | int | 10 | 0 | N | N | 0 | 评论人ID: |
| 3 | reply_to_id | int | 10 | 0 | N | N | 0 | 回复评论ID:空为0 |
| 4 | content | longtext | 2147483647 | 0 | Y | N | 内容: | |
| 5 | nickname | varchar | 255 | 0 | Y | N | 昵称: | |
| 6 | avatar | varchar | 255 | 0 | Y | N | 头像地址:[0,255] | |
| 7 | create_time | timestamp | 19 | 0 | N | N | CURRENT_TIMESTAMP | 创建时间: |
| 8 | update_time | timestamp | 19 | 0 | N | N | CURRENT_TIMESTAMP | 更新时间: |
| 9 | source_table | varchar | 255 | 0 | Y | N | 来源表: | |
| 10 | source_field | varchar | 255 | 0 | Y | N | 来源字段: | |
| 11 | source_id | int | 10 | 0 | N | N | 0 | 来源ID: |
表department_information (部门信息)
| 编号 | 名称 | 数据类型 | 长度 | 小数位 | 允许空值 | 主键 | 默认值 | 说明 |
| 1 | department_information_id | int | 10 | 0 | N | Y | 部门信息ID | |
| 2 | department_name | varchar | 64 | 0 | Y | N | 部门名称 | |
| 3 | create_time | datetime | 19 | 0 | N | N | CURRENT_TIMESTAMP | 创建时间 |
| 4 | update_time | timestamp | 19 | 0 | N | N | CURRENT_TIMESTAMP | 更新时间 |
| 编号 | 名称 | 数据类型 | 长度 | 小数位 | 允许空值 | 主键 | 默认值 | 说明 |
| 1 | employee_attendance_id | int | 10 | 0 | N | Y | 员工考勤ID | |
| 2 | employee_user | int | 10 | 0 | Y | N | 0 | 员工用户 |
| 3 | employee_name | varchar | 64 | 0 | Y | N | 员工姓名 | |
| 4 | employee_id | varchar | 64 | 0 | Y | N | 员工工号 | |
| 5 | department_name | varchar | 64 | 0 | Y | N | 部门名称 | |
| 6 | job_title | varchar | 64 | 0 | Y | N | 职位名称 | |
| 7 | clock_in_time | datetime | 19 | 0 | Y | N | 打卡时间 | |
| 8 | clock_in_type | varchar | 64 | 0 | Y | N | 打卡类型 | |
| 9 | create_time | datetime | 19 | 0 | N | N | CURRENT_TIMESTAMP | 创建时间 |
| 10 | update_time | timestamp | 19 | 0 | N | N | CURRENT_TIMESTAMP | 更新时间 |
| 编号 | 名称 | 数据类型 | 长度 | 小数位 | 允许空值 | 主键 | 默认值 | 说明 |
| 1 | employee_log_id | int | 10 | 0 | N | Y | 员工日志ID | |
| 2 | employee_user | int | 10 | 0 | Y | N | 0 | 员工用户 |
| 3 | employee_name | varchar | 64 | 0 | Y | N | 员工姓名 | |
| 4 | employee_id | varchar | 64 | 0 | Y | N | 员工工号 | |
| 5 | department_name | varchar | 64 | 0 | Y | N | 部门名称 | |
| 6 | job_title | varchar | 64 | 0 | Y | N | 职位名称 | |
| 7 | log_date | date | 10 | 0 | Y | N | 日志日期 | |
| 8 | log_theme | varchar | 64 | 0 | Y | N | 日志主题 | |
| 9 | upload_materials | varchar | 255 | 0 | Y | N | 上传资料 | |
| 10 | log_content | longtext | 2147483647 | 0 | Y | N | 日志内容 | |
| 11 | create_time | datetime | 19 | 0 | N | N | CURRENT_TIMESTAMP | 创建时间 |
| 12 | update_time | timestamp | 19 | 0 | N | N | CURRENT_TIMESTAMP | 更新时间 |
| 编号 | 名称 | 数据类型 | 长度 | 小数位 | 允许空值 | 主键 | 默认值 | 说明 |
| 1 | employee_schedule_id | int | 10 | 0 | N | Y | 员工日程ID | |
| 2 | employee_users | int | 10 | 0 | Y | N | 0 | 员工用户 |
| 3 | employee_name | varchar | 64 | 0 | Y | N | 员工姓名 | |
| 4 | employee_id | varchar | 64 | 0 | Y | N | 员工工号 | |
| 5 | department_name | varchar | 64 | 0 | Y | N | 部门名称 | |
| 6 | job_title | varchar | 64 | 0 | Y | N | 职位名称 | |
| 7 | start_time | datetime | 19 | 0 | Y | N | 开始时间 | |
| 8 | end_time | datetime | 19 | 0 | Y | N | 结束时间 | |
| 9 | schedule_content | text | 65535 | 0 | Y | N | 日程内容 | |
| 10 | create_time | datetime | 19 | 0 | N | N | CURRENT_TIMESTAMP | 创建时间 |
| 11 | update_time | timestamp | 19 | 0 | N | N | CURRENT_TIMESTAMP | 更新时间 |
| 编号 | 名称 | 数据类型 | 长度 | 小数位 | 允许空值 | 主键 | 默认值 | 说明 |
| 1 | employee_sent_id | int | 10 | 0 | N | Y | 员工发送ID | |
| 2 | sending_users | int | 10 | 0 | Y | N | 0 | 发送用户 |
| 3 | employee_name | varchar | 64 | 0 | Y | N | 员工姓名 | |
| 4 | employee_id | varchar | 64 | 0 | Y | N | 员工工号 | |
| 5 | department_name | varchar | 64 | 0 | Y | N | 部门名称 | |
| 6 | job_title | varchar | 64 | 0 | Y | N | 职位名称 | |
| 7 | receiving_user_1 | int | 10 | 0 | Y | N | 0 | 接收用户1 |
| 8 | receiving_employees | varchar | 64 | 0 | Y | N | 接收员工 | |
| 9 | receiving_user_2 | int | 10 | 0 | Y | N | 0 | 接收用户2 |
| 10 | receiving_leaders | varchar | 64 | 0 | Y | N | 接收领导 | |
| 11 | sending_time | datetime | 19 | 0 | Y | N | 发送时间 | |
| 12 | message_content | text | 65535 | 0 | Y | N | 消息内容 | |
| 13 | send_files | varchar | 255 | 0 | Y | N | 发送文件 | |
| 14 | create_time | datetime | 19 | 0 | N | N | CURRENT_TIMESTAMP | 创建时间 |
| 15 | update_time | timestamp | 19 | 0 | N | N | CURRENT_TIMESTAMP | 更新时间 |
| 编号 | 名称 | 数据类型 | 长度 | 小数位 | 允许空值 | 主键 | 默认值 | 说明 |
| 1 | employee_users_id | int | 10 | 0 | N | Y | 员工用户ID | |
| 2 | employee_name | varchar | 64 | 0 | Y | N | 员工姓名 | |
| 3 | employee_id | varchar | 64 | 0 | N | N | 员工工号 | |
| 4 | employee_gender | varchar | 64 | 0 | Y | N | 员工性别 | |
| 5 | department_name | varchar | 64 | 0 | Y | N | 部门名称 | |
| 6 | job_title | varchar | 64 | 0 | Y | N | 职位名称 | |
| 7 | examine_state | varchar | 16 | 0 | N | N | 已通过 | 审核状态 |
| 8 | user_id | int | 10 | 0 | N | N | 0 | 用户ID |
| 9 | create_time | datetime | 19 | 0 | N | N | CURRENT_TIMESTAMP | 创建时间 |
| 10 | update_time | timestamp | 19 | 0 | N | N | CURRENT_TIMESTAMP | 更新时间 |
| 编号 | 名称 | 数据类型 | 长度 | 小数位 | 允许空值 | 主键 | 默认值 | 说明 |
| 1 | hits_id | int | 10 | 0 | N | Y | 点赞ID: | |
| 2 | user_id | int | 10 | 0 | N | N | 0 | 点赞人: |
| 3 | create_time | timestamp | 19 | 0 | N | N | CURRENT_TIMESTAMP | 创建时间: |
| 4 | update_time | timestamp | 19 | 0 | N | N | CURRENT_TIMESTAMP | 更新时间: |
| 5 | source_table | varchar | 255 | 0 | Y | N | 来源表: | |
| 6 | source_field | varchar | 255 | 0 | Y | N | 来源字段: | |
| 7 | source_id | int | 10 | 0 | N | N | 0 | 来源ID: |
| 编号 | 名称 | 数据类型 | 长度 | 小数位 | 允许空值 | 主键 | 默认值 | 说明 |
| 1 | leadership_agenda_id | int | 10 | 0 | N | Y | 领导日程ID | |
| 2 | leading_user | int | 10 | 0 | Y | N | 0 | 领导用户 |
| 3 | leader_name | varchar | 64 | 0 | Y | N | 领导姓名 | |
| 4 | leader_id | varchar | 64 | 0 | Y | N | 领导工号 | |
| 5 | department_name | varchar | 64 | 0 | Y | N | 部门名称 | |
| 6 | job_title | varchar | 64 | 0 | Y | N | 职位名称 | |
| 7 | start_time | datetime | 19 | 0 | Y | N | 开始时间 | |
| 8 | end_time | datetime | 19 | 0 | Y | N | 结束时间 | |
| 9 | schedule_content | text | 65535 | 0 | Y | N | 日程内容 | |
| 10 | create_time | datetime | 19 | 0 | N | N | CURRENT_TIMESTAMP | 创建时间 |
| 11 | update_time | timestamp | 19 | 0 | N | N | CURRENT_TIMESTAMP | 更新时间 |
| 编号 | 名称 | 数据类型 | 长度 | 小数位 | 允许空值 | 主键 | 默认值 | 说明 |
| 1 | leadership_attendance_id | int | 10 | 0 | N | Y | 领导考勤ID | |
| 2 | leading_user | int | 10 | 0 | Y | N | 0 | 领导用户 |
| 3 | leader_name | varchar | 64 | 0 | Y | N | 领导姓名 | |
| 4 | leader_id | varchar | 64 | 0 | Y | N | 领导工号 | |
| 5 | department_name | varchar | 64 | 0 | Y | N | 部门名称 | |
| 6 | job_title | varchar | 64 | 0 | Y | N | 职位名称 | |
| 7 | clock_in_time | datetime | 19 | 0 | Y | N | 打卡时间 | |
| 8 | clock_in_type | varchar | 64 | 0 | Y | N | 打卡类型 | |
| 9 | create_time | datetime | 19 | 0 | N | N | CURRENT_TIMESTAMP | 创建时间 |
| 10 | update_time | timestamp | 19 | 0 | N | N | CURRENT_TIMESTAMP | 更新时间 |
| 编号 | 名称 | 数据类型 | 长度 | 小数位 | 允许空值 | 主键 | 默认值 | 说明 |
| 1 | leadership_log_id | int | 10 | 0 | N | Y | 领导日志ID | |
| 2 | leading_user | int | 10 | 0 | Y | N | 0 | 领导用户 |
| 3 | leader_name | varchar | 64 | 0 | Y | N | 领导姓名 | |
| 4 | leader_id | varchar | 64 | 0 | Y | N | 领导工号 | |
| 5 | department_name | varchar | 64 | 0 | Y | N | 部门名称 | |
| 6 | job_title | varchar | 64 | 0 | Y | N | 职位名称 | |
| 7 | log_date | date | 10 | 0 | Y | N | 日志日期 | |
| 8 | log_theme | varchar | 64 | 0 | Y | N | 日志主题 | |
| 9 | upload_materials | varchar | 255 | 0 | Y | N | 上传资料 | |
| 10 | log_content | longtext | 2147483647 | 0 | Y | N | 日志内容 | |
| 11 | create_time | datetime | 19 | 0 | N | N | CURRENT_TIMESTAMP | 创建时间 |
| 12 | update_time | timestamp | 19 | 0 | N | N | CURRENT_TIMESTAMP | 更新时间 |
| 编号 | 名称 | 数据类型 | 长度 | 小数位 | 允许空值 | 主键 | 默认值 | 说明 |
| 1 | leader_sends_id | int | 10 | 0 | N | Y | 领导发送ID | |
| 2 | sending_users | int | 10 | 0 | Y | N | 0 | 发送用户 |
| 3 | leader_name | varchar | 64 | 0 | Y | N | 领导姓名 | |
| 4 | leader_id | varchar | 64 | 0 | Y | N | 领导工号 | |
| 5 | department_name | varchar | 64 | 0 | Y | N | 部门名称 | |
| 6 | job_title | varchar | 64 | 0 | Y | N | 职位名称 | |
| 7 | receiving_user_1 | int | 10 | 0 | Y | N | 0 | 接收用户1 |
| 8 | receiving_employees | varchar | 64 | 0 | Y | N | 接收员工 | |
| 9 | receiving_user_2 | int | 10 | 0 | Y | N | 0 | 接收用户2 |
| 10 | receiving_leaders | varchar | 64 | 0 | Y | N | 接收领导 | |
| 11 | sending_time | datetime | 19 | 0 | Y | N | 发送时间 | |
| 12 | message_content | text | 65535 | 0 | Y | N | 消息内容 | |
| 13 | send_files | varchar | 255 | 0 | Y | N | 发送文件 | |
| 14 | create_time | datetime | 19 | 0 | N | N | CURRENT_TIMESTAMP | 创建时间 |
| 15 | update_time | timestamp | 19 | 0 | N | N | CURRENT_TIMESTAMP | 更新时间 |
| 编号 | 名称 | 数据类型 | 长度 | 小数位 | 允许空值 | 主键 | 默认值 | 说明 |
| 1 | leading_users_id | int | 10 | 0 | N | Y | 领导用户ID | |
| 2 | leader_name | varchar | 64 | 0 | Y | N | 领导姓名 | |
| 3 | leader_id | varchar | 64 | 0 | N | N | 领导工号 | |
| 4 | leadership_gender | varchar | 64 | 0 | Y | N | 领导性别 | |
| 5 | department_name | varchar | 64 | 0 | Y | N | 部门名称 | |
| 6 | job_title | varchar | 64 | 0 | Y | N | 职位名称 | |
| 7 | examine_state | varchar | 16 | 0 | N | N | 已通过 | 审核状态 |
| 8 | user_id | int | 10 | 0 | N | N | 0 | 用户ID |
| 9 | create_time | datetime | 19 | 0 | N | N | CURRENT_TIMESTAMP | 创建时间 |
| 10 | update_time | timestamp | 19 | 0 | N | N | CURRENT_TIMESTAMP | 更新时间 |
| 编号 | 名称 | 数据类型 | 长度 | 小数位 | 允许空值 | 主键 | 默认值 | 说明 |
| 1 | meeting_notice_id | int | 10 | 0 | N | Y | 会议通知ID | |
| 2 | leading_user | int | 10 | 0 | Y | N | 0 | 领导用户 |
| 3 | leader_name | varchar | 64 | 0 | Y | N | 领导姓名 | |
| 4 | leader_id | varchar | 64 | 0 | Y | N | 领导工号 | |
| 5 | department_name | varchar | 64 | 0 | Y | N | 部门名称 | |
| 6 | job_title | varchar | 64 | 0 | Y | N | 职位名称 | |
| 7 | meeting_number | varchar | 64 | 0 | Y | N | 会议编号 | |
| 8 | meeting_cover | varchar | 255 | 0 | Y | N | 会议封面 | |
| 9 | conference_theme | varchar | 64 | 0 | Y | N | 会议主题 | |
| 10 | attending_time | datetime | 19 | 0 | Y | N | 参会时间 | |
| 11 | meeting_location | varchar | 64 | 0 | Y | N | 会议地点 | |
| 12 | attendance_requirements | text | 65535 | 0 | Y | N | 参会要求 | |
| 13 | create_time | datetime | 19 | 0 | N | N | CURRENT_TIMESTAMP | 创建时间 |
| 14 | update_time | timestamp | 19 | 0 | N | N | CURRENT_TIMESTAMP | 更新时间 |
| 编号 | 名称 | 数据类型 | 长度 | 小数位 | 允许空值 | 主键 | 默认值 | 说明 |
| 1 | message_id | int | 10 | 0 | N | Y | 留言板ID: | |
| 2 | user_id | int | 10 | 0 | N | N | 0 | 用户ID: |
| 3 | title | varchar | 64 | 0 | Y | N | 标题: | |
| 4 | content | longtext | 2147483647 | 0 | N | N | 内容: | |
| 5 | nickname | varchar | 32 | 0 | N | N | 昵称: | |
| 6 | avatar | varchar | 255 | 0 | Y | N | 头像: | |
| 7 | | varchar | 125 | 0 | Y | N | 留言者邮箱 | |
| 8 | phone | varchar | 11 | 0 | Y | N | 留言者手机号码 | |
| 9 | create_time | timestamp | 19 | 0 | N | N | CURRENT_TIMESTAMP | 创建时间: |
| 10 | update_time | timestamp | 19 | 0 | N | N | CURRENT_TIMESTAMP | 更新时间: |
| 11 | reply | longtext | 2147483647 | 0 | Y | N | 回复 | |
| 12 | reply_state | tinyint | 4 | 0 | Y | N | 0 | 回复状态 |
| 编号 | 名称 | 数据类型 | 长度 | 小数位 | 允许空值 | 主键 | 默认值 | 说明 |
| 1 | notice_id | mediumint | 8 | 0 | N | Y | 公告id: | |
| 2 | title | varchar | 125 | 0 | N | N | 标题: | |
| 3 | content | longtext | 2147483647 | 0 | Y | N | 正文: | |
| 4 | create_time | timestamp | 19 | 0 | N | N | CURRENT_TIMESTAMP | 创建时间: |
| 5 | update_time | timestamp | 19 | 0 | N | N | CURRENT_TIMESTAMP | 更新时间: |
| 编号 | 名称 | 数据类型 | 长度 | 小数位 | 允许空值 | 主键 | 默认值 | 说明 |
| 1 | position_information_id | int | 10 | 0 | N | Y | 职位信息ID | |
| 2 | job_title | varchar | 64 | 0 | Y | N | 职位名称 | |
| 3 | create_time | datetime | 19 | 0 | N | N | CURRENT_TIMESTAMP | 创建时间 |
| 4 | update_time | timestamp | 19 | 0 | N | N | CURRENT_TIMESTAMP | 更新时间 |
用户注册:页面中输入:账号、设置密码、确认密码、昵称、邮箱、手机号、身份等信息,点击注册,如图5-2所示。

图5-1用户注册界面图
关键代码如下:

员工用户登录:登录页面输入用户名、密码点击“登录”,如图5-2所示。

图5-2用户登录界面图
关键代码如下:

通知公告:展示所有后台发布的通知公告信息,如图5-3所示。

图5-3通知公告界面图
关键代码如下:

留言板:展示所有的留言板信息,并点击查看留言板详细信息,同时可以点击,“留言”按钮,输入相关留言信息提交留言,如图5-4所示。

图5-4提交留言界面图
关键代码如下:

会议通知界面:展示会议通知列表,点击会议可查看详细会议内容,会议通知列表如图5-5所示。

图5-5会议通知列表界面图
员工日志:展示员工日志界面,输入相关信息后点击“提交”按钮提交员工日志,如图5-6所示。

图5-6员工日志界面图
展示员工日程界面,输入相关信息后点击“提交”按钮提交员工日程,,如图5-7所示。

图5-7员工日程界面图
个人中心包含:个人首页、员工考勤、员工发送、领导发送,员工日志,员工日程,审批事项,申请申请等功能模块,以下主要展示几个功能页面:员工考勤提交页面,如图5-8所示:

图5-8员工考勤界面图
员工发送:主要是给领导或者其他员工发送消息,如图5-9所示

图5-9员工发送界面图
审批申请:输入相关信息提交给领导审批,如图5-10所示:

图5-10审批申请界面图
领导日志:展示领导日志界面,输入相关信息后点击“提交”按钮提交领导日志,如图5-11所示。

图5-11领导日志提交界面图
领导日程:展示领导日程界面,输入相关信息后点击“提交”按钮提交领导日程,如图5-12所示。

图5-12领导日程提交界面图
个人中心包含:个人首页、领导考勤、员工发送、领导发送,会议通知、领导日志,领导日程,审批事项,申请申请等功能模块,以下主要展示几个功能页面:领导考勤提交页面,如图5-13所示:

图5-13领导考勤界面图
审批事项:展示所有审批事项,如图5-14所示

图5-14审批事项界面图
审批申请:导审批相关申请,如图5-15所示:

图5-15审批申请界面图
公共管理界面:包含对轮播图、通知公告、留言板功能查询、添加、修改、删除操作,在留言板模块,还能回复前台的留言信息,如图5-16所示。

图5-16回复留言界面图
部门信息:主页面展示部门列表,并可以查询、新增、删除、修改部门信息,点击“详情”可查看对应部门详细信息,如图5-17所示。

图5-17部门信息添加界面图
职位信息界面:主页面展示职位列表,并可以查询、新增、删除、修改职位信息,点击“详情”可查看对应职位详细信息,如图5-18所示。

图5-18职位信息添加界面图
会议通知:主页面展示领导考勤列表,并可以查询、新增、删除、修改会议通知信息,新增会议通知后会在前台会议通知展示该通知信息,点击“详情”可查看该会议通知详细信息,如图5-19所示。

图5-19会议通知添加界面图
用户管理界面:包含管理员、员工用户、领导用户,并可以查询、新增、删除、修改用户信息,点击“详情”可查看员工详细信息,添加用户如图5-20所示。

图5-20用户添加界面图
用户登录测试:
| 模块名称 | 测试用例 | 预期结果 | 实际结果 | 是否通过 |
| 登录模块 | 用户名:admin 密码:123456 | 弹出提示信息:用户名或密码错误 | 弹出提示信息:用户名或密码错误 | 通过 |
| 登录模块 | 用户名:admin 密码:admin | 提示:登录成功,并进入登陆后的首页 | 提示:登录成功,并进入登陆后的首页 | 通过 |
添加部门信息测试:
| 模块名称 | 测试用例 | 预期结果 | 实际结果 | 是否通过 |
| 添加部门信息模块 | 部门信息页面点击添加按钮,输入:研发部,点击确定 | 提示部门添加成功 | 提示部门添加成功 | 通过 |
删除部门信息测试:
| 模块名称 | 测试用例 | 预期结果 | 实际结果 | 是否通过 |
| 删除部门信息模块 | 勾选多个部门信息,点击删除 | 提示删除成功,部门信息列表不在显示对应部门 | 提示删除成功,部门信息列表不在显示对应部门 | 通过 |
修改密码测试:
| 模块名称 | 测试用例 | 预期结果 | 实际结果 | 是否通过 |
| 修改密码模块 | 原密码:123123 新密码:123 确认密码:123 | 提示:提示原密码错误 | 提示:提示原密码错误 | 通过 |
| 修改密码模块 | 原密码:admin 新密码:123 确认密码:333 | 弹出提示:新密码与确认密码不一致 | 弹出提示:新密码与确认密码不一致 | 通过 |
| 修改密码模块 | 原密码:admin 新密码:123 确认密码:123 | 提示:密码修改成功 | 提示:密码修改成功 | 通过 |
通过对上述功能模块的测试,系统的基本功能都是可用的。
通过编写SSM OA办公系统功能模块的测试用例,对用户登录模块、部门信息、职位信息、公共管理、员工考勤、领导考勤等模块进行功能测试,测试通过。通过这些模块的测试保证系统的正确性、可靠性、易用性。
经过这几个月的精心筹备与不懈奋斗,SSM OA办公系统终于开发完成。尽管实际开发的时间紧凑,但这背后却蕴藏着我无数次的试验与突破。在此整个研发过程中,我深刻感受到自身不足,并积极寻求改进与提升。面对系统开发中遇到的关键技术与难题,我始终保持着一颗谦逊好学的心,锲而不舍,不断钻研与实践。尽管这些技术与方法曾让我倍感压力,但通过持之以恒的努力,我逐渐掌握了它们的精髓。
从需求分析到系统设计,从编码实现到数据调试,每一个环节都凝聚了我的专注与智慧。在SSM框架的应用、MySQL数据库的优化等方面,我充分展现了自己的专业能力与实操经验,力求使系统更加完美、稳定。同时,我也注重与团队成员的沟通协作,共同解决遇到的难题,确保项目顺利进行。
当然,作为一个初次尝试的项目,SSM OA办公系统仍存在一些不足和待改进之处。但正是这些经历,让我更加深切地感受到了技术的魅力与挑战,也坚定了我继续前行的决心。
展望未来,我将继续深耕计算机技术,不断提升自己的专业素养与综合能力。我相信,通过不断的学习与实践,我将在未来的项目开发中更好地发挥自我价值,为团队的成功贡献更多力量。同时,我也期待在未来的道路上,能与更多志同道合的伙伴携手并进,共同探索技术的广阔天地。
SSM OA办公系统的圆满完成,既是一段技术攻坚的旅程,也是一次自我超越的历练。回首这段时光,我深感每一个功能的实现、每一个难题的攻克,都凝聚了我的汗水与智慧,都见证了我的成长与蜕变。
首先,我要由衷感谢我的指导老师。您的悉心指导和无私帮助,让我在技术的海洋中找到了方向,让我学会了将理论知识与实际操作相结合,真正做到了学以致用。您严谨的工作态度和深厚的专业素养,让我受益匪浅,更是我未来职业道路上的楷模。
同时,我也要感谢那些曾经教导过我的老师们。您们的教诲如同明灯,照亮了我前行的道路,让我在专业领域打下了坚实的基础。您们的辛勤付出和无私奉献,我将永远铭记在心。
此外,我还要特别感谢我的同学们。在项目开发过程中,我们携手并进,共同面对挑战,共同分享喜悦。正是有了你们的陪伴和支持,我才能够坚持下来,才能够取得今天的成果。这段并肩作战的日子,将成为我人生中最美好的回忆。
毕业之际,我将带着这份宝贵的经历和师长同学们的祝福,踏上新的征程。在未来的日子里,我将继续努力学习,不断提升自己的专业技能和综合素质,为实现更高的目标而努力奋斗。我相信,只要我们心怀梦想、勇往直前,就一定能够创造出更加辉煌的明天!
参考文献
[1]王冰,韩宝海.浅析办公室档案管理工作效率提升途径[J].兰台内外,2022(01):28-30.
[2]郭丽娜.SMART原则在企业办公室管理中的应用[J].中外企业文化,2021(12):69-70.
[3] 曹珍,杨帆. 基于SSM框架的商户管理平台设计与实现[J]. 计算技术与自动化,2018,36(4):1-3.
[4] 向露. 基于SSM的智能停车场管理系统的设计与实现[J]. 电子设计工程,2018,
[5] 邹红霆. 基于SSM框架的Web系统研究与应用[J]. 湖南理工学院学报(自然科学版),2017,
[6] 魏志军,杨云峰. 智能综合实验室管理系统设计[J]. 现代电子技术,2018,
[7]G. A P ,E. Z S .The Potential of Digitalization to Improve the Skills of Agri-Food Market Participants: Technical and Economic Opportunities of Multicasting and Internet Television[J].Automatic Documentation and Mathematical Linguistics,2024,57(6):309-332.
[8]Ha G H ,Lee J ,Jung H G , et al.2D-3D Reconstruction of a Femur by Single X-Ray Image Based on Deep Transfer Learning Network[J].IRBM,2024,45(1):100822-.
[9]徐得森.OA办公系统在石油化工企业公文管理中的应用[J].办公室业务,2024,(02):28-30.
[10]曹阳.企业管理流程与OA协同办公系统的融合应用[J].网络安全和信息化,2023,(12):82-84.
[11]陈新宇,梁宇杰,辛程远等.基于智慧校园平台的协同办公系统建设的研究[J].中国新通信,2023,25(21):81-83+98.
[12]王慧.OA协同办公系统数据集群高可用性研究[J].现代信息科技,2023,7(16):143-146+150.DOI:10.19850/j.cnki.2096-4706.2023.16.031.
[13]吴海彦,吕聃洽.公司办公自动化系统设计与实现[J].福建电脑,2023,39(08):59-64.DOI:10.16707/j.cnki.fjpc.2023.08.014.
[14]王猛.智能化OA办公系统在内蒙古广播电视台的建设应用[J].数字传媒研究,2023,40(05):44-47+53.
[15]张浩.SSM框架在Web应用开发中的设计与实现研究[J].电脑知识与技术,2023,19(08):52-54.DOI:10.14004/j.cnki.ckt.2023.0353.
点赞+收藏+关注 →私信领取本源代码、数据库
关注博主下篇更精彩
一键三连!!!
一键三连!!!
一键三连!!!
感谢一键三连!!!
891

被折叠的 条评论
为什么被折叠?



