摘 要
近年来,随着移动互联网的快速发展,电子商务越来越受到网民们的欢迎,电子商务对国家经济的发展也起着越来越重要的作用。简单的流程、便捷可靠的支付方式、快捷畅通的物流快递、安全的信息保护都使得电子商务越来越赢得网民们的青睐。越来越多的商家使用计算机来开展业务、销售、宣传各种产品。各种商业系统和软件已经解放了企业的双手,并使企业能够最大限度地获得利益。因此,计算机技术在商业领域占有非常重要的地位。
本文主要通过对系统的前台系统和后台管理系统进行了功能性需求分析,对系统的安全性和可扩展性进行了非功能性需求分析。在详细的需求分析的基础上,根据系统的功能设计确定了数据库结构,实现完整的代码编写。自行车网上商城完成了系统的主要模块的页面设计和功能实现。本文展示了首页页面的实现效果图,并通过代码和页面介绍了用户注册功能、商品展示功能、自行车购买和在线支付功能的实现过程。
关键词:电子商务;Springboot框架;自行车商城
Springboot bicycle online mall
Abstract
In recent years, with the rapid development of mobile Internet, e-commerce is more and more welcomed by Internet users. E-commerce also plays a more and more important role in the development of national economy. Simple process, convenient and reliable payment method, fast and smooth logistics express delivery and safe information protection all make e-commerce more and more popular among Internet users. More and more businesses use computers to carry out business, sell and publicize various products. Various business systems and software have liberated the hands of enterprises and enabled enterprises to maximize benefits. Therefore, computer technology plays a very important role in the commercial field.
This paper mainly analyzes the functional requirements of the foreground system and background management system, and analyzes the non functional requirements of the security and scalability of the system. Based on the detailed demand analysis, the database structure is determined according to the functional design of the system to realize the complete coding. Bicycle online mall has completed the page design and function realization of the main modules of the system. This paper shows the implementation effect of the home page, and introduces the implementation process of user registration function, commodity display function, bicycle purchase and online payment function through code and page.
Key words:Electronic Commerce; Springboot framework; Bicycle mall
目 录
21世纪,全球网络化,科技在突飞猛进。我们的生活也随之发生了极大的变化。随着计算机的普及,我们社会和经济生活中的各个领域也在发生改变。人们进行信息交流的深度与广度在不断增加,这使得传统的行业模式也要跟随时代的步伐,为用户提供更加便捷、个性化的服务。电子商务在此得到了极大的普及与发展。
传统的自行车商店,大都是以实际门面的形式进行宣传与交流的。但随着现在生活节奏的加快,人们不在像往常一样有时间和精力去线下的自行车店去挑选合适自己的自行车。同时,年轻人对个性化的追求,传统的自行车店己无法满足他们的需求。自行车商店是为用户提供个性化、多样化的服务的行业,而电子商务则最能体现个性化,多样化服务的商务方式。而且现在大部分成功的电子商务都是些比较大的行业,像淘宝、当当之类,一些相对较小的行业并没有能力在短时间完成转型。自行车销售行业的转型需要经历一个过程,最终会以一个最贴切、最灵便的服务进入网络社区,进入人们的生活。
- 本文的组织结构
第一章是绪论,本文章的开头部分,对本题目的研究背景和研究意义等一些做文字性的描述。
第二章研究了自行车网上商城的所采用的开发技术和开发工具。
第三章是系统分析部分,包括系统总体需求描述、功能性角度分析系统需求、非功能性等各个方面分析系统是否可以实现。
第四章是系统设计部分,本文章的重要部分,提供了系统架构的详细设计和一些主要功能模块的设计说明。
第五章是系统的具体实现,介绍系统的各个模块的具体实现。
第六章在前几章的基础上对系统进行测试和运行。
最后对系统进行了认真的总结,以此对未来有一个新的展望。
Java是一种面向对象的程序设计语言,类是Java程序的基本组成单元,类中又包含了属性和方法,在类中又可以创建无数个对象。类中包含的主要成员是字段和方法,字段是指一种数据变量,方法是指对字段进行操作的集合,包括给其他变量赋值、调用方法等[1]。
- Springboot框架
Spring框架是Java平台上的一种开源应用框架,提供具有控制反转特性的容器。尽管Spring框架自身对编程模型没有限制,但其在Java应用中的频繁使用让它备受青睐,以至于后来让它作为EJB(EnterpriseJavaBeans)模型的补充,甚至是替补。Spring框架为开发提供了一系列的解决方案,比如利用控制反转的核心特性,并通过依赖注入实现控制反转来实现管理对象生命周期容器化,利用面向切面编程进行声明式的事务管理,整合多种持久化技术管理数据访问,提供大量优秀的Web框架方便开发等等。Spring框架具有控制反转(IOC)特性,IOC旨在方便项目维护和测试,它提供了一种通过Java的反射机制对Java对象进行统一的配置和管理的方法。Spring框架利用容器管理对象的生命周期,容器可以通过扫描XML文件或类上特定Java注解来配置对象,开发者可以通过依赖查找或依赖注入来获得对象。Spring框架具有面向切面编程(AOP)框架,SpringAOP框架基于代理模式,同时运行时可配置;AOP框架主要针对模块之间的交叉关注点进行模块化。Spring框架的AOP框架仅提供基本的AOP特性,虽无法与AspectJ框架相比,但通过与AspectJ的集成,也可以满足基本需求。Spring框架下的事务管理、远程访问等功能均可以通过使用SpringAOP技术实现。Spring的事务管理框架为Java平台带来了一种抽象机制,使本地和全局事务以及嵌套事务能够与保存点一起工作,并且几乎可以在Java平台的任何环境中工作。
Mysql数据库逻辑结构包含表空间(tablespace)、段(segment)、范围(extend)、数据块(datablock)、和模式对象(schemaobject) [9]。每一个数据库都可以逻辑划分为一个或多个表空间,每一个表空间都是由一个或多个数据文件来组成。Mysql数据库分为系统表空间和非系统表空间,每一个Mysql数据库都包含一个称作SYSTEM的系统表空间。
Mysql的语言是非结构化的,用户可以在数据上进行工作。MySQL因为其速度、可靠性和适应性而备受关注。大多数人都认为在不需要事务化处理的情况下,MySQL是管理内容最好的选择。并且因为Mysql的语言和结构比较简单,但是功能和存储信息量很强大,所以得到了普遍的应用。
Mysql数据库在编程过程中的作用是很广泛的,为用户进行数据查询带来了方便。Mysql数据库的应用因其灵活性强,功能强大,所以在实现某功能时只需要一小段代码,而不像其他程序需要编写大段代码。总体来说,Mysql数据库的语言相对要简洁很多。
数据流程分析主要就是数据存储的储藏室,它是在计算机上进行的,而不是现实中的储藏室。数据的存放是按固定格式,而不是无序的,其定义就是:长期有固定格式,可以共享的存储在计算机存储器上。数据库管理主要是数据存储、修改和增加以及数据表的建立。为了保证系统数据的正常运行,一些有能力的处理者可以进行管理而不需要专业的人来处理。数据表的建立,可以对数据表中的数据进行调整,数据的重新组合及重新构造,保证数据的安全性。介于数据库的功能强大等特点,本系统的开发主要应用了Mysql进行对数据的管理。
- B/S结构
B/S(Browser/Server)比前身架构更为省事的架构。它借助Web server完成数据的传递交流。只需要下载浏览器作为客户端,那么工作就达到“瘦身”效果, 不需要考虑不停装软件的问题。
- B/S体系工作原理
B/S架构采取浏览器请求,服务器响应的工作模式。
用户可以通过浏览器去访问Internet上由Web服务器产生的文本、数据、图片、动画、视频点播和声音等信息;
而每一个Web服务器又可以通过各种方式与数据库服务器连接,大量的数据实际存放在数据库服务器中;
从Web服务器上下载程序到本地来执行,在下载过程中若遇到与数据库有关的指令,由Web服务器交给数据库服务器来解释执行,并返回给Web服务器,Web服务器又返回给用户。在这种结构中,将许许多多的网连接到一块,形成一个巨大的网,即全球网。而各个企业可以在此结构的基础上建立自己的Internet。
在 B/S 模式中,用户是通过浏览器针对许多分布于网络上的服务器进行请求访问的,浏览器的请求通过服务器进行处理,并将处理结果以及相应的信息返回给浏览器,其他的数据加工、请求全部都是由Web Server完成的。通过该框架结构以及植入于操作系统内部的浏览器,该结构已经成为了当今软件应用的主流结构模式。
(六)MVVM模式
MVVM模式是常用的开发模式,主要是在代码实现上将其分为M层、V层和C层。
视图(View)代表用户交互界面,一个 Web 应用就可能有很多的界面,在 MVVM 模式中,视图仅仅处理的只有数据采集、处理,还有用户的请求, 并不包括业务流程的处理,业务流程由模型(Model)来处理。
模型(Model)就是业务流程/状态的处理及业务规则的制定。模型处理业务流程的过程其它层是无法看见了的,它就像黑箱子,在接受视图请求的数据之后,然后返回最终的处理结果。MVVM 最主要的核心就是业务模型的设计,一个典型的应用例子就是目前流行的 EJB 模型,它从应用技术实现的角度对模型做了进一步的划分,以便充分利用现有的组件,但是它不能作为应用设计模型的框架。
控制器(Controller)可以理解为接收用户的请求,然后视图和模型匹配在一起,一起再完成用户请求。它有非常明显的作用在划分控制层上,可以很清晰地告诉你,它就是一个分发器,选择什么样的模型、视图,可以完成用户的什么样的请求。控制层不做所有的数据处理,比如说:用户点击一个连接,控制层接受到请求之后,并不处理业务信息,它只是向模型传递用户的信息,同时告诉模型做什么,然后选择符合需求的视图返回给用户。
本系统将在经济、技术、操作这三个角度上进行可行性分析。
整个系统从设计到开发以及测试过程严谨步骤齐全,所有工作任务全部由本人完成,并未获取外部技术支持,节约了一切服务成本开销以及人工成本,在硬件方面,为节约成本使用一台二手移动工作站作为项目部署服务器以及数据库服务器,成本在一万元一下,真个网络部署也是由本人独立完成不涉及到其他人工费用,整个开发过程本着低成本,低消耗的原则。
技术可行性分析的目的是确认该系统能否利用现有技术实现,并评估开发效率和完成情况。技术的可行性是指在当前的技术条件下,计算机软件和硬件的开发是否能够满足发展的要求。因为该系统的开发基于Java语言,所以开发该系统所需的软件和硬件条件可以在普通计算机上满足。因为它占用的内存相对较少,所以用Mysql数据库开发和设计软件理论上没有问题,因为它占用的内存太少。上述技术可以有效地保证系统的成功和高效开发。
自行车网上商城的使用界面简单易于操作,采用常见的界面窗口来登录界面,通过电脑进行访问操作,用户只要平时使用过电脑都能进行访问操作。此系统的开发采用Java技术开发,人性化和完善化是B/S结构开发比较显要的特点使得用户操作相比较其他更加简洁方便。易操作、易管理、交互性好在本系统操作上体现得淋漓尽致。
前台需求:
(1)用户模块:主要包括用户的注册和登陆、用户个人信息管理等功能。
(2)自行车信息管理模块:主要包括自行车信息浏览、自行车信息展示、自行车搜索、自行车购买等功能。
(3)购买订单模块:主要包括添加购买订单、查看我的购买订单和删除购买订单等功能。
(4)订单模块:主要包括生成订单、我的订单、查看订单详细信息、在线支付等功能。
后台需求:
(1)用户管理:主要包括用户列表、用户等级管理等功能。
(2)自行车信息管理:主要包括自行车列表、自行车类目管理、自行车添加、自行车信息管理等功能。
(3)订单管理:主要包括订单确认、支付查看等功能。
用户用例图如下所示。

图1 用户用例图
管理员用例图如下所示。

图2 管理员用例图
卖家用例图如下所示。

图1 卖家用例图
商品添加用例描述如下表所示。
表1商品添加用例描述
| 用例名称 | 添加新商品 | |
| 参与者 | 管理员 | |
| 用例概述 | 本用例用于管理员进行添加新商品操作 | |
| 前置条件 | 管理员添加新商品前必须登录系统 | |
| 后置条件 | 系统中添加一个新商品 | |
| 基本事件流 | 参与者动作 | 系统响应 |
4、管理员填写新商品信息,点击“添加”按钮。 | 2、系统打开添加新商品界面。 3、系统检查管理员输入的商品信息是正确有效的。 5、系统将商品添加到数据库中。 6、系统提示“操作成功”。 7、系统跳转到商品管理界面。 | |
| 其他事件流 | 1、系统验证管理员输入的商品名为空,则提示“*请填写商品名称!”。 2、系统验证管理员输入的价格不是数字格式,则提示“*价格必须是数字格式!” | |
商品删除用例描述如下表所示。
表2商品删除用例描述
| 用例名称 | 删除商品 | |
| 参与者 | 管理员 | |
| 用例概述 | 本用例用于管理员进行删除商品操作 | |
| 前置条件 | 管理员删除商品前必须登录系统 | |
| 后置条件 | 系统中删除一个商品 | |
| 基本事件流 | 参与者动作 | 系统响应 |
| 1、管理员在后台主界面选择“商品管理”。 4、管理员选择一个商品,点击“删除”按钮。 6、管理员点击“确定”按钮。 | 2、系统从数据库中获取商品信息列表 3、系统打开商品列表界面。 5、系统提示“你确定要删除吗?”。 7、系统将商品从数据库中删除。 8、系统提示“删除成功”。 9、系统跳转到商品管理界面。 | |
| 其他事件流 | 无 | |
用户编辑用例描述如下表所示。
表3用户编辑用例描述
| 用例名称 | 修改用户 | |
| 参与者 | 管理员 | |
| 用例概述 | 本用例用于管理员进行修改用户信息操作 | |
| 前置条件 | 管理员已经登录系统 | |
| 后置条件 | 系统中更新一条用户记录 | |
| 基本事件流 | 参与者动作 | 系统响应 |
| 1、管理员在后台主界面选择“用户管理”。 4、管理员在用户列表中选择一个用户,点击“编辑”按钮。 6、管理员填写用户信息,点击“保存修改”按钮。 | 2、系统从数据库中获取用户信息。 3、系统打开用户列表界面。 5、系统打开修改用户信息界面。 7、系统将更改后的添加到数据库中。 8、系统提示“操作成功”。 9、系统跳转到用户管理界面。 | |
| 其他事件流 | 无 | |
商品购买用例描述如下表所示。
表4商品购买用例描述
| 用例名称 | 商品购买 | |
| 参与者 | 用户 | |
| 用例概述 | 本用例用于用户进行对商品购买操作 | |
| 前置条件 | 用户已经登录系统 | |
| 后置条件 | 系统中增加一条用户购买记录 | |
| 基本事件流 | 参与者动作 | 系统响应 |
| 1、用户在前台首页选择任意一个商品分类。 4、管理员在用户列表中选择一个商品。 7、用户填写购买订单,点击“购买”按钮。 | 2、系统从数据库中获取商品列表信息。 3、系统打开商品列表界面。 5、系统从数据库中获取商品信息。 6、系统打开商品信息及购买界面。 8、系统检查用户输入的信息是正确有效的。 9、系统将购买记录添加到数据库中。 | |
| 其他事件流 | 1、系统验证用户输入的字段为空,则提示“*购买数量不能为空!”。 | |
随着用户量的增加,系统可能会需要同时服务上千、上万个页面,服务器需要同时响应大量用户的操作,这就要求系统需要有良好的可扩展性,否则系统会出现延迟,卡顿甚至服务器崩溃的问题。高扩展性可以使软件保持旺盛的生命力,同时也能够使系统更好的适应用户增加、提高性能需求、增加应用功能等改变。
系统中保存了大量用户和管理员的个人信息,因此,保证系统服务器和数据安全是在开发过程中需要考虑的重要问题。安全性包括服务器安全、操作系统安全、数据库安全、程序代码安全以及用户个人信息和支付安全等,系统可以通过采用防火墙技术、加密技术、认证技术等来增强其安全性,只有一个健壮安全的系统才能具有长久的生命力。
自行车网上商城的前台中,用户模块和自行车商品模块进行数据交互,实现购买的功能。前台的功能主要包括用户模块、商城模块、购买模块和订单模块。
自行车网上商城的后台中,管理员对用户在前台提交申请产生的数据进行处理,以满足用户的需求。前台系统和后台系统有数据交互,整个系统各个部分相互独立又密不可分。后台的功能主要包括用户管理、商城管理、订单管理。
通过软件的需求分析已经获得了系统的基本功能需求。根据各大功能模块的不同,将系统分为各种功能大块。系统功能结构如下图所示。

图4系统功能结构图
注册/登录
游客(未进行注册或登陆的用户)可以浏览、但不能进行收藏和购买。用户注册首先需要进行表单验证,来验证账号和密码是否合法,然后验证账号是否已经存在,验证通过即可注册。
注册成功后,用户可以通过输入用户名来登录系统,输入密码后进行验证。登录成功后,用户可以使用收藏、自行车购买、查看我的订单、商城资讯、个人信息管理等功能。
个人信息管理
用户登录系统后,在账户设置中,可以修改昵称、头像、登陆密码、收货地址等个人基本信息。
商品搜索
系统首页展示了商品搜索输入框,用户在输入框内输入与商品类型相关的关键字,系统通过模糊查询搜索到用户需要的商品并展示。
自行车信息展示
用户在浏览自行车时,点击某一个自行车,跳转到该自行车的信息展示页。在自行车信息页面展示了自行车的详情信息,比如自行车介绍,自行车详情等,用户通过浏览信息了解自行车的主要功能和评价,最终决定是否购买。
商品购买
在商品信息页面,用户可以通过点击“购买”进行购买商品,点击后跳转到订单生成页面。订单生成页面会展示商品信息,收货地址等,用户确认后信息无误点击“提交”生成订单,订单生成后跳转到支付页面,支付完成则购买成功。
查看订单详情
用户在查看我的订单列表时,可以点击某一个订单来查看该订单的详细信息,主要包括订单编号、订单状态、订单日期、订单中的商品、交易金额等。订单详情还可以查看自行车物流信息。
商城列表
管理员可以在“商城列表”中展示商城中需要销售的商城,包含商城名称,商城属性以及类目等商城信息。管理员可以对商城进行搜索,按分类查询商城。
商品添加
添加商品首先需要输入商品基本信息,如商品信息、商品价格、商品分类等;然后需要编辑商品详情,如商品类型,商品价格,商品图片等。管理员也可以删除已添加的商品。
商品管理
用户在购买商品时需要选择商品类型,管理员可以设置商品类型以及展示的顺序等。管理员还可以给商品类型添加属性值,也可以删除不需要的属性值。同时,管理员可以编辑商品信息,如商品介绍、价格、展示图片等,方便用户浏览。
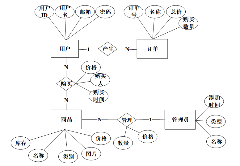
概念设计包括实体和联系两部分,如该系统中,用户是一个实体,其属性包括用户 ID 标识、用户名、密码、电话、地址等属性。联系是指实体之间有意义的关联,包括一对一、一对多、多对多三种类型。
系统E-R图如下所示。

图5系统E-R图
在图中,用户购买商品,关系为1:N,管理员管理商品,关系为1:N,用户和订单的关系为1:N。
连接数据库的文件在Resources 文件夹下的application.yml文件,代码如下:
server:
port: 5000
servlet:
context-path: /api
spring:
datasource:
url: jdbc:mysql://127.0.0.1:3306/CS725260_20211101091736?serverTimezone=GMT%2B8&useSSL=false&characterEncoding=utf-8
username: root
password: root
driver-class-name: com.mysql.cj.jdbc.Driver
jackson:
property-naming-strategy: CAMEL_CASE_TO_LOWER_CASE_WITH_UNDERSCORES
default-property-inclusion: ALWAYS
time-zone: GMT+8
date-format: yyyy-MM-dd HH:mm:ss
servlet:
multipart:
max-file-size: 100MB
max-request-size: 100MB
针对系统的实体和属性,结合数据设计思想,对系统的逻辑设计的内容进行如下描述。
商品(商品编号、商品名称、商品图片、价格、类目、介绍)。
购买订单(购买订单编号、自行车编号、购买数量、总额、购买人、购买时间)。
订单(订单编号、用户名、订单内容、总金额、商品类型、收货地址、是否支付、当前状态)。
商品类目(商品类目编号、添加时间、名称)。
商城资讯(资讯编号、标题、类别、内容、图片)。
数据库表是设计和实现系统的一个重要基础。以下列出了该商城几个重要的数据库表。
| 名称 | 类型 | 长度 | 不是null | 主键 | 注释 |
| ordinary_users_id | int | 11 | 是 | 是 | 普通用户ID |
| full_name | varchar | 64 | 否 | 否 | 姓名 |
| gender | varchar | 64 | 否 | 否 | 性别 |
| examine_state | varchar | 16 | 是 | 否 | 审核状态 |
| recommend | int | 11 | 是 | 否 | 智能推荐 |
| user_id | int | 11 | 是 | 否 | 用户ID |
| create_time | datetime | 0 | 是 | 否 | 创建时间 |
| update_time | timestamp | 0 | 是 | 否 | 更新时间 |
| 名称 | 类型 | 长度 | 不是null | 主键 | 注释 |
| shopping_mall_id | int | 11 | 是 | 是 | 商城ID |
| seller | int | 11 | 否 | 否 | 卖家 |
| hits | int | 11 | 是 | 否 | 点击数 |
| examine_state | varchar | 16 | 是 | 否 | 审核状态 |
| recommend | int | 11 | 是 | 否 | 智能推荐 |
| cart_title | varchar | 125 | 否 | 否 | 标题 |
| cart_img | text | 0 | 否 | 否 | 封面图 |
| cart_description | varchar | 255 | 否 | 否 | 描述 |
| cart_price_ago | double | 8 | 是 | 否 | 原价:[1] |
| cart_price | double | 8 | 是 | 否 | 卖价:[1] |
| cart_inventory | int | 11 | 是 | 否 | 商品库存 |
| cart_type | varchar | 64 | 是 | 否 | 商品分类: |
| cart_content | longtext | 0 | 否 | 否 | 正文 |
| cart_img_1 | text | 0 | 否 | 否 | 主图1: |
| cart_img_2 | text | 0 | 否 | 否 | 主图2: |
| cart_img_3 | text | 0 | 否 | 否 | 主图3: |
| cart_img_4 | text | 0 | 否 | 否 | 主图4: |
| cart_img_5 | text | 0 | 否 | 否 | 主图5: |
| create_time | datetime | 0 | 是 | 否 | 创建时间 |
| update_time | timestamp | 0 | 是 | 否 | 更新时间 |
| 名称 | 类型 | 长度 | 不是null | 主键 | 注释 |
| seller_id | int | 11 | 是 | 是 | 卖家ID |
| full_name | varchar | 64 | 否 | 否 | 姓名 |
| gender | varchar | 64 | 否 | 否 | 性别 |
| examine_state | varchar | 16 | 是 | 否 | 审核状态 |
| recommend | int | 11 | 是 | 否 | 智能推荐 |
| user_id | int | 11 | 是 | 否 | 用户ID |
| create_time | datetime | 0 | 是 | 否 | 创建时间 |
| update_time | timestamp | 0 | 是 | 否 | 更新时间 |
| 名称 | 类型 | 长度 | 不是null | 主键 | 注释 |
| order_id | int | 11 | 是 | 是 | 订单ID: |
| order_number | varchar | 64 | 否 | 否 | 订单号: |
| goods_id | mediumint | 8 | 是 | 否 | 商品id |
| title | varchar | 32 | 否 | 否 | 商品标题: |
| img | varchar | 255 | 否 | 否 | 商品图片: |
| price | double | 10 | 是 | 否 | 价格: |
| price_ago | double | 10 | 是 | 否 | 原价: |
| num | int | 8 | 是 | 否 | 数量: |
| price_count | double | 8 | 是 | 否 | 总价: |
| norms | varchar | 255 | 否 | 否 | 规格: |
| type | varchar | 64 | 是 | 否 | 商品分类: |
| contact_name | varchar | 32 | 否 | 否 | 联系人姓名: |
| contact_email | varchar | 125 | 否 | 否 | 联系人邮箱: |
| contact_phone | varchar | 11 | 否 | 否 | 联系人手机: |
| contact_address | varchar | 255 | 否 | 否 | 收件地址: |
| postal_code | varchar | 9 | 否 | 否 | 邮政编码: |
| user_id | int | 10 | 是 | 否 | 买家ID: |
| merchant_id | mediumint | 8 | 是 | 否 | 商家ID: |
| create_time | timestamp | 0 | 是 | 否 | 创建时间: |
| update_time | timestamp | 0 | 是 | 否 | 更新时间: |
| description | varchar | 255 | 否 | 否 | 描述 |
| state | varchar | 16 | 是 | 否 | 订单状态 |
| 名称 | 类型 | 长度 | 不是null | 主键 | 注释 |
| type_id | int | 11 | 是 | 是 | 商品分类ID: |
| father_id | smallint | 5 | 是 | 否 | 上级分类ID |
| name | varchar | 255 | 否 | 否 | 商品名称: |
| desc | varchar | 255 | 否 | 否 | 描述: |
| icon | varchar | 255 | 否 | 否 | 图标: |
| source_table | varchar | 255 | 否 | 否 | 来源表: |
| source_field | varchar | 255 | 否 | 否 | 来源字段: |
| create_time | timestamp | 0 | 是 | 否 | 创建时间: |
| update_time | timestamp | 0 | 是 | 否 | 更新时间: |
| 类型 | 长度 | 不是null | 主键 | 注释 | |
| goods_id | mediumint | 8 | 是 | 是 | 产品id |
| title | varchar | 125 | 否 | 否 | 标题 |
| img | text | 0 | 否 | 否 | 封面图 |
| description | varchar | 255 | 否 | 否 | 描述 |
| price_ago | double | 8 | 是 | 否 | 原价:[1] |
| price | double | 8 | 是 | 否 | 卖价:[1] |
| customize_field | text | 0 | 否 | 否 | 自定义字段 |
| sales | int | 10 | 是 | 否 | 销量 |
| inventory | int | 11 | 是 | 否 | 商品库存 |
| type | varchar | 64 | 是 | 否 | 商品分类: |
| hits | int | 10 | 是 | 否 | 点击量 |
| content | longtext | 0 | 否 | 否 | 正文 |
| create_time | timestamp | 0 | 是 | 否 | 创建时间: |
| update_time | timestamp | 0 | 是 | 否 | 更新时间: |
| img_1 | text | 0 | 否 | 否 | 主图1: |
| img_2 | text | 0 | 否 | 否 | 主图2: |
| img_3 | text | 0 | 否 | 否 | 主图3: |
| img_4 | text | 0 | 否 | 否 | 主图4: |
| img_5 | text | 0 | 否 | 否 | 主图5: |
| source_table | varchar | 255 | 否 | 否 | 来源表: |
| source_field | varchar | 255 | 否 | 否 | 来源字段: |
| source_id | int | 10 | 是 | 否 | 来源ID: |
| user_id | int | 11 | 否 | 否 | 添加人 |
- 系统实现
用户注册完成后,点击“登陆”进入到登陆页面,输入用户名和密码,点击“登陆”按钮,对用户名和密码进行验证,根据传入的用户名和密码在数据库中是否能查询到一条用户信息,若不能返回用户信息则登陆失败,页面提示用户名或密码错误。
登陆拦截管理器,在config文件夹下的WebAppConfig.java文件,代码如下:
@Configuration
@Slf4j
public class WebAppConfig implements WebMvcConfigurer {
@Override
public void addInterceptors(InterceptorRegistry registry) {
//登录拦截的管理器
InterceptorRegistration registration = registry.addInterceptor(loginInterceptor());
//拦截的地址
registration.addPathPatterns("/**");
//方行的地址
//registration.excludePathPatterns("/**");
//根据需要拦截,一般设置所有地址拦截,放行公共连接
}
@Bean
public LoginInterceptor loginInterceptor(){
return new LoginInterceptor();
}
}
登录界面如下图所示。

图5-1登录界面
用户登录的关键代码如下。
/**
* 登录
* @param data
* @param httpServletRequest
* @return
*/
@PostMapping("login")
public Map<String, Object> login(@RequestBody Map<String, String> data, HttpServletRequest httpServletRequest) {
log.info("[执行登录接口]");
String username = data.get("username");
String email = data.get("email");
String phone = data.get("phone");
String password = data.get("password");
List resultList = null;
Map<String, String> map = new HashMap<>();
if(username != null && "".equals(username) == false){
map.put("username", username);
resultList = service.select(map, new HashMap<>()).getResultList();
}
else if(email != null && "".equals(email) == false){
map.put("email", email);
resultList = service.select(map, new HashMap<>()).getResultList();
}
else if(phone != null && "".equals(phone) == false){
map.put("phone", phone);
resultList = service.select(map, new HashMap<>()).getResultList();
}else{
return error(30000, "账号或密码不能为空");
}
if (resultList == null || password == null) {
return error(30000, "账号或密码不能为空");
}
//判断是否有这个用户
if (resultList.size()<=0){
return error(30000,"用户不存在");
}
User byUsername = (User) resultList.get(0);
用户界面要尽量简洁大方,使用户能够方便找到需要的功能入口,浏览、购买商品,且要易于修改和维护,同时还要保证用户合法和系统安全。
首页界面如下图所示。

图5-2首页界面
用户进入系统首页后,点击“注册”链接进入到注册页面,按照页面提示输入用户名、密码和自行车号,页面进行表单验证,验证输入的用户名和账号是否合法,表单验证通过后,点击“立即注册”按钮,利用 Ajax 技术,对用户名和账号实现页面无刷新验证,检测数据库中是否已经存在该用户名,若数据库中不存在,则注册成功,注册成功后,自动跳转到登录页面。
用户注册界面如下所示。

图5-3用户注册界面
自行车展示页面,如下图所示。

图5-4自行车展示页面
自行车展示的关键代码如下。
@PostMapping("/add")
@Transactional
public Map<String, Object> add(HttpServletRequest request) throws IOException {
service.insert(service.readBody(request.getReader()));
return success(1);
}
@Transactional
public Map<String, Object> addMap(Map<String,Object> map){
service.insert(map);
return success(1);
}
系统首页提供了搜索自行车的输入框,用户在输入框内输入想要查找自行车的关键字,点击搜索按钮,系统将用户输入的关键字传递到后台。首先创建一个实体类 PageBean,该实体类的属性包括页码 pageCode、每页记录数 pageSize、总记录数 totalRecord 和一个 List 集合 beanList,用循环将搜索到的结果分页展示。
自行车搜索界面如下图所示。

图5-5自行车搜索界面
自行车搜索的关键代码如下。
@RequestMapping(value = {"/count_group", "/count"})
public Map<String, Object> count(HttpServletRequest request) {
Query count = service.count(service.readQuery(request), service.readConfig(request));
return success(count.getResultList());
}
用户在浏览商品时,对于心仪的想要购买的商品,可以将该商品添加到购买订单中。点击“添加购买订单”按钮,页面将该商品的数据传递到后台,首先查询数据库购买订单表中是否已经存在该商品,若存在直接将商品数量加一,若不存在则创建一个新的购买订单对象,添加购买订单成功,数据库中的购买订单表添加一条信息。用户还可以点击“我的购买订单”查看添加到购买订单的商品,系统通过读取 session获取到用户 ID,将用户 ID 传递到后台,在购买订单表中查询该用户的所有购买订单信息,返回数据到我的购买订单页面。
购买订单界面如下图所示。

图5-6购买订单界面
购买订单界面如下图所示。

图5-7购买订单界面
购买订单的关键代码:
@RequestMapping("/get_list")
public Map<String, Object> getList(HttpServletRequest request) {
Map<String, Object> map = service.selectToPage(service.readQuery(request), service.readConfig(request));
return success(map);
}
管理员对系统用户的管理,在管理员管理实现管理员用户的管理,包括录入、删除、修改,修改密码通过SESSION获取用户名,然后输入新密码,使用sql命令更新密码。
用户管理界面如下图所示。

图5-8用户管理界面
管理员可以获取系统中所有的商城列表并对其进行编辑。管理员在添加商城时,需要输入商城基本信息,如商品名称、价格等,还需要输入商城详情描述,包括对商城功能的描述以及展示图片等。添加商城完成,数据库自行车商城表添加一条信息。管理员可以搜索商城,同时可以对已经添加的城进行编辑。
商城管理界面如下图所示。

图5-9商城管理界面
商城管理关键代码:
@RequestMapping(value = {"/avg_group", "/avg"})
public Map<String, Object> avg(HttpServletRequest request) {
Query count = service.avg(service.readQuery(request), service.readConfig(request));
return success(count.getResultList());
}
管理员在后台管理界面点击到所有订单界面列表,可以搜索当前所有订单信息,调用搜索全部订单的请求,向数据库的订单表搜索当前所有订单并将订单信息以对象的形式层层返回到订单列表界面,显示出当前所有订单信息。同时可以删除过期订单,确认已有订单,进行发货处理。
订单管理界面如下图所示。

图5-10订单管理界面
物流信息界面如下图所示。

图5-11物流信息界面
物流信息的关键代码如下。
@RequestMapping("/get_obj")
public Map<String, Object> obj(HttpServletRequest request) {
Query select = service.select(service.readQuery(request), service.readConfig(request));
List resultList = select.getResultList();
if (resultList.size() > 0) {
JSONObject jsonObject = new JSONObject();
jsonObject.put("obj",resultList.get(0));
return success(jsonObject);
} else {
return success(null);
}
}
public Query select(Map<String,String> query,Map<String,String> config){
StringBuffer sql = new StringBuffer("select ");
sql.append(config.get(FindConfig.FIELD) == null || "".equals(config.get(FindConfig.FIELD)) ? "*" : config.get(FindConfig.FIELD)).append(" ");
sql.append("from ").append("`").append(table).append("`").append(toWhereSql(query, "0".equals(config.get(FindConfig.LIKE))));
if (config.get(FindConfig.GROUP_BY) != null && !"".equals(config.get(FindConfig.GROUP_BY))){
sql.append("group by ").append(config.get(FindConfig.GROUP_BY)).append(" ");
}
if (config.get(FindConfig.ORDER_BY) != null && !"".equals(config.get(FindConfig.ORDER_BY))){
sql.append("order by ").append(config.get(FindConfig.ORDER_BY)).append(" ");
}
if (config.get(FindConfig.PAGE) != null && !"".equals(config.get(FindConfig.PAGE))){
int page = config.get(FindConfig.PAGE) != null && !"".equals(config.get(FindConfig.PAGE)) ? Integer.parseInt(config.get(FindConfig.PAGE)) : 1;
int limit = config.get(FindConfig.SIZE) != null && !"".equals(config.get(FindConfig.SIZE)) ? Integer.parseInt(config.get(FindConfig.SIZE)) : 10;
sql.append(" limit ").append( (page-1)*limit ).append(" , ").append(limit);
}
log.info("[{}] - 查询操作,sql: {}",table,sql);
return runEntitySql(sql.toString());
}
以进入系统首页的访问速度为例展示系统的性能测试;系统的主要用户群体是购物理念较为先进的消费者,系统要在3秒钟内响应;需要完成页面的菜单栏、首页轮播图片、类目及自行车列表、自行车评价以及各功能模块入口等元素的显示。
功能性测试是指执行指定的工作流程,通过对一个系统的所有特性和功能都进行测试确保符合需求和规范。
系统功能性测试表如下表所示。
表11系统功能性测试表
| 编号 | 测试功能 | 测试内容 | 测试结果 |
| 1 | 用户登录 | 1.验证用户名与密码的正确性。 2.验证密码是否可见。 | 通过 |
| 2 | 首页展示 | 1.首页数据是否成功加载。 2.验证搜索功能的准确性。 3.验证是否可以异步加载。 4.验证导航栏按钮。 | 通过 |
| 3 | 个人信息修改 | 1.验证登录名是否可以正常更改。 2.验证联系方式是否可以更改。 3.验证收货地址可以正常修改。 4.验证密码是否可以修改。 | 通过 |
| 4 | 购买订单管理 | 1.购买订单清单是否可以生成。 2.验证消费信息是否准确。 | 通过 |
| 7 | 自行车类目管理 | 1.验证类目新增是否可以成功。 2.验证类目删除是否可以成功。 | 通过 |
| 8 | 商品管理 | 1.商品信息是否与上传一致。 2.是否能完成价格修改。 3.验证库存信息修改。 | 通过 |
| 9 | 订单处理 | 1.能否正常上传单号完成发货。 2.验证数据准确性。 | 通过 |
| 10 | 添加自行车 | 1.上传自行车是否添加验证。 2.图片是否成功上传。 3.验证表单是否提交成功。 | 通过 |
| 11 | 用户管理 | 1.验证用户录入功能。 2.验证用户违规清理功能。 | 通过 |
集成测试后,所有的模块已经全部连接完毕,形成了一个完整的系统。合格性测试是在集成测试完毕后,进一步对系统进行综合性的检测。经过合格性测试,可以检查出系统是否符合系统的设计,能够完成需求的所有功能。本系统经过最后的测试,所有模块功能都能按预定要求工作。
在实际测试中,经过一系列系统性的测试,使我们能够及时发现一些系统在设计中出现的疏忽和漏洞。经过严密的测试,不仅发现了模块内部的错误,也查找到模块连接后产生的错误。经过测试,对系统产生错误的地方进行优化、修改和完善,使得系统能够实现最初设计的基本功能。
本文针对自行车网上商城的特点和用户需求,利用 Java相关技术、Springboot框架和MVVM 模式等技术,通过详细的需求分析、页面设计和功能设计,最终实现了一个基于 Java 的自行车网上商城。
系统利用JQuery 技术和 CSS 技术进行了系统页面设计,实现了包括用户模块、自行车模块、购买订单模块和订单模块的前台系统以及包括用户管理模块、自行车管理模块、订单管理模块的后台系统。另外,系统还进行了数据安全设计和推荐自行车模块设计,并添加了用户的访问控制,建立了一个完整、健壮、安全稳定的自行车网上商城。
由于时间限制和本人能力条件有限,该系统还存在一些不足,今后也会出现许多新的开发技术,未来还可以对系统做出如下改进:
(1)优化系统页面,使页面更加美观且方便操作;
(2)优化商品搜索功能,提供多条件选择查询搜索;
(3)优化商品推荐功能,提高商品推荐的精准度;
(4)优化在线支付功能,提供更多支付接口,使用户付款更加方便;
(5)进一步提高系统的安全性,使系统更加健壮;
(6)优化数据和代码,提升软件效率,方便系统维护和扩展。
参考文献
- 杨文豪. 基于微服务的网上商城系统的设计与实现[D].北京邮电大学,2021.
- [2]程红琳. 网上商城品目扩容效果几何[N]. 中国政府采购报,2021-05-18(005).
- 魏钢毅. 从“一品目一采购”到供应商承诺入驻[N]. 中国政府采购报,2021-05-11(005).
- [4]王娟.基于Android系统的手机网上商城设计与实现[J].电子技术与软件工程,2021(03):43-44.
- 裴来芝,宁云智,刘东海.基于ASP.NET的网上商城中用户注册功能模块设计与实现[J].电脑编程技巧与维护,2020(10):44-46.
- [6]袁江琛.Ajax+jQuery在网上商城购物车模块中的设计与实现[J].电脑编程技巧与维护,2020(10):34-35+68.
[7]王柯梦,王瑞平.基于B2C网上商城前台系统数据库设计与实现[J].广西质量监督导报,2020(09):70-71.
[8]黄舒珣. 基于文本挖掘的迪卡侬网上商城顾客满意度影响因素研究[D].广西民族大学,2020.
[9]孙建英.分布式、集中式、区块链技术在网上商城中的应用[J].商场现代化,2020(01):13-15.
[10]李贝贝. 考虑策略型消费者的网上商城动态定价研究[D].大连大学,2019.
[11]王一凡. 基于MOT的云南移动网上商城O2O手机营销策略优化研究[D].云南大学,2019.
[12]袁嘉. 零售商多渠道供应链的定价决策与渠道选择[D].重庆交通大学,2019.
[13]徐光耀. 基于Dubbo分布式架构网上商城的研究与实现[D].沈阳师范大学,2019.
[14]刘芳羽.新华书店“网上商城”上线运营[J].时尚北京,2018(06):158-159.
致谢
时光飞逝,转眼间我在学校的这些年生活即将结束,回顾这几年的学习生活,收获良多,既有幸福也有难过,学校生活的结束对于我来说也是一个新的开始。论文即将完成,在此,我心中有许多想要感谢的人。首先感谢我的导师,不仅在学习研究方面加以指导,也在生活和为人处世上给予帮助。还要感谢授课老师,你们严谨的学术精神和积极向上的工作态度都在激励我的成长和进步。感谢多年来一直生活在一起的室友,谢谢你们多年来的陪伴和照顾。最后,要感谢各位论文评审老师,感谢您们在百忙之中抽空评阅本论文并给出宝贵的意见和建议。
点赞+收藏+关注 →私信领取本源代码、数据库
关注博主下篇更精彩
一键三连!!!
一键三连!!!
一键三连!!!
感谢一键三连!!!
基于SpringBoot的自行车商城系统
1425

被折叠的 条评论
为什么被折叠?



