摘 要
随着城市化进程的加速和人口的不断增长,垃圾管理和环境保护成为了全球面临的重要挑战之一。垃圾分类作为一种可行的解决方案,旨在减少垃圾的数量、降低环境污染,并促进资源的回收与再利用。
本文旨在设计并开发一个垃圾分类系统。该系统采用Java作为开发语言,ssm框架用于快速搭建系统的后端架构,MySQL数据库用于数据的存储和管理。通过该垃圾分类系统,用户可以进行登录注册、浏览首页、获取公告信息和行业新闻、留言交流、查询垃圾信息和验收信息,以及管理个人中心。管理员则可以管理系统的首页信息、公共内容、用户账户、资讯、垃圾分类、垃圾信息、垃圾投放和验收信息等。
本文旨在提供一个便捷、高效的垃圾分类服务。通过该系统,用户能够方便地获取垃圾分类相关信息,促进公众参与垃圾分类,减少环境污染。同时,该系统也为相关研究提供了数据支持和实践经验,为垃圾分类领域的进一步研究与应用提供参考。
关键词:垃圾分类系统;Java语言;SSM框架;MySQL数据库
Abstract
With the acceleration of urbanization and continuous population growth, waste management and environmental protection have become one of the important challenges facing the world. Garbage classification, as a feasible solution, aims to reduce the amount of garbage, reduce environmental pollution, and promote the recycling and reuse of resources.
This article aims to design and develop a garbage classification system. The system uses Java as the development language, the SSM framework is used to quickly build the backend architecture of the system, and the MySQL database is used for data storage and management. Through this garbage classification system, users can log in and register, browse the homepage, obtain announcement information and industry news, leave messages for communication, query garbage information and acceptance information, and manage their personal center. Administrators can manage the system's homepage information, public content, user accounts, information, garbage classification, garbage information, garbage disposal, and acceptance information.
This article aims to provide a convenient and efficient garbage classification service. Through this system, users can easily obtain information related to garbage classification, promote public participation in garbage classification, and reduce environmental pollution. At the same time, the system also provides data support and practical experience for related research, providing reference for further research and application in the field of garbage classification.
Key words: Garbage classification system; Java language; SSM framework; MySQL database
目 录
随着城市化进程的加速和人口的不断增长,垃圾管理和环境保护成为了全球面临的重要挑战之一。垃圾分类作为一种可行的解决方案,旨在减少垃圾的数量、降低环境污染,并促进资源的回收与再利用。然而,垃圾分类过程中存在诸多问题,如信息不透明、操作复杂、缺乏有效的监管等。因此,借助现代信息技术来构建一个功能完善、用户友好的垃圾分类系统具有重要意义。该垃圾分类系统旨在通过提供登录注册、首页、公告信息、行业新闻、留言板、垃圾信息、验收信息和个人中心等功能,为用户提供便捷的垃圾分类服务。管理员则能够管理系统的各项功能,并确保垃圾分类过程的顺利进行。
垃圾分类系统的研究和应用有助于减少垃圾数量、促进资源回收与再利用,从而降低环境污染的程度。通过推广垃圾分类,可以有效地减少垃圾对土壤、水域和大气的污染,保护生态环境。垃圾分类系统的建立可以促进废弃物资源的回收和再利用。通过准确分类和处理垃圾,可以最大限度地提取和利用可回收材料,减少对原始资源的依赖,推动循环经济发展。垃圾分类系统为用户提供了方便的垃圾分类服务,增加了公众参与垃圾分类的意识和积极性。该系统可以提供行业新闻和资讯,宣传环境保护知识,加强公众对垃圾分类重要性的认识,并激发他们采取行动的动力。垃圾分类系统的研究涉及到信息技术、数据库管理、用户界面设计等领域的创新与应用。通过开发具有良好用户体验和实用功能的垃圾分类系统,可以推动相关技术的创新和推广应用,促进智慧城市建设与可持续发展。
总之,垃圾分类系统的研究和应用对于环境保护、资源可持续利用、公众参与与教育以及技术创新与应用推广都具有重要意义。通过改善垃圾管理和推动垃圾分类,我们可以为构建清洁、可持续的社会和环境做出积极贡献。
在国内外,已经有许多垃圾分类系统的研究和应用。上海市推出了一套基于互联网和移动端应用的垃圾分类管理系统,包括用户端和管理员端。用户可以通过手机App查询垃圾分类指南、预约大件垃圾清运等功能,而管理员可以进行数据统计和管理。北京市开展了垃圾分类智能管理系统的建设,该系统利用人工智能技术,结合智能垃圾桶和传感器等设备,实现自动识别、称重和分类垃圾的功能,并提供实时数据监测和报告生成。
在国外,斯德哥尔摩市采用了一套智能化垃圾分类系统,通过智能垃圾桶和RFID技术实现垃圾分类和收集。用户通过个人卡片将垃圾放入对应的垃圾桶中,系统自动记录和统计信息。东京市推出了一套基于移动应用的垃圾分类系统,用户可以通过手机App查询垃圾分类指南、查看垃圾收集日历,并提供相关资讯和活动推广等功能。
综合来看,国内外的研究都致力于利用信息技术和智能设备提高垃圾分类的效率和便捷性。这些系统通常包括用户端和管理员端,提供垃圾分类指南、实时数据监测、预约服务等功能。同时,一些系统还采用人工智能、传感器和RFID等技术来实现自动识别和分类垃圾的功能。尽管在不同国家和地区的具体应用略有差异,但都对垃圾分类的智能化和可持续发展做出了积极贡献。
第一章:绪论
本章介绍了论文的引言,包括对系统的背景和现状进行了概述,阐明了研究的目的和意义,并简要描述了论文的结构和各章节的主要内容。
第二章:相关技术介绍
该章节详细介绍了系统采用的技术的基本概念和特点。通过对这些关键技术的介绍,为后续章节中系统分析、设计和实现提供了必要的技术背景和理论支持。
第三章:系统分析
在本章中,对系统进行了需求分析,包括用户需求和功能需求。根据需求分析结果,对系统进行了模块划分,并设计了相应的数据库结构,以确保系统能够满足用户的基本需求和功能要求。
第四章:系统设计
该章节从系统架构和用户界面两个方面进行设计。在系统架构设计中,描述了系统的整体结构和各个模块之间的关系。在用户界面设计中,通过界面原型和布局设计,展示了用户与系统交互的界面效果。
第五章:系统实现
本章详细介绍了系统的实现过程,确保系统能够有效地处理和管理相关数据。
第六章:系统测试
在本章中,对已实现的系统进行了全面的测试。包括各项功能测试,以验证系统是否符合需求规格,并评估系统的稳定性和可靠性。
第七章:结论
最后一章对整个研究工作进行了总结和回顾,指出已完成的工作和取得的成果。同时,还提出了存在问题和改进建议,并对未来的研究方向和发展前景进行了展望。
Java作为开发语言,具有广泛的应用领域和强大的跨平台特性。Java语言提供了丰富的类库和工具,使得系统的开发更加高效和可靠。通过Java语言的特性,开发人员可以轻松处理系统的各种功能需求,并实现系统的稳定性和可扩展性。
SSM框架是指Spring、SpringMVC和MyBatis三个开源框架的组合。Spring框架用于管理系统的依赖注入和事务管理,SpringMVC框架用于处理系统的请求和响应,MyBatis框架用于数据库的访问和操作。SSM框架结合了各自的优势,简化了系统的开发流程,并提供了良好的可扩展性和灵活性。通过SSM框架可以快速搭建系统的后端架构,实现数据的交互和业务逻辑的处理。
MySQL数据库作为一个成熟的关系型数据库管理系统,在垃圾分类系统中扮演着重要的角色。MySQL用于存储和管理系统的数据,包括用户信息、垃圾分类信息、垃圾投放记录等。MySQL具有良好的性能和稳定性,能够支持系统的高效查询和数据操作。通过使用MySQL数据库,可以确保数据的安全性和可靠性,并提供对大量数据的高效处理能力。
综上所述,该垃圾分类系统使用了Java编程语言、SSM框架和MySQL数据库等技术。这些技术的选择使得系统具备了良好的可扩展性、高效性和稳定性。开发人员可以借助Java语言的特性和丰富的类库,结合SSM框架的优势和MySQL数据库的功能,快速开发出功能完善且性能优异的垃圾分类系统。同时,这些技术也为系统的后续升级和拓展提供了良好的基础,满足用户对垃圾分类服务的需求。
可行性分析的目的是评估和确定一个项目在技术、经济和操作上的可行性,以决策是否继续推进项目。它旨在帮助项目团队和决策者了解项目的潜在风险、成本效益以及操作上的可行性,从而作出明智的决策并制定相应的计划。通过可行性分析,可以减少项目失败的风险,并确保项目在各个方面能够达到预期目标和成功实施。
该垃圾分类系统基于Java语言、SSM框架和MySQL数据库等技术,具备较高的技术可行性。Java作为一种成熟的编程语言,拥有广泛的应用领域和强大的跨平台特性,可以满足系统的开发需求。SSM框架结合了Spring、SpringMVC和MyBatis等优秀的开源框架,简化了系统的开发流程,并提供了良好的可扩展性和灵活性。MySQL数据库作为一种常用的关系型数据库管理系统,具备稳定性和高效性,能够满足系统对数据存储和管理的需求。综合来看,该系统所采用的技术具备成熟性、稳定性和可扩展性,能够支持系统的正常运行和后续升级。
在经济方面,该垃圾分类系统需要考虑软件开发和维护的成本。基于Java、SSM和MySQL的技术栈,开发人员相对容易获取相关技术资源和开发工具,降低了开发成本。此外,使用开源框架和数据库系统也减少了软件许可费用。然而,还需考虑硬件设备、服务器租用和维护等方面的成本,以及系统上线后可能需要进行的技术支持和更新的费用。通过综合评估项目预算和预期收益,进行经济效益分析,可以判断该垃圾分类系统在经济上的可行性。
在操作可行性方面,该垃圾分类系统应该注重用户友好性和易操作性。通过良好的用户界面设计和交互流程,使用户能够轻松地浏览信息、查询垃圾分类指南、提交留言等。同时,系统应提供详细的使用说明和帮助文档,以便用户能够快速上手和解决问题。系统管理员也应具备操作系统所需的技能和知识,能够有效地管理用户账户、发布公告和管理系统数据等。通过考虑操作者的技能水平和提供适当的培训和支持,确保系统在操作上的可行性。
系统功能需求分析是对系统所需的功能进行详细而全面的分析和定义,以确保系统能够满足用户的需求和预期目标。通过系统功能需求分析,可以明确系统应该具备哪些功能,以指导后续的系统设计和开发工作,并为用户提供一个准确、高效的垃圾分类服务。其中,普通用户用例图如下所示。

图3-1 普通用户用例图
管理员用例图如下所示。

图3-2 管理员用例图
系统业务流程分析是对系统中涉及的各项业务流程进行详细分析和描述,以了解不同业务流程之间的关系和操作步骤。通过系统业务流程分析,可以清晰地展示用户和系统之间的交互过程,帮助开发人员和用户更好地理解系统的工作流程,并为后续的系统设计和开发提供指导。垃圾分类系统的业务流程如下图所示。

图3-3 系统业务流程图
总体结构设计是对系统的整体架构和组成进行规划和设计,包括各个模块、组件之间的关系和交互方式。通过总体结构设计,确定系统的层次结构、模块划分和接口定义,确保系统具有良好的可扩展性、可维护性和高效性。总体结构设计提供了一个框架,指导后续的详细设计和开发工作,并确保系统能够满足用户需求和预期目标。系统功能结构图如下所示。

图4-2 系统功能结构图
垃圾分类系统能够满足用户登录注册、浏览首页、获取公告信息和行业新闻、留言交流、查询垃圾信息和验收信息,以及管理个人中心的需求。管理员则可以管理系统的首页信息、公共内容、用户账户、资讯、垃圾分类、垃圾信息、垃圾投放和验收信息等。
(1)用户端:
登录注册:用户可以通过注册新账户或登录现有账户进行系统访问。
首页:展示系统的概览信息,包括公告信息、行业新闻等。
公告信息:显示系统发布的最新公告和通知。
行业新闻:提供关于垃圾分类领域的最新资讯和动态。
留言板:用户可以在留言板上发表意见、提出问题或与其他用户交流。
垃圾信息:用户可以查询特定垃圾的分类、处理方式等相关信息。
验收信息:用户可以查看垃圾投放后的验收结果。
个人中心:用户可以管理个人信息、修改密码以及查看历史记录等。
(2)管理员端:
首页:管理员可查看系统概览信息,包括公告信息、统计数据等。
公共管理:管理员可以发布和管理系统的公告信息。
用户管理:管理员可以管理用户账户,包括注册审核、账户禁用等操作。
资讯管理:管理员可以发布和管理行业新闻和相关资讯。
垃圾分类:管理员可以维护垃圾分类体系,添加、编辑或删除垃圾分类信息。
垃圾信息:管理员可以管理垃圾信息,包括添加、编辑或删除垃圾相关数据。
垃圾投放:管理员可以记录和管理用户的垃圾投放情况,进行验收操作。
验收信息:管理员可以查看和管理垃圾投放后的验收结果。
数据库概念结构设计主要涉及数据库的实体和实体之间的关系。通过实体-关系模型或者其他适当的模型,我们将定义系统中涉及的各个实体以及它们之间的联系。垃圾分类系统利用E-R图对上述实体和联系进行描述。

图4-3 普通用户信息E-R关系图

图4-4 垃圾信息E-R关系图

图4-5垃圾投放E-R关系图

图4-7 评论信息E-R关系图
总体ER图如下图所示。

图4-8 总体ER图
数据库逻辑结构设计则是在概念结构的基础上,进行具体的数据库表设计。我们将定义每个表的结构、字段和约束,并建立表与表之间的关系。
表acceptance_information (验收信息)
| 编号 | 名称 | 数据类型 | 长度 | 小数位 | 允许空值 | 主键 | 默认值 | 说明 |
| 1 | acceptance_information_id | int | 10 | 0 | N | Y | 验收信息ID | |
| 2 | acceptance_users | int | 10 | 0 | Y | N | 0 | 验收用户 |
| 3 | garbage_name | varchar | 64 | 0 | Y | N | 垃圾名称 | |
| 4 | garbage_type | varchar | 64 | 0 | Y | N | 垃圾类型 | |
| 5 | garbage_level | varchar | 64 | 0 | Y | N | 垃圾级别 | |
| 6 | junk_images | varchar | 255 | 0 | Y | N | 垃圾图片 | |
| 7 | acceptance_date | date | 10 | 0 | Y | N | 验收日期 | |
| 8 | acceptance_quantity | varchar | 64 | 0 | Y | N | 验收数量 | |
| 9 | acceptance_instructions | text | 65535 | 0 | Y | N | 验收说明 | |
| 10 | recommend | int | 10 | 0 | N | N | 0 | 智能推荐 |
| 11 | create_time | datetime | 19 | 0 | N | N | CURRENT_TIMESTAMP | 创建时间 |
| 12 | update_time | timestamp | 19 | 0 | N | N | CURRENT_TIMESTAMP | 更新时间 |
表garbage_classification (垃圾分类)
| 编号 | 名称 | 数据类型 | 长度 | 小数位 | 允许空值 | 主键 | 默认值 | 说明 |
| 1 | garbage_classification_id | int | 10 | 0 | N | Y | 垃圾分类ID | |
| 2 | garbage_category | varchar | 64 | 0 | Y | N | 垃圾类别 | |
| 3 | garbage_level | varchar | 64 | 0 | Y | N | 垃圾级别 | |
| 4 | recommend | int | 10 | 0 | N | N | 0 | 智能推荐 |
| 5 | create_time | datetime | 19 | 0 | N | N | CURRENT_TIMESTAMP | 创建时间 |
| 6 | update_time | timestamp | 19 | 0 | N | N | CURRENT_TIMESTAMP | 更新时间 |
| 编号 | 名称 | 数据类型 | 长度 | 小数位 | 允许空值 | 主键 | 默认值 | 说明 |
| 1 | garbage_disposal_id | int | 10 | 0 | N | Y | 垃圾投放ID | |
| 2 | garbage_bin_number | varchar | 64 | 0 | Y | N | 垃圾桶编号 | |
| 3 | garbage_name | varchar | 64 | 0 | Y | N | 垃圾名称 | |
| 4 | garbage_type | varchar | 64 | 0 | Y | N | 垃圾类型 | |
| 5 | garbage_level | varchar | 64 | 0 | Y | N | 垃圾级别 | |
| 6 | placing_users | int | 10 | 0 | Y | N | 0 | 投放用户 |
| 7 | user_name | varchar | 64 | 0 | Y | N | 用户姓名 | |
| 8 | release_quantity | varchar | 64 | 0 | Y | N | 投放数量 | |
| 9 | release_time | datetime | 19 | 0 | Y | N | 投放时间 | |
| 10 | launch_instructions | text | 65535 | 0 | Y | N | 投放说明 | |
| 11 | recommend | int | 10 | 0 | N | N | 0 | 智能推荐 |
| 12 | create_time | datetime | 19 | 0 | N | N | CURRENT_TIMESTAMP | 创建时间 |
| 13 | update_time | timestamp | 19 | 0 | N | N | CURRENT_TIMESTAMP | 更新时间 |
| 编号 | 名称 | 数据类型 | 长度 | 小数位 | 允许空值 | 主键 | 默认值 | 说明 |
| 1 | garbage_information_id | int | 10 | 0 | N | Y | 垃圾信息ID | |
| 2 | garbage_bin_number | varchar | 64 | 0 | Y | N | 垃圾桶编号 | |
| 3 | garbage_name | varchar | 64 | 0 | Y | N | 垃圾名称 | |
| 4 | garbage_type | varchar | 64 | 0 | Y | N | 垃圾类型 | |
| 5 | garbage_level | varchar | 64 | 0 | Y | N | 垃圾级别 | |
| 6 | junk_images | varchar | 255 | 0 | Y | N | 垃圾图片 | |
| 7 | introduction_to_garbage | varchar | 64 | 0 | Y | N | 垃圾简介 | |
| 8 | handling_method | text | 65535 | 0 | Y | N | 处理方式 | |
| 9 | garbage_details | longtext | 2147483647 | 0 | Y | N | 垃圾详情 | |
| 10 | hits | int | 10 | 0 | N | N | 0 | 点击数 |
| 11 | praise_len | int | 10 | 0 | N | N | 0 | 点赞数 |
| 12 | recommend | int | 10 | 0 | N | N | 0 | 智能推荐 |
| 13 | create_time | datetime | 19 | 0 | N | N | CURRENT_TIMESTAMP | 创建时间 |
| 14 | update_time | timestamp | 19 | 0 | N | N | CURRENT_TIMESTAMP | 更新时间 |
| 编号 | 名称 | 数据类型 | 长度 | 小数位 | 允许空值 | 主键 | 默认值 | 说明 |
| 1 | ordinary_users_id | int | 10 | 0 | N | Y | 普通用户ID | |
| 2 | user_name | varchar | 64 | 0 | Y | N | 用户姓名 | |
| 3 | user_gender | varchar | 64 | 0 | Y | N | 用户性别 | |
| 4 | examine_state | varchar | 16 | 0 | N | N | 已通过 | 审核状态 |
| 5 | recommend | int | 10 | 0 | N | N | 0 | 智能推荐 |
| 6 | user_id | int | 10 | 0 | N | N | 0 | 用户ID |
| 7 | create_time | datetime | 19 | 0 | N | N | CURRENT_TIMESTAMP | 创建时间 |
| 8 | update_time | timestamp | 19 | 0 | N | N | CURRENT_TIMESTAMP | 更新时间 |
用户通过提供有效的用户名和密码进行登录,系统将验证用户输入的凭据,并根据验证结果判断是否授予用户访问权限。登录成功后,用户可以进一步使用系统提供的其他功能和服务。用户登录流程图如下所示。

图5-1 用户登录流程图
登录界面如下图所示。

图5-1 登录界面
登录关键代码如下所示。



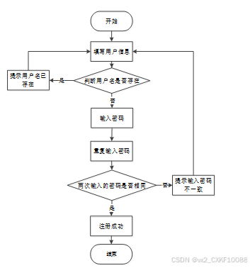
用户填写必要的注册信息,如用户名、密码和个人资料等,并进行提交。系统将验证输入信息的有效性和唯一性,如果满足条件,则创建新的用户账户。注册成功后,用户可以使用所创建的账户登录系统,并享受系统提供的各项功能和服务。用户注册流程图如下所示。

图5-4 用户注册流程
用户注册界面如下图所示。

图5-1 用户注册界面
注册关键代码如下:

用户通过提供当前密码和新密码进行密码修改操作。系统将验证当前密码的准确性,并确认新密码的合法性和安全性。如果验证通过,则更新用户账户中的密码信息。密码修改功能的设计应考虑密码强度要求、用户友好性和安全性等方面,以确保用户能够方便、安全地修改自己的密码。密码修改流程图如下所示。

图5-1 密码修改流程图
密码修改界面如图所示。

图5-1 密码修改界面
用户可以通过系统查询特定垃圾的分类、处理方式等相关信息。用户提供垃圾名称或关键词进行查询,系统将根据输入进行匹配并展示相应的垃圾信息。用户可以查看垃圾的分类类别、处理方法、可回收性等详细信息。界面如下图所示。

图5-1 垃圾信息详情查看界面
用户选择相应的垃圾分类,填写投放信息如日期、地点等,并提交至系统。系统将保存投放记录并进行验收操作。用户可以随时查看垃圾投放记录和相关验收结果。垃圾投放功能的设计需要考虑数据的准确性、投放信息的完整性和用户体验,以方便用户记录垃圾投放情况,并确保垃圾得到正确的处理和回收。垃圾投放流程图如下所示。

图5-1 垃圾投放流程图
垃圾投放界面如图所示。

图5-1 垃圾投放界面
管理员可以查看用户列表、审核注册申请、禁用或删除用户账户等操作。管理员还可以修改用户信息、重置密码以及分配权限等。用户管理功能的设计需要考虑安全性、权限控制和用户操作的便捷性,以确保管理员能够有效地管理用户账户,并保障系统的安全和正常运行。用户管理界面如下图所示。

图5-1 用户管理界面
用户管理关键代码如下所示。

管理员可以添加、编辑或删除垃圾信息,包括垃圾的名称、分类、处理方式等。管理员还可以更新垃圾信息的相关数据,并确保信息的准确性和完整性。垃圾信息管理功能的设计需要考虑数据的可靠性、操作的便捷性和信息的一致性,以提供准确、全面的垃圾分类信息,为用户提供参考和指导。垃圾信息管理流程如下图所示。

图5-1 垃圾信息管理流程
垃圾信息管理界面如下图所示。

图5-1 垃圾信息管理界面
垃圾信息管理关键代码如下:

管理员可以查看和审核用户的垃圾投放记录,包括投放日期、地点和分类等信息。管理员还可以进行垃圾投放的验收操作,确认垃圾的正确分类和处理结果,并记录验收结果。垃圾投放管理流程如下图所示。

图5-1 垃圾投放管理流程
垃圾投放管理如下图所示。

图5-1 垃圾投放管理界面
垃圾投放管理关键代码如下所示。

管理员可以查看垃圾投放的验收记录,包括验收日期、地点和结果等信息。管理员还可以录入和更新垃圾的验收结果,并将其反馈给用户。验收信息管理的流程如所示。

图5-1验收信息管理流程
验收信息管理界面如所示。

图5-1 验收信息管理界面
在测试目的是为了验证系统的功能、性能和稳定性,以确保系统在实际应用中能够达到预期的要求。通过测试,可以发现潜在的问题和缺陷,并及时进行修复和改进。测试还可以评估系统的可靠性、安全性和用户体验,以提供一个高质量和可信赖的产品。此外,测试也有助于验证系统是否满足用户需求和预期,是否符合相应的标准和规范。总之,测试的目的是为了确保系统的质量和可靠性,从而为用户提供良好的使用体验和价值。
系统测试包括:用户登录、密码修改、垃圾信息查看、垃圾投放、垃圾验收,如表6-1、6-2、6-3、6-4、6-5所示:
表6-1 用户登录功能测试用例
| 测试用例编号 | 测试用例描述 | 预期结果 |
| TC001 | 输入正确的用户名和密码 | 登录成功,跳转到首页 |
| TC002 | 输入不存在的用户名 | 提示用户不存在 |
| TC003 | 输入错误的密码 | 提示密码错误 |
| TC004 | 输入为空的用户名和密码 | 提示请输入用户名和密码 |
表6-2 密码修改功能测试用例
| 测试用例编号 | 测试用例描述 | 预期结果 |
| TC001 | 输入正确的当前密码和新密码 | 密码修改成功 |
| TC002 | 输入错误的当前密码 | 提示当前密码错误 |
| TC003 | 输入与当前密码相同的新密码 | 提示新密码不能与当前密码相同 |
| TC004 | 输入不符合要求的新密码 | 提示新密码格式错误 |
表6-3 垃圾信息查看功能测试用例
| 测试用例编号 | 测试用例描述 | 预期结果 |
| TC001 | 输入存在的垃圾名称查询 | 显示对应垃圾的分类和处理方式 |
| TC002 | 输入不存在的垃圾名称查询 | 提示垃圾信息不存在 |
| TC003 | 输入为空的垃圾名称查询 | 提示请输入垃圾名称 |
表6-4 垃圾投放功能测试用例
| 测试用例编号 | 测试用例描述 | 预期结果 |
| TC001 | 选择正确的垃圾分类,填写有效的投放信息 | 投放成功 |
| TC002 | 选择不存在的垃圾分类 | 提示请选择有效的垃圾分类 |
| TC003 | 输入无效的投放日期 | 提示请输入有效的日期 |
表6-5 垃圾验收功能测试用例
| 测试用例编号 | 测试用例描述 | 预期结果 |
| TC001 | 输入有效的验收信息 | 验收成功 |
| TC002 | 输入无效的验收信息 | 提示请输入有效的验收信息 |
| TC003 | 验收已被拒绝的垃圾投放 | 提示该垃圾投放未通过验收 |
在对系统功能进行测试后,得出以下测试结果小结:用户登录、密码修改和垃圾信息查看功能均正常工作,符合预期结果。垃圾投放功能在输入有效的信息时成功,但在输入无效或错误的信息时会进行相应的提示。垃圾验收功能也能够根据输入的信息进行验收操作,并给出相应的结果。总体而言,系统的功能经过测试验证,可以满足用户的需求并运行良好。然而,仍需要注意对异常情况的处理和用户友好性的优化。
结 论
本篇论文基于SSM框架开发了一个垃圾分类系统,通过Java语言和MySQL数据库实现了用户注册登录、密码修改、垃圾信息查看、垃圾投放和垃圾验收等功能。经过系统的设计、开发和测试,取得了一定的成果和效果。
总结来看,通过使用SSM框架,我们成功地搭建了一个具有良好可扩展性和灵活性的垃圾分类系统。该系统能够满足用户的基本需求,包括登录、密码管理、垃圾信息查看与投放、垃圾验收等功能。在开发过程中,我们充分利用了SSM框架的特性,如Spring的依赖注入和事务管理、SpringMVC的请求处理和MyBatis的数据库操作,提高了开发效率和代码的可维护性。
然而,在系统开发中也存在一些不足之处。首先,在系统的界面设计上可能还有改进的空间,可以更加注重用户体验,使界面更简洁直观。其次,对于系统的安全性和权限控制方面,可以进一步加强,例如引入身份验证和授权机制,以确保用户数据和系统的安全性。此外,为了更好地适应垃圾分类领域的发展和需求,可以进一步完善系统的功能,如增加垃圾分类指南的更新、推送通知等功能。此外,与其他相关系统进行数据交互和信息共享也是未来发展的方向。
总体而言,通过本次论文的研究与开发,我们成功地实现了一个基于SSM框架的垃圾分类系统,并取得了一定的成果。然而,仍需进一步改进和完善系统,以满足用户的更多需求和适应垃圾分类领域的发展。
参考文献
[1]黄骏鑫. 建筑垃圾分类系统[P]. 广东省: CN116605674B, 2024-01-02.
[2]秦蒙,王宇翔,程美芸等. 基于STM32单片机的智能垃圾分类系统设计与实现 [J]. 重庆电力高等专科学校学报, 2023, 28 (S1): 12-15.
[3]袁爱平,陈畅,孙士兵等. 基于SSM框架的高校学生信息管理系统设计与实现 [J]. 工业控制计算机, 2023, 36 (12): 127-129.
[4]储佳乐,宛楠,叶晓龙等. 医疗垃圾分类系统的设计与实现 [J]. 福建电脑, 2023, 39 (12): 112-115.
[5]张莉彦,钱育浩,罗伟等. 基于体积扫描容重法的社区垃圾分类系统研究 [J]. 包装工程, 2023, 44 (21): 221-228.
[6]Xiao Z ,Ali Y ,Xin W , et al. Sports Work Strategy of College Counselors Based on MySQL Database Big Data Analysis [J]. International Journal of Information Technology and Web Engineering (IJITWE), 2023, 18 (1): 1-14.
[7]朱毅泓,郭常盈,苏智宇. 智能垃圾分类系统的设计 [J]. 现代计算机, 2023, 29 (20): 99-103.
[8]朱辰,张西晨,李森杰等. 基于云边协同的智能垃圾分类系统设计 [J]. 实验技术与管理, 2023, 40 (09): 74-80+186.
[9]Karthik G ,Debashish M ,Jagoda C , et al. Developing a MySQL Database for the Provenance of Black Tiger Prawns (Penaeus monodon). [J]. Foods (Basel, Switzerland), 2023, 12 (14):
[10]Sunday O B ,Nduka O S . MySQL Database Server: Deploying Software Application to Enhance Visibility and Accountability [J]. Current Journal of Applied Science and Technology, 2023, 42 (4): 16-23.
[11]Yi Z ,Hancheng H ,Zhixiang L , et al. Intelligent garbage classification system based on improve MobileNetV3-Large [J]. Connection Science, 2022, 34 (1): 1299-1321.
[12]Wang L ,Jiang J ,Li N , et al. Design and Implementation of Garbage Classification System under the "Double Carbon" Target [J]. International Journal of Frontiers in Sociology, 2022, 4.0 (6.0):
[13]Sriratana W ,Khagwian V ,Satthamsakul S . Analysis of Electric Current by Using MySQL Database on Web Server for Machine Performance Evaluation: A Case Study of Air Conditioning System [J]. 제어로봇시스템학회 국제학술대회 논문집, 2020,
[14]王高捍, 垃圾智能分类系统平台关键技术研发. 天津市, 天津同创云科技术股份有限公司, 2020-08-14.
[15]董子源. 基于深度学习的垃圾分类系统设计与实现[D]. 中国科学院大学(中国科学院沈阳计算技术研究所), 2020.
致 谢
在此我要由衷感谢所有支持和帮助我的人。首先,由衷地感谢我的指导教师,大家都给予了我宝贵的指导和建议,顺利完成了研究工作离不开他们的帮助。他们的专业知识和经验对我产生了深远的影响。此外,感谢我的家人和朋友,在整个研究过程中给予了我无尽的鼓励和支持。他们相信我能够克服困难、坚持不懈地追求目标,这让我时刻保持积极向上的心态。最重要的是,我要感谢自己。在研究的过程中,少不了各种挑战和困难,但我从未放弃,始终保持着坚定的信念和努力的精神。正是这种勇气和毅力使我能够完成这项研究工作,并取得了令人满意的成果。
通过这次研究,我学到了很多知识和技能,也收获了自信和成长。我相信,只要我坚持努力和持续学习,就能够实现更大的成就和突破。因此,我将继续努力,为自己的梦想奋斗,成为一个有影响力和有价值的人。最后,我再次向所有支持和帮助过我的人表示深深的感谢。你们的支持是我前进的动力,我会铭记于心,并用更好的成绩回报你们的期望和信任。谢谢!
免费领取项目源码,请关注❥点赞收藏并私信博主,谢谢~
2057

被折叠的 条评论
为什么被折叠?



