摘 要
ABSTRACT
1. 绪论
1.1 研究背景及意义
1.2 研究意义
1.3 国内外研究现状
1.3.1 国内外研究现状
1.3.2 国外研究现状
2. 相关技术
2.1 JAVA语言
2.2 Spring Boot框架
2.3 MySQL数据库
3. 系统分析
3.1 需求分析
3.1.1 员工用户功能分析
3.1.2 管理员功能模块:
3.1.3 普通用户功能模块:
3.1.4 客服用户功能模块:
3.2 可行性分析
3.2.1 技术可行性
3.2.2 经济可行性
3.2.3 操作可行性
4. 系统设计
4.1 系统结构功能设计
4.2 数据库设计
4.2.1 E-R图设计
4.2.2 数据库表设计
5. 系统实现
5.1 前台用户功能模块
5.1.1 前台用户注册
5.1.2 前台用户登录
5.1.3 前台首页界面
5.1.4 药品资讯模块
5.1.5 药品商城模块
5.1.6 商城管理界面
5.1.7 客服咨询界面
5.1.8 个人中心界面
5.2 管理员功能模块
5.2.1 用户管理
5.2.2 药品库存管理模块
5.2.3 系统管理模块
5.2.4 公告消息管理
5.2.5 资源管理
5.2.6 分类管理
5.2.7 订单列表管理
5.2.8 订单配送管理
5.3 员工用户功能模块
5.3.1 药品库存管理
5.3.2 药品入库管理
5.3.3 药品出库管理
5.3.4 药品商城管理
5.4 客服用户功能模块
5.4.1 客服咨询管理
6. 系统测试
6.1 系统测试的目的
6.2 测试用例
6.2.1 评论测试
6.2.2 创建数据测试
6.2.3 修改数据测试
6.2.4 查询数据测试
6.3 测试结果
结 论
参考文献
致 谢
本论文旨在设计和实现基于Spring Boot框架的药房销售系统,以应对现代药品销售管理面临的挑战。传统的药房销售管理方式存在着信息不透明、流程繁琐、效率低下等问题,因此迫切需要一套高效、实时的系统来优化药品销售流程。
本系统包括药品库存管理、药品入库管理、药品出库管理、客服咨询管理、系统管理、公告消息管理、资源管理、商城管理等八大主要模块,旨在实现药品销售全流程的信息化管理。通过Spring Boot框架的应用,系统具有快速搭建、轻量级、易扩展等特点,为药房销售管理提供了便捷而高效的解决方案。
在系统设计阶段,采用了面向对象的设计思想,合理划分各个模块之间的关系和功能,确保系统的稳定性和可维护性。在开发过程中,充分利用Spring Boot框架提供的自动化配置和快速开发特性,简化了开发流程,提高了开发效率。
通过对系统进行功能测试和性能优化,验证了系统的稳定性和可靠性。同时,与传统的药房销售管理方式相比,本系统在效率、准确性和用户体验等方面都取得了明显的提升,为药房销售管理带来了新的解决方案。
关键词:药房销售系统;Java;MySQL
This paper aims to design and implement pharmacy sales systems based on the Spring Boot framework to meet the challenges of modern drug sales management. Traditional pharmacy sales management methods have problems such as opaque information, cumbersome process and low efficiency, so an efficient and real-time system is urgently needed to optimize the drug sales process.
The system includes eight major modules, including drug inventory management, drug warehousing management, drug warehousing management, customer service consulting management, system management, announcement message management, resource management and mall management, aiming to realize the information management of the whole process of drug sales. Through the application of Spring Boot framework, the system has the characteristics of rapid construction, lightweight, easy expansion and so on, which provides a convenient and efficient solution for pharmacy sales management.
In the system design stage, the object-oriented design idea is adopted to reasonably divide the relationships and functions between each module to ensure the stability and maintainability of the system. In the development process, we make full use of the automated configuration and rapid development features provided by the Spring Boot framework to simplify the development process and improve the development efficiency.
The stability and reliability of the system are verified by functional testing and performance optimization. At the same time, compared with the traditional pharmacy sales management mode, the system has achieved significant improvement in terms of efficiency, accuracy and user experience, bringing new solutions for pharmacy sales management.
Key words: pharmacy sales system; Java; MySQL
随着信息科技的飞速发展,特别是大数据、云计算、物联网和人工智能等前沿技术的不断成熟与应用,传统行业正在经历深刻的变革。药房行业作为医药产业链的重要组成部分,其信息化、智有彪化、高效化的需求曰益任下信息不对管理模式存在诸多问题,如效率低下、信息不对称、库存管理困难等,这些问题严重制约了药房行业的进一步发展。
具体而言,传统药房在销售环节通常依赖人工操作,包括药品的录入、查询、销售统计等,不仅效率低下,而且容易出错。同时,药房在库存管理方面,由于缺乏实时的数据支持和智能分析,往往导致库存积压或药品短缺,进而影响到患者的用药体验和药房的经济效益。此外,阻有色务医药政策的不断调整和市场环境的变化,药房行业面临的竞争压力也在不断增加,如何提升药房的核心竞争力,成为行业关注的焦点。
从理论价值来看,药房销售系统的研究有助于丰富和完善药房管理理论。通过深入研究药房销售系统的功能、结构、运行机制等,可以形成—套科学、系统的药房管理理论体系,为药房行业的规范化、标准化发展提供理论支撑。
从实践意义来看,药房销售系统的研究对于提升药房的销售效率、优化库存管理、提高患者满意度等方面具有显著作用。具体而言,该系统可以实现药品信息的自动化录入和查询。减少人工操作的错误率,提高销售效率;同时,通过智能分析和预则,实现对药品库存的精准管理,避免库存积压和药品短缺的情况发生;此外,通过优化服务流程,提升患者的购药体验,增强药房的品牌形象和口碑。
此外。药房销售系统的研究还有助于推动药房行业的数字化转型。数字化转型是当前各行业发展的重要趋势。通过引入现代信息技术,可以推动药房行业的业务模式、管理模式、服务模式等方面的创新,为行业的可持续发展注入新的动力。
综上所述,药房销售系统的研究具有重要的现实意义和长远价值,值得深入探索和实践。
在国内,药房销售系统的研究与应用正日益受到重视。随着医疗行业的快速发展和市场竞争的加剧,药房作为医疗服务体系的重要组成部分,其销售系统的效率和准确性对提升药店竞争力至关重要。近年来,国内众多学者和机构对药房销售系统进行了深入研究,提出了许多创新性的解决方案。这些系统大多采用先进的技术手段,如大数据分析、人工智能等,以实现药品销售过程的智能化和自动化。
然而,国内药房销售系统仍面临一些挑战和问题。首先,由于药品销售的特殊性和复杂性,药房销售系统需要充分考虑药品的库存管理、销售管理、采购管理等多个环节,确保数据的准确性和一致性。其次,药房销售系统还需要与医疗机构的信息系统进行对接,实现信息共享和协同工作。这要求系统具备良好的兼容性和可扩展性。
相比之下,国外在药房销售系统方面的研究与应用相对成熟。欧美等发达国家的医疗信息化建设起步较早,药房销售系统已经得到了广泛应用。这些系统通常具备较高的智能化水平,能够实现对药品销售过程的全面监控和管理。同时,国外药房销售系统还注重用户体验和个性化服务,通过提供便捷的购药渠道、智能化的用药提醒等功能,提升消费者的购药体验。
未来,随着技术的不断进步和医疗行业的持续发展,药房销售系统将继续得到优化和升级。国内药房销售系统有望借鉴国外的先进经验和技术,不断提升自身的智能化水平和用户体验,为药店的可持续发展提供有力支持。同时,政府和企业也应加大对药房销售系统研发和推广的投入力度,推动整个行业的转型升级。
综上所述,药房销售系统作为医疗服务体系的重要组成部分,其研究与应用在国内外都取得了显著进展。然而,仍需要继续加强技术创新和人才培养,以推动药房销售系统的进一步发展,为提升药店竞争力和满足消费者需求做出更大贡献。
Java语言在计算机的程序应用过程当中,属于非常重要的一个应用软件,因为它的性能比较高,而且能够应用在多重领域 当中,因此该程序在计算机的软件程序应用当中的范围相对来说是比较广泛的。而从专业的技术角度来说,Java程序的应用的 实用性也是非常强的,这是因为它与传统的C语言或C++相比没有太大的基本结构的变化,也就是说它的语法结构是相对单一 ,而且具有稳定的特性,还有更重要的一点是Java程序语言的基本参考对象就是C语言,所以他的程序编写并不是很复杂,而且 还能够起到优化工作效率提升系统设计本身的基础功能的作用,因此他也就受到了非常广泛的程序员们的青睐。 在此次进行系统设计开发研究的过程当中,还发现Java程序语言之所以能够得到市场上更多用户的好评和青睐,其根本原 因在于他能够具备各种语言的自身独特优点的展现,也就是说它的兼容性是常强的。因此,我们因此我们可以说在任何一个程序的开发过程当中,Java语言程序的应用是必不可少的,它他在程序员进行改动的时候,哪怕是一个程序字母的改动,都可以 形成一种特定的程序,这是 Java程序,非常独特的另一个优点。不仅如此,Java源程序的可移植性也是非常大,而且它的安全 系数很高,能够通过不同方式进行移植到其他程序当中,而且可以兼容不同程序的系统,在运行的过程当中,其安全系数也是 非常强的,能够确保用户在使用网络的过程当中去确保网络的安全,而正是基于这样的可移植性,为程序员节约了很多的系统 语言程序的开发设计的时间,这是非常难得的一种自有优势。
SpringBoot是一个用于创建独立的、基于Spring的应用程序的框架。它简化了基于Java的应用程序的开发过程,提供了一种快速构建可部署的生产级应用程序的方式。它的主要特点是自动配置和约定优于配置。它通过使用默认值和自动配置来减少开发人员的配置工作量,使开发过程更加简单和高效。它还提供了一个起步依赖(Starter POM)的概念,可以一站式引入相关的依赖库和配置,以快速搭建项目。
它还具有内嵌的Web服务器,如Tomcat或Jetty,这使得应用程序可以作为一个独立的可执行JAR文件运行。此外,它还提供了健康检查、度量指标、安全性等方面的功能,帮助开发人员更好地管理和监控应用程序。它采用了Spring框架的核心功能,如依赖注入、面向切面编程等,并结合了其他开源项目,如Spring Data、Spring Security等,提供了丰富的功能和扩展性。
综上所述,SpringBoot是一个简化了Spring应用程序开发的框架,它提供了自动配置、约定优于配置、起步依赖等特性,使得开发人员可以更加便捷地构建可部署的应用程序。它的出现极大地简化了Java开发过程,提高了开发效率和项目的可维护性[15]。
MySQL是一个经过长期发展和测试的成熟数据库系统,它支持事务处理,并提供了ACID(原子性、一致性、隔离性和持久性)特性,这确保了数据的完整性和一致性。此外,MySQL还支持热备份和复制,能轻松实现高可用性和故障恢复,为业务连续性提供了坚实的保障。MySQL在处理大量数据时表现出色,它使用了高效的存储引擎,如InnoDB和MyISAM,可以处理高并发的读写操作。同时,MySQL提供了索引和查询优化功能,可以通过优化查询语句和创建适当的索引来提高查询性能,满足快速响应和大规模数据处理的需求。
随着医疗行业的快速发展,药房销售管理面临着越来越大的挑战。传统的药房销售管理方式,如手工记录和纸质化管理,已经无法满足现代仓库管理的需求。因此,开发一个高效、实时的药房销售系统显得尤为重要。基于springboot的药房销售系统正是在这样的背景下应运而生,该款系统包括:药品库存管理、药品入库管理、药品出库管理、客服咨询管理、系统管理、公告消息管理、资源管理、商城管理等八大主要模块。
员工用户注册登录成功后,可以进行药品库存管理、药品入库管理、药品出库管理、商城管理等功能。
详细功能描述如下:
药品库存管理:员工可以在此模块下输入相关信息进行查询,同时可以进行药品的入库、出库等操作。
药品入库管理:员工用户可以高效地进行药品入库操作,记录药品的入库信息,如药品名称、规格、数量等,并自动生成入库单,简化入库流程,提高工作效率。
药品出库管理:药品出库管理功能使得员工用户能够准确记录药品的出库信息,包括出库时间、出库数量、出库备注等,确保药品出库流程的规范化和可追溯性。
商城管理:药品商城功能提供了一个在线购药平台,员工用户可以添加管理药品的展示方式、价格等信息,为用户提供便捷的在线购药体验。
员工用例图如图3-1所示。

图3-1 员工用户用例图
管理员登录成功后,可以进行用户管理、药品库存管理、药品入库管理、药品出库管理、客服咨询、系统管理、资源管理、公告消息管理、商城管理等功能。
详细功能描述如下:
系统用户管理:管理员可以方便地管理各类系统用户,包括设置管理员、员工用户、客服用户和普通用户的权限和角色,确保不同用户能够访问和操作与其职责相符的功能和数据。
药品库存管理:通过药品库存管理功能,管理员能够实时掌握药品的库存情况,包括库存数量、有效期等信息,便于及时补货和调整库存策略。
药品入库管理:管理员可以查看和管理药品入库信息,记录药品的入库信息,如药品名称、规格、数量等,并自动生成入库单,简化入库流程,提高工作效率。
药品出库管理:药品出库管理功能使得管理员能够查看员工用户添加药品的出库信息,包括出库时间、出库数量、出库备注等,确保药品出库流程的规范化和可追溯性。
客服咨询管理:管理员可以监控并管理客服咨询记录,及时响应和解决用户的疑问和问题,提升客户满意度和忠诚度。
系统管理:通过轮播图管理功能,管理员可以轻松更换和调整网站或应用的首页轮播图,展示最新的药品资讯和促销活动,吸引用户的注意力。
公告消息管理:管理员可以发布和编辑公告消息,及时向用户传达重要的通知和信息,确保用户能够及时了解公司的最新动态和政策。
资源管理:资源管理功能涵盖了药品资讯和资讯分类的管理,管理员可以方便地添加、编辑和删除药品资讯内容,并设置合理的分类结构,方便用户浏览和查询。
药品商城:药品商城功能提供了一个在线购药平台,管理员可以查看员工用户添加的药品的详细信息,如药品的展示方式、价格等信息,为用户提供便捷的在线购药体验。
分类列表:通过分类列表功能,管理员可以对药品进行分类管理,设置清晰的分类结构,方便用户根据自己的需求快速找到所需药品。
订单列表:订单列表功能使得管理员能够查看和管理所有用户的订单信息,包括订单状态、订单详情等,便于订单处理和售后服务。
订单配送:订单配送功能支持管理员跟踪订单的配送状态,确保药品能够准确、及时地送达用户手中,提升用户的购物体验。
管理员用例图如图3-2所示。

图3-2 管理员用例图
用户注册登录成功后,用户功能包括首页、网站公告、药品资讯、药品商城、商城管理(我的地址、我的购物车、我的订单)、我的账户、个人中心等功能。
详细功能描述如下:
公告消息:用户可在此查看平台发布的最新公告,包括活动通知、系统升级提示等,确保用户能及时了解平台的最新动态和变化。
药品资讯:此模块为用户提供丰富的药品信息,包括新药发布、药品疗效解读、用药指南等,帮助用户更好地了解药品知识,合理选购和使用药品。
药品商城:用户可以在药品商城中浏览并购买各类药品,商城提供了详细的药品分类和搜索功能,方便用户快速找到所需的药品。
客服咨询:用户可以通过客服咨询模块与平台的客服人员进行实时沟通,咨询药品信息、订单状态等问题,客服人员会及时为用户解答疑问。
商城管理:
- 我的订单:我的订单功能是用户管理自己购物订单的重要工具。用户可以在这里查看所有已下单的订单信息,包括订单状态、配送进度等。同时,用户还可以对订单进行取消、修改等操作,确保购物过程顺利无阻。
- 我的购物车:我的购物车功能是用户暂存和管理心仪商品的重要场所。用户可以将感兴趣的商品加入购物车,方便随时查看和比较。在购物车内,用户可以调整商品数量、删除不需要的商品,以及进行结算操作,轻松完成购物流程。
- 我的地址:我的地址功能是用户管理收货地址的重要工具。用户可以在这里添加、编辑和删除自己的收货地址信息,确保订单配送准确无误。同时,用户还可以设置默认地址,提高下单效率。
个人中心:
- 客服咨询:用户可以查看客服回复的咨询信息,并可对咨询信息进行查询或删除等操作。
- 订单配送:用户可以在订单配送模块查看自己的订单状态,包括待支付、待发货、已发货、已签收等状态,同时用户还可以选择配送方式和地址,确保药品能够准确送达。
- 收藏:用户可以将自己感兴趣的药品或资讯加入收藏夹,方便以后快速查看和购买,提升用户的购物体验。
普通用户用例图如图3-3所示。

图3-3 普通用户用例图
客服用户登录成功后,用户可通过在线聊天、留言等方式与客服联系,解决药品的相关问题。客服提供及时有效的解答和支持。此外,还提供在线教程和常见问题解答等功能,帮助用户了解产品,提高使用效率。我们致力于为用户提供全面、高效、贴心的服务,让用户感受到专业和用心。
客服用户用例图如图3-4所示。

图3-4 客服用户用例图
Java具有丰富的开发资源和成熟的开发框架,为系统的开发提供了强大的支持。Java拥有丰富的函数库,可以满足药房销售系统的各种需求,如数据库操作、文件操作、网络通信等。利用Java的强大功能和丰富的开发资源,可以快速构建一个高效、稳定、安全的药房销售系统。
Java作为一种成熟的开发语言,可以降低开发成本。同时,系统能够提高药房销售管理的效率和准确性,减少人工操作和错误,从而降低管理成本。通过合理的成本效益分析,可以证明基于Java的药房销售系统的设计与实现是经济可行的。系统投入使用后,可以通过提高药房销售系统的效率和安全性,降低管理成本,增加企业的经济效益。通过合理的成本效益分析、投资回报率分析和良好的兼容性、扩展性,可以证明该系统的设计与实现是经济可行的,能够为企业带来长期的经济效益。
系统采用直观易用的界面设计,用户可以轻松完成各项操作。同时,系统提供了详细的使用说明和操作指南,帮助用户快速熟悉系统功能。系统设计了清晰的药房销售管理流程,用户按照流程进行操作,可以完成药品的购买、入库、出库、库存查询等任务。系统记录了用户的所有操作日志,方便对操作进行追溯和审计。通过操作日志,可以及时发现和处理操作中的问题。通过友好的用户界面、清晰的流程设计、严格的权限控制、日志记录和错误提示等功能,确保了系统的可操作性和易用性,使用户能够顺利完成药房销售系统的管理工作。
根据系统的需求分析,得到系统的功能结构功能图,整体的系统功能结构图如图4-1所示。

图4-1 系统结构功能图
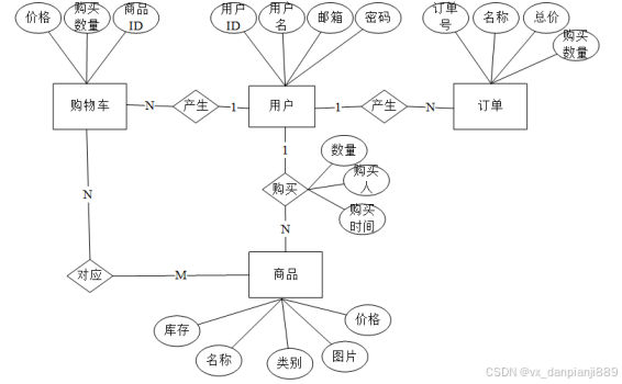
E-R图能够将复杂的现实世界系统或业务流程简化为易于理解的图形表示。通过定义实体、属性和关系,E-R图帮助开发者从混乱的信息中提炼出核心的数据结构。在系统开发的早期阶段,E-R图可以作为初步构思和规划的工具。通过绘制E-R图,开发者可以快速捕捉和记录关于系统结构的关键思想,为后续开发提供指导。E-R图在数据建模过程中有助于开发者做出更好的决策。系统整体E-R图如图4-2所示。

图4-2 总体E-R图
客服咨询实体包括盘点月份,盘点日期等属性,实体属性图如图4-3所示。

图4-3 客服咨询实体属性图
药品库存包括药品厂家,药品库存等属性,实体属性图如图4-4所示。

图4-4 药品库存实体属性图
管理员实体包括用户名,密码,头像,角色等属性,实体属性图如图4-5所示。

图4-5 管理员实体属性图
药品出库实体包括农产品出库ID,出库数量,出库日期,出库备注等属性,实体属性图如图4-6所示。

图4-6 药品出库实体属性图
商品订单实体包括支付状态,订单状态等属性,实体属性图如图4-7所示。

图4-7 商品订单实体属性图
药品入库包括入库日期,入库数量等属性,实体属性图如图4-8所示。

图4-8药品入库实体属性图
普通用户实体包括年龄,用户姓名,用户性别等属性,实体属性图如图4-9所示。

图4-9 普通用户实体属性图
数据库表为数据提供了结构化的存储方式,确保数据遵循一定的标准和规范。通过将数据分解为不同的表和字段,可以清晰地定义数据的属性和关系,减少数据冗余和不一致性。数据库表通过索引、查询优化等机制,提供了高效的数据访问和操作性能。用户可以根据需求快速检索、插入、更新和删除数据,满足各种业务场景的需求。数据库表支持各种数据完整性约束,如主键约束、外键约束、唯一性约束等。这些约束确保了数据的准确性和一致性,防止了无效数据和重复数据的产生。
|
编号 |
名称 |
数据类型 |
长度 |
小数位 |
允许空值 |
主键 |
默认值 |
说明 |
|
1 |
token_id |
int |
10 |
0 |
N |
Y |
临时访问牌ID | |
|
2 |
token |
varchar |
64 |
0 |
Y |
N |
临时访问牌 | |
|
3 |
info |
text |
65535 |
0 |
Y |
N | ||
|
4 |
maxage |
int |
10 |
0 |
N |
N |
2 |
最大寿命:默认2小时 |
|
5 |
create_time |
timestamp |
19 |
0 |
N |
N |
CURRENT_TIMESTAMP |
创建时间: |
|
6 |
update_time |
timestamp |
19 |
0 |
N |
N |
CURRENT_TIMESTAMP |
更新时间: |
|
7 |
user_id |
int |
10 |
0 |
N |
N |
0 |
用户编号: |
|
编号 |
名称 |
数据类型 |
长度 |
小数位 |
允许空值 |
主键 |
默认值 |
说明 |
|
1 |
address_id |
int |
10 |
0 |
N |
Y |
收货地址: | |
|
2 |
name |
varchar |
32 |
0 |
Y |
N |
姓名: | |
|
3 |
phone |
varchar |
13 |
0 |
Y |
N |
手机: | |
|
4 |
postcode |
varchar |
8 |
0 |
Y |
N |
邮编: | |
|
5 |
address |
varchar |
255 |
0 |
N |
N |
地址: | |
|
6 |
user_id |
mediumint |
8 |
0 |
N |
N |
用户ID:[0,8388607]用户获取其他与用户相关的数据 | |
|
7 |
create_time |
timestamp |
19 |
0 |
N |
N |
CURRENT_TIMESTAMP |
创建时间: |
|
8 |
update_time |
timestamp |
19 |
0 |
N |
N |
CURRENT_TIMESTAMP |
更新时间: |
|
9 |
default |
bit |
1 |
0 |
N |
N |
0 |
默认判断 |
|
编号 |
名称 |
数据类型 |
长度 |
小数位 |
允许空值 |
主键 |
默认值 |
说明 |
|
1 |
article_id |
mediumint |
8 |
0 |
N |
Y |
文章id:[0,8388607] | |
|
2 |
title |
varchar |
125 |
0 |
N |
Y |
标题:[0,125]用于文章和html的title标签中 | |
|
3 |
type |
varchar |
64 |
0 |
N |
N |
0 |
文章分类:[0,1000]用来搜索指定类型的文章 |
|
4 |
hits |
int |
10 |
0 |
N |
N |
0 |
点击数:[0,1000000000]访问这篇文章的人次 |
|
5 |
praise_len |
int |
10 |
0 |
N |
N |
0 |
点赞数 |
|
6 |
create_time |
timestamp |
19 |
0 |
N |
N |
CURRENT_TIMESTAMP |
创建时间: |
|
7 |
update_time |
timestamp |
19 |
0 |
N |
N |
CURRENT_TIMESTAMP |
更新时间: |
|
8 |
source |
varchar |
255 |
0 |
Y |
N |
来源:[0,255]文章的出处 | |
|
9 |
url |
varchar |
255 |
0 |
Y |
N |
来源地址:[0,255]用于跳转到发布该文章的网站 | |
|
10 |
tag |
varchar |
255 |
0 |
Y |
N |
标签:[0,255]用于标注文章所属相关内容,多个标签用空格隔开 | |
|
11 |
content |
longtext |
2147483647 |
0 |
Y |
N |
正文:文章的主体内容 | |
|
12 |
img |
varchar |
255 |
0 |
Y |
N |
封面图 | |
|
13 |
description |
text |
65535 |
0 |
Y |
N |
文章描述 |
|
编号 |
名称 |
数据类型 |
长度 |
小数位 |
允许空值 |
主键 |
默认值 |
说明 |
|
1 |
type_id |
smallint |
5 |
0 |
N |
Y |
分类ID:[0,10000] | |
|
2 |
display |
smallint |
5 |
0 |
N |
N |
100 |
显示顺序:[0,1000]决定分类显示的先后顺序 |
|
3 |
name |
varchar |
16 |
0 |
N |
N |
分类名称:[2,16] | |
|
4 |
father_id |
smallint |
5 |
0 |
N |
N |
0 |
上级分类ID:[0,32767] |
|
5 |
description |
varchar |
255 |
0 |
Y |
N |
描述:[0,255]描述该分类的作用 | |
|
6 |
icon |
text |
65535 |
0 |
Y |
N |
分类图标: | |
|
7 |
url |
varchar |
255 |
0 |
Y |
N |
外链地址:[0,255]如果该分类是跳转到其他网站的情况下,就在该URL上设置 | |
|
8 |
create_time |
timestamp |
19 |
0 |
N |
N |
CURRENT_TIMESTAMP |
创建时间: |
|
9 |
update_time |
timestamp |
19 |
0 |
N |
N |
CURRENT_TIMESTAMP |
更新时间: |
|
编号 |
名称 |
数据类型 |
长度 |
小数位 |
允许空值 |
主键 |
默认值 |
说明 |
|
1 |
auth_id |
int |
10 |
0 |
N |
Y |
授权ID: | |
|
2 |
user_group |
varchar |
64 |
0 |
Y |
N |
用户组: | |
|
3 |
mod_name |
varchar |
64 |
0 |
Y |
N |
模块名: | |
|
4 |
table_name |
varchar |
64 |
0 |
Y |
N |
表名: | |
|
5 |
page_title |
varchar |
255 |
0 |
Y |
N |
页面标题: | |
|
6 |
path |
varchar |
255 |
0 |
Y |
N |
路由路径: | |
|
7 |
position |
varchar |
32 |
0 |
Y |
N |
位置: | |
|
8 |
mode |
varchar |
32 |
0 |
N |
N |
_blank |
跳转方式: |
|
9 |
add |
tinyint |
3 |
0 |
N |
N |
1 |
是否可增加: |
|
10 |
del |
tinyint |
3 |
0 |
N |
N |
1 |
是否可删除: |
|
11 |
set |
tinyint |
3 |
0 |
N |
N |
1 |
是否可修改: |
|
12 |
get |
tinyint |
3 |
0 |
N |
N |
1 |
是否可查看: |
|
13 |
field_add |
text |
65535 |
0 |
Y |
N |
添加字段: | |
|
14 |
field_set |
text |
65535 |
0 |
Y |
N |
修改字段: | |
|
15 |
field_get |
text |
65535 |
0 |
Y |
N |
查询字段: | |
|
16 |
table_nav_name |
varchar |
500 |
0 |
Y |
N |
跨表导航名称: | |
|
17 |
table_nav |
varchar |
500 |
0 |
Y |
N |
跨表导航: | |
|
18 |
option |
text |
65535 |
0 |
Y |
N |
配置: | |
|
19 |
create_time |
timestamp |
19 |
0 |
N |
N |
CURRENT_TIMESTAMP |
创建时间: |
|
20 |
update_time |
timestamp |
19 |
0 |
N |
N |
CURRENT_TIMESTAMP |
更新时间: |
|
编号 |
名称 |
数据类型 |
长度 |
小数位 |
允许空值 |
主键 |
默认值 |
说明 |
|
1 |
cart_id |
int |
10 |
0 |
N |
Y |
购物车ID: | |
|
2 |
title |
varchar |
64 |
0 |
Y |
N |
标题: | |
|
3 |
img |
varchar |
255 |
0 |
N |
N |
0 |
图片: |
|
4 |
user_id |
int |
10 |
0 |
N |
N |
0 |
用户ID: |
|
5 |
create_time |
timestamp |
19 |
0 |
N |
N |
CURRENT_TIMESTAMP |
创建时间: |
|
6 |
update_time |
timestamp |
19 |
0 |
N |
N |
CURRENT_TIMESTAMP |
更新时间: |
|
7 |
state |
int |
10 |
0 |
N |
N |
0 |
状态:使用中,已失效 |
|
8 |
price |
double |
9 |
2 |
N |
N |
0.00 |
单价: |
|
9 |
price_ago |
double |
9 |
2 |
N |
N |
0.00 |
原价: |
|
10 |
price_count |
double |
11 |
2 |
N |
N |
0.00 |
总价: |
|
11 |
num |
int |
10 |
0 |
N |
N |
1 |
数量: |
|
12 |
goods_id |
mediumint |
8 |
0 |
N |
N |
商品id:[0,8388607] | |
|
13 |
type |
varchar |
64 |
0 |
N |
N |
未分类 |
商品分类: |
|
14 |
description |
varchar |
255 |
0 |
Y |
N |
描述:[0,255]用于产品规格描述 |
|
编号 |
名称 |
数据类型 |
长度 |
小数位 |
允许空值 |
主键 |
默认值 |
说明 |
|
1 |
collect_id |
int |
10 |
0 |
N |
Y |
收藏ID: | |
|
2 |
user_id |
int |
10 |
0 |
N |
N |
0 |
收藏人ID: |
|
3 |
source_table |
varchar |
255 |
0 |
Y |
N |
来源表: | |
|
4 |
source_field |
varchar |
255 |
0 |
Y |
N |
来源字段: | |
|
5 |
source_id |
int |
10 |
0 |
N |
N |
0 |
来源ID: |
|
6 |
title |
varchar |
255 |
0 |
Y |
N |
标题: | |
|
7 |
img |
varchar |
255 |
0 |
Y |
N |
封面: | |
|
8 |
create_time |
timestamp |
19 |
0 |
N |
N |
CURRENT_TIMESTAMP |
创建时间: |
|
9 |
update_time |
timestamp |
19 |
0 |
N |
N |
CURRENT_TIMESTAMP |
更新时间: |
|
编号 |
名称 |
数据类型 |
长度 |
小数位 |
允许空值 |
主键 |
默认值 |
说明 |
|
1 |
comment_id |
int |
10 |
0 |
N |
Y |
评论ID: | |
|
2 |
user_id |
int |
10 |
0 |
N |
N |
0 |
评论人ID: |
|
3 |
reply_to_id |
int |
10 |
0 |
N |
N |
0 |
回复评论ID:空为0 |
|
4 |
content |
longtext |
2147483647 |
0 |
Y |
N |
内容: | |
|
5 |
nickname |
varchar |
255 |
0 |
Y |
N |
昵称: | |
|
6 |
avatar |
varchar |
255 |
0 |
Y |
N |
头像地址:[0,255] | |
|
7 |
create_time |
timestamp |
19 |
0 |
N |
N |
CURRENT_TIMESTAMP |
创建时间: |
|
8 |
update_time |
timestamp |
19 |
0 |
N |
N |
CURRENT_TIMESTAMP |
更新时间: |
|
9 |
source_table |
varchar |
255 |
0 |
Y |
N |
来源表: | |
|
10 |
source_field |
varchar |
255 |
0 |
Y |
N |
来源字段: | |
|
11 |
source_id |
int |
10 |
0 |
N |
N |
0 |
来源ID: |
表customer_service_consultation (客服咨询)
|
编号 |
名称 |
数据类型 |
长度 |
小数位 |
允许空值 |
主键 |
默认值 |
说明 |
|
1 |
customer_service_consultation_id |
int |
10 |
0 |
N |
Y |
客服咨询ID | |
|
2 |
regular_users |
int |
10 |
0 |
Y |
N |
0 |
普通用户 |
|
3 |
user_name |
varchar |
64 |
0 |
Y |
N |
用户姓名 | |
|
4 |
consultation_time |
datetime |
19 |
0 |
Y |
N |
咨询时间 | |
|
5 |
consultation_content |
text |
65535 |
0 |
Y |
N |
咨询内容 | |
|
6 |
customer_service_reply |
text |
65535 |
0 |
Y |
N |
客服回复 | |
|
7 |
create_time |
datetime |
19 |
0 |
N |
N |
CURRENT_TIMESTAMP |
创建时间 |
|
8 |
update_time |
timestamp |
19 |
0 |
N |
N |
CURRENT_TIMESTAMP |
更新时间 |
表customer_service_users (客服用户)
|
编号 |
名称 |
数据类型 |
长度 |
小数位 |
允许空值 |
主键 |
默认值 |
说明 |
|
1 |
customer_service_users_id |
int |
10 |
0 |
N |
Y |
客服用户ID | |
|
2 |
customer_service_name |
varchar |
64 |
0 |
Y |
N |
客服姓名 | |
|
3 |
customer_service_gender |
varchar |
64 |
0 |
Y |
N |
客服性别 | |
|
4 |
examine_state |
varchar |
16 |
0 |
N |
N |
已通过 |
审核状态 |
|
5 |
user_id |
int |
10 |
0 |
N |
N |
0 |
用户ID |
|
6 |
create_time |
datetime |
19 |
0 |
N |
N |
CURRENT_TIMESTAMP |
创建时间 |
|
7 |
update_time |
timestamp |
19 |
0 |
N |
N |
CURRENT_TIMESTAMP |
更新时间 |
|
编号 |
名称 |
数据类型 |
长度 |
小数位 |
允许空值 |
主键 |
默认值 |
说明 |
|
1 |
drugs_warehousing_id |
int |
10 |
0 |
N |
Y |
药品入库ID | |
|
2 |
drug_name |
varchar |
64 |
0 |
Y |
N |
药品名称 | |
|
3 |
drug_classification |
varchar |
64 |
0 |
Y |
N |
药品分类 | |
|
4 |
drug_specifications |
varchar |
64 |
0 |
Y |
N |
药品规格 | |
|
5 |
drug_manufacturers |
varchar |
64 |
0 |
Y |
N |
药品厂家 | |
|
6 |
employee_users |
int |
10 |
0 |
Y |
N |
0 |
员工用户 |
|
7 |
employee_id |
varchar |
64 |
0 |
Y |
N |
员工工号 | |
|
8 |
employee_name |
varchar |
64 |
0 |
Y |
N |
员工姓名 | |
|
9 |
storage_date |
date |
10 |
0 |
Y |
N |
入库日期 | |
|
10 |
inventory_quantity |
int |
10 |
0 |
Y |
N |
0 |
入库数量 |
|
11 |
storage_remarks |
varchar |
64 |
0 |
Y |
N |
入库备注 | |
|
12 |
create_time |
datetime |
19 |
0 |
N |
N |
CURRENT_TIMESTAMP |
创建时间 |
|
13 |
update_time |
timestamp |
19 |
0 |
N |
N |
CURRENT_TIMESTAMP |
更新时间 |
|
编号 |
名称 |
数据类型 |
长度 |
小数位 |
允许空值 |
主键 |
默认值 |
说明 |
|
1 |
drug_inventory_id |
int |
10 |
0 |
N |
Y |
药品库存ID | |
|
2 |
product_name |
varchar |
64 |
0 |
N |
N |
商品名称 | |
|
3 |
product_classification |
varchar |
64 |
0 |
Y |
N |
商品分类 | |
|
4 |
drug_specifications |
varchar |
64 |
0 |
Y |
N |
药品规格 | |
|
5 |
product_inventory |
int |
10 |
0 |
Y |
N |
0 |
药品库存 |
|
6 |
drug_manufacturers |
varchar |
64 |
0 |
Y |
N |
药品厂家 | |
|
7 |
effective_date |
date |
10 |
0 |
Y |
N |
有效日期 | |
|
8 |
product_images |
varchar |
255 |
0 |
Y |
N |
商品图片 | |
|
9 |
create_time |
datetime |
19 |
0 |
N |
N |
CURRENT_TIMESTAMP |
创建时间 |
|
10 |
update_time |
timestamp |
19 |
0 |
N |
N |
CURRENT_TIMESTAMP |
更新时间 |
|
编号 |
名称 |
数据类型 |
长度 |
小数位 |
允许空值 |
主键 |
默认值 |
说明 |
|
1 |
drug_mall_id |
int |
10 |
0 |
N |
Y |
药品商城ID | |
|
2 |
purchase_notice |
varchar |
64 |
0 |
Y |
N |
购买须知 | |
|
3 |
cart_title |
varchar |
125 |
0 |
Y |
N |
标题:[0,125]用于产品html的标签中 | |
|
4 |
cart_img |
text |
65535 |
0 |
Y |
N |
封面图:用于显示于产品列表页 | |
|
5 |
cart_description |
varchar |
255 |
0 |
Y |
N |
描述:[0,255]用于产品规格描述 | |
|
6 |
cart_price_ago |
double |
8 |
2 |
N |
N |
0.00 |
原价:[1] |
|
7 |
cart_price |
double |
8 |
2 |
N |
N |
0.00 |
卖价:[1] |
|
8 |
cart_inventory |
int |
10 |
0 |
N |
N |
0 |
商品库存 |
|
9 |
cart_type |
varchar |
64 |
0 |
N |
N |
未分类 |
商品分类: |
|
10 |
cart_content |
longtext |
2147483647 |
0 |
Y |
N |
正文:产品的主体内容 | |
|
11 |
cart_img_1 |
text |
65535 |
0 |
Y |
N |
主图1: | |
|
12 |
cart_img_2 |
text |
65535 |
0 |
Y |
N |
主图2: | |
|
13 |
cart_img_3 |
text |
65535 |
0 |
Y |
N |
主图3: | |
|
14 |
cart_img_4 |
text |
65535 |
0 |
Y |
N |
主图4: | |
|
15 |
cart_img_5 |
text |
65535 |
0 |
Y |
N |
主图5: | |
|
16 |
create_time |
datetime |
19 |
0 |
N |
N |
CURRENT_TIMESTAMP |
创建时间 |
|
17 |
update_time |
timestamp |
19 |
0 |
N |
N |
CURRENT_TIMESTAMP |
更新时间 |
|
编号 |
名称 |
数据类型 |
长度 |
小数位 |
允许空值 |
主键 |
默认值 |
说明 |
|
1 |
drug_outbound_id |
int |
10 |
0 |
N |
Y |
药品出库ID | |
|
2 |
drug_name |
varchar |
64 |
0 |
Y |
N |
药品名称 | |
|
3 |
drug_classification |
varchar |
64 |
0 |
Y |
N |
药品分类 | |
|
4 |
drug_specifications |
varchar |
64 |
0 |
Y |
N |
药品规格 | |
|
5 |
drug_manufacturers |
varchar |
64 |
0 |
Y |
N |
药品厂家 | |
|
6 |
employee_users |
int |
10 |
0 |
Y |
N |
0 |
员工用户 |
|
7 |
employee_id |
varchar |
64 |
0 |
Y |
N |
员工工号 | |
|
8 |
employee_name |
varchar |
64 |
0 |
Y |
N |
员工姓名 | |
|
9 |
outbound_date |
date |
10 |
0 |
Y |
N |
出库日期 | |
|
10 |
outbound_quantity |
int |
10 |
0 |
Y |
N |
0 |
出库数量 |
|
11 |
outbound_remarks |
varchar |
64 |
0 |
Y |
N |
出库备注 | |
|
12 |
create_time |
datetime |
19 |
0 |
N |
N |
CURRENT_TIMESTAMP |
创建时间 |
|
13 |
update_time |
timestamp |
19 |
0 |
N |
N |
CURRENT_TIMESTAMP |
更新时间 |
|
编号 |
名称 |
数据类型 |
长度 |
小数位 |
允许空值 |
主键 |
默认值 |
说明 |
|
1 |
employee_users_id |
int |
10 |
0 |
N |
Y |
员工用户ID | |
|
2 |
employee_id |
varchar |
64 |
0 |
N |
N |
员工工号 | |
|
3 |
employee_name |
varchar |
64 |
0 |
Y |
N |
员工姓名 | |
|
4 |
employee_gender |
varchar |
64 |
0 |
Y |
N |
员工性别 | |
|
5 |
employee_age |
varchar |
64 |
0 |
Y |
N |
员工年龄 | |
|
6 |
examine_state |
varchar |
16 |
0 |
N |
N |
已通过 |
审核状态 |
|
7 |
user_id |
int |
10 |
0 |
N |
N |
0 |
用户ID |
|
8 |
create_time |
datetime |
19 |
0 |
N |
N |
CURRENT_TIMESTAMP |
创建时间 |
|
9 |
update_time |
timestamp |
19 |
0 |
N |
N |
CURRENT_TIMESTAMP |
更新时间 |
|
编号 |
名称 |
数据类型 |
长度 |
小数位 |
允许空值 |
主键 |
默认值 |
说明 |
|
1 |
goods_id |
mediumint |
8 |
0 |
N |
Y |
产品id:[0,8388607] | |
|
2 |
title |
varchar |
125 |
0 |
Y |
N |
标题:[0,125]用于产品和html的<title>标签中 | |
|
3 |
img |
text |
65535 |
0 |
Y |
N |
封面图:用于显示于产品列表页 | |
|
4 |
description |
varchar |
255 |
0 |
Y |
N |
描述:[0,255]用于产品规格描述 | |
|
5 |
price_ago |
double |
8 |
2 |
N |
N |
0.00 |
原价:[1] |
|
6 |
price |
double |
8 |
2 |
N |
N |
0.00 |
卖价:[1] |
|
7 |
sales |
int |
10 |
0 |
N |
N |
0 |
销量:[0,1000000000] |
|
8 |
inventory |
int |
10 |
0 |
N |
N |
0 |
商品库存 |
|
9 |
type |
varchar |
64 |
0 |
N |
N |
商品分类: | |
|
10 |
hits |
int |
10 |
0 |
N |
N |
0 |
点击量:[0,1000000000]访问这篇产品的人次 |
|
11 |
content |
longtext |
2147483647 |
0 |
Y |
N |
正文:产品的主体内容 | |
|
12 |
img_1 |
text |
65535 |
0 |
Y |
N |
主图1: | |
|
13 |
img_2 |
text |
65535 |
0 |
Y |
N |
主图2: | |
|
14 |
img_3 |
text |
65535 |
0 |
Y |
N |
主图3: | |
|
15 |
img_4 |
text |
65535 |
0 |
Y |
N |
主图4: | |
|
16 |
img_5 |
text |
65535 |
0 |
Y |
N |
主图5: | |
|
17 |
create_time |
timestamp |
19 |
0 |
N |
N |
CURRENT_TIMESTAMP |
创建时间: |
|
18 |
update_time |
timestamp |
19 |
0 |
N |
N |
CURRENT_TIMESTAMP |
更新时间: |
|
19 |
customize_field |
text |
65535 |
0 |
Y |
N |
自定义字段 | |
|
20 |
source_table |
varchar |
255 |
0 |
Y |
N |
来源表: | |
|
21 |
source_field |
varchar |
255 |
0 |
Y |
N |
来源字段: | |
|
22 |
source_id |
int |
10 |
0 |
N |
N |
0 |
来源ID: |
|
23 |
user_id |
int |
10 |
0 |
Y |
N |
0 |
添加人 |
|
编号 |
名称 |
数据类型 |
长度 |
小数位 |
允许空值 |
主键 |
默认值 |
说明 |
|
1 |
type_id |
int |
10 |
0 |
N |
Y |
商品分类ID: | |
|
2 |
father_id |
smallint |
5 |
0 |
N |
N |
0 |
上级分类ID:[0,32767] |
|
3 |
name |
varchar |
255 |
0 |
Y |
N |
商品名称: | |
|
4 |
desc |
varchar |
255 |
0 |
Y |
N |
描述: | |
|
5 |
icon |
varchar |
255 |
0 |
Y |
N |
图标: | |
|
6 |
source_table |
varchar |
255 |
0 |
Y |
N |
来源表: | |
|
7 |
source_field |
varchar |
255 |
0 |
Y |
N |
来源字段: | |
|
8 |
create_time |
timestamp |
19 |
0 |
N |
N |
CURRENT_TIMESTAMP |
创建时间: |
|
9 |
update_time |
timestamp |
19 |
0 |
N |
N |
CURRENT_TIMESTAMP |
更新时间: |
|
编号 |
名称 |
数据类型 |
长度 |
小数位 |
允许空值 |
主键 |
默认值 |
说明 |
|
1 |
hits_id |
int |
10 |
0 |
N |
Y |
点赞ID: | |
|
2 |
user_id |
int |
10 |
0 |
N |
N |
0 |
点赞人: |
|
3 |
create_time |
timestamp |
19 |
0 |
N |
N |
CURRENT_TIMESTAMP |
创建时间: |
|
4 |
update_time |
timestamp |
19 |
0 |
N |
N |
CURRENT_TIMESTAMP |
更新时间: |
|
5 |
source_table |
varchar |
255 |
0 |
Y |
N |
来源表: | |
|
6 |
source_field |
varchar |
255 |
0 |
Y |
N |
来源字段: | |
|
7 |
source_id |
int |
10 |
0 |
N |
N |
0 |
来源ID: |
|
编号 |
名称 |
数据类型 |
长度 |
小数位 |
允许空值 |
主键 |
默认值 |
说明 |
|
1 |
logistics_delivery_id |
int |
10 |
0 |
N |
Y |
物流配送ID | |
|
2 |
order_number |
varchar |
64 |
0 |
Y |
N |
订单号 | |
|
3 |
product_name |
varchar |
64 |
0 |
Y |
N |
商品名称 | |
|
4 |
purchase_quantity |
varchar |
64 |
0 |
Y |
N |
购买数量 | |
|
5 |
total_transaction_amount |
double |
11 |
2 |
Y |
N |
0.00 |
交易总额 |
|
6 |
the_date_of_issuance |
date |
10 |
0 |
Y |
N |
发货日期 | |
|
7 |
delivery_number |
varchar |
30 |
0 |
Y |
N |
配送订单 | |
|
8 |
ordinary_users |
int |
10 |
0 |
Y |
N |
0 |
普通用户 |
|
9 |
shipping_address |
varchar |
64 |
0 |
Y |
N |
收货地址 | |
|
10 |
delivery_status |
varchar |
64 |
0 |
Y |
N |
配送状态 | |
|
11 |
signing_status |
varchar |
64 |
0 |
Y |
N |
签收状态 | |
|
12 |
recommend |
int |
10 |
0 |
N |
N |
0 |
智能推荐 |
|
13 |
contact_name |
varchar |
255 |
0 |
Y |
N |
联系人名字 | |
|
14 |
merchant_id |
int |
10 |
0 |
Y |
N |
商家id | |
|
15 |
create_time |
datetime |
19 |
0 |
N |
N |
CURRENT_TIMESTAMP |
创建时间 |
|
16 |
update_time |
timestamp |
19 |
0 |
N |
N |
CURRENT_TIMESTAMP |
更新时间 |
|
编号 |
名称 |
数据类型 |
长度 |
小数位 |
允许空值 |
主键 |
默认值 |
说明 |
|
1 |
notice_id |
mediumint |
8 |
0 |
N |
Y |
公告id: | |
|
2 |
title |
varchar |
125 |
0 |
N |
N |
标题: | |
|
3 |
content |
longtext |
2147483647 |
0 |
Y |
N |
正文: | |
|
4 |
create_time |
timestamp |
19 |
0 |
N |
N |
CURRENT_TIMESTAMP |
创建时间: |
|
5 |
update_time |
timestamp |
19 |
0 |
N |
N |
CURRENT_TIMESTAMP |
更新时间: |
|
编号 |
名称 |
数据类型 |
长度 |
小数位 |
允许空值 |
主键 |
默认值 |
说明 |
|
1 |
order_id |
int |
10 |
0 |
N |
Y |
订单ID: | |
|
2 |
order_number |
varchar |
64 |
0 |
Y |
N |
订单号: | |
|
3 |
goods_id |
mediumint |
8 |
0 |
N |
N |
商品id:[0,8388607] | |
|
4 |
title |
varchar |
255 |
0 |
Y |
N |
商品标题: | |
|
5 |
img |
varchar |
255 |
0 |
Y |
N |
商品图片: | |
|
6 |
price |
double |
10 |
2 |
N |
N |
0.00 |
价格: |
|
7 |
price_ago |
double |
10 |
2 |
N |
N |
0.00 |
原价: |
|
8 |
num |
int |
10 |
0 |
N |
N |
1 |
数量: |
|
9 |
price_count |
double |
8 |
2 |
N |
N |
0.00 |
总价: |
|
10 |
norms |
varchar |
255 |
0 |
Y |
N |
规格: | |
|
11 |
type |
varchar |
64 |
0 |
N |
N |
未分类 |
商品分类: |
|
12 |
contact_name |
varchar |
32 |
0 |
Y |
N |
联系人姓名: | |
|
13 |
contact_email |
varchar |
125 |
0 |
Y |
N |
联系人邮箱: | |
|
14 |
contact_phone |
varchar |
11 |
0 |
Y |
N |
联系人手机: | |
|
15 |
contact_address |
varchar |
255 |
0 |
Y |
N |
收件地址: | |
|
16 |
postal_code |
varchar |
9 |
0 |
Y |
N |
邮政编码: | |
|
17 |
user_id |
int |
10 |
0 |
N |
N |
0 |
买家ID: |
|
18 |
merchant_id |
mediumint |
8 |
0 |
N |
N |
0 |
商家ID: |
|
19 |
create_time |
timestamp |
19 |
0 |
N |
N |
CURRENT_TIMESTAMP |
创建时间: |
|
20 |
update_time |
timestamp |
19 |
0 |
N |
N |
CURRENT_TIMESTAMP |
更新时间: |
|
21 |
description |
varchar |
255 |
0 |
Y |
N |
描述:[0,255]用于产品规格描述 | |
|
22 |
state |
varchar |
16 |
0 |
N |
N |
待付款 |
订单状态:待付款,待发货,待签收,已签收,待退款,已退款,已拒绝,已完成 |
|
23 |
remark |
text |
65535 |
0 |
Y |
N |
订单备注 | |
|
24 |
delivery_state |
varchar |
16 |
0 |
Y |
N |
未配送 |
发货状态:未配送,已配送 |
|
25 |
vip_discount |
double |
11 |
2 |
Y |
N |
0.00 |
折扣 |
|
编号 |
名称 |
数据类型 |
长度 |
小数位 |
允许空值 |
主键 |
默认值 |
说明 |
|
1 |
praise_id |
int |
10 |
0 |
N |
Y |
点赞ID: | |
|
2 |
user_id |
int |
10 |
0 |
N |
N |
0 |
点赞人: |
|
3 |
create_time |
timestamp |
19 |
0 |
N |
N |
CURRENT_TIMESTAMP |
创建时间: |
|
4 |
update_time |
timestamp |
19 |
0 |
N |
N |
CURRENT_TIMESTAMP |
更新时间: |
|
5 |
source_table |
varchar |
255 |
0 |
Y |
N |
来源表: | |
|
6 |
source_field |
varchar |
255 |
0 |
Y |
N |
来源字段: | |
|
7 |
source_id |
int |
10 |
0 |
N |
N |
0 |
来源ID: |
|
8 |
status |
bit |
1 |
0 |
N |
N |
1 |
点赞状态:1为点赞,0已取消 |
|
编号 |
名称 |
数据类型 |
长度 |
小数位 |
允许空值 |
主键 |
默认值 |
说明 |
|
1 |
regular_users_id |
int |
10 |
0 |
N |
Y |
普通用户ID | |
|
2 |
user_name |
varchar |
64 |
0 |
Y |
N |
用户姓名 | |
|
3 |
user_gender |
varchar |
64 |
0 |
Y |
N |
用户性别 | |
|
4 |
user_age |
varchar |
64 |
0 |
Y |
N |
用户年龄 | |
|
5 |
examine_state |
varchar |
16 |
0 |
N |
N |
已通过 |
审核状态 |
|
6 |
user_id |
int |
10 |
0 |
N |
N |
0 |
用户ID |
|
7 |
create_time |
datetime |
19 |
0 |
N |
N |
CURRENT_TIMESTAMP |
创建时间 |
|
8 |
update_time |
timestamp |
19 |
0 |
N |
N |
CURRENT_TIMESTAMP |
更新时间 |
|
编号 |
名称 |
数据类型 |
长度 |
小数位 |
允许空值 |
主键 |
默认值 |
说明 |
|
1 |
slides_id |
int |
10 |
0 |
N |
Y |
轮播图ID: | |
|
2 |
title |
varchar |
64 |
0 |
Y |
N |
标题: | |
|
3 |
content |
varchar |
255 |
0 |
Y |
N |
内容: | |
|
4 |
url |
varchar |
255 |
0 |
Y |
N |
链接: | |
|
5 |
img |
varchar |
255 |
0 |
Y |
N |
轮播图: | |
|
6 |
hits |
int |
10 |
0 |
N |
N |
0 |
点击量: |
|
7 |
create_time |
timestamp |
19 |
0 |
N |
N |
CURRENT_TIMESTAMP |
创建时间: |
|
8 |
update_time |
timestamp |
19 |
0 |
N |
N |
CURRENT_TIMESTAMP |
更新时间: |
|
编号 |
名称 |
数据类型 |
长度 |
小数位 |
允许空值 |
主键 |
默认值 |
说明 |
|
1 |
upload_id |
int |
10 |
0 |
N |
Y |
上传ID | |
|
2 |
name |
varchar |
64 |
0 |
Y |
N |
文件名 | |
|
3 |
path |
varchar |
255 |
0 |
Y |
N |
访问路径 | |
|
4 |
file |
varchar |
255 |
0 |
Y |
N |
文件路径 | |
|
5 |
display |
varchar |
255 |
0 |
Y |
N |
显示顺序 | |
|
6 |
father_id |
int |
10 |
0 |
Y |
N |
0 |
父级ID |
|
7 |
dir |
varchar |
255 |
0 |
Y |
N |
文件夹 | |
|
8 |
type |
varchar |
32 |
0 |
Y |
N |
文件类型 |
|
编号 |
名称 |
数据类型 |
长度 |
小数位 |
允许空值 |
主键 |
默认值 |
说明 |
|
1 |
user_id |
mediumint |
8 |
0 |
N |
Y |
用户ID:[0,8388607]用户获取其他与用户相关的数据 | |
|
2 |
state |
smallint |
5 |
0 |
N |
N |
1 |
账户状态:[0,10](1可用|2异常|3已冻结|4已注销) |
|
3 |
user_group |
varchar |
32 |
0 |
Y |
N |
所在用户组:[0,32767]决定用户身份和权限 | |
|
4 |
login_time |
timestamp |
19 |
0 |
N |
N |
CURRENT_TIMESTAMP |
上次登录时间: |
|
5 |
phone |
varchar |
11 |
0 |
Y |
N |
手机号码:[0,11]用户的手机号码,用于找回密码时或登录时 | |
|
6 |
phone_state |
smallint |
5 |
0 |
N |
N |
0 |
手机认证:[0,1](0未认证|1审核中|2已认证) |
|
7 |
username |
varchar |
16 |
0 |
N |
N |
用户名:[0,16]用户登录时所用的账户名称 | |
|
8 |
nickname |
varchar |
16 |
0 |
Y |
N |
昵称:[0,16] | |
|
9 |
password |
varchar |
64 |
0 |
N |
N |
密码:[0,32]用户登录所需的密码,由6-16位数字或英文组成 | |
|
10 |
|
varchar |
64 |
0 |
Y |
N |
邮箱:[0,64]用户的邮箱,用于找回密码时或登录时 | |
|
11 |
email_state |
smallint |
5 |
0 |
N |
N |
0 |
邮箱认证:[0,1](0未认证|1审核中|2已认证) |
|
12 |
avatar |
varchar |
255 |
0 |
Y |
N |
头像地址:[0,255] | |
|
13 |
open_id |
varchar |
255 |
0 |
Y |
N |
针对获取用户信息字段 | |
|
14 |
create_time |
timestamp |
19 |
0 |
N |
N |
CURRENT_TIMESTAMP |
创建时间: |
|
15 |
vip_level |
varchar |
255 |
0 |
Y |
N |
会员等级 | |
|
16 |
vip_discount |
double |
11 |
2 |
Y |
N |
0.00 |
会员折扣 |
|
编号 |
名称 |
数据类型 |
长度 |
小数位 |
允许空值 |
主键 |
默认值 |
说明 |
|
1 |
group_id |
mediumint |
8 |
0 |
N |
Y |
用户组ID:[0,8388607] | |
|
2 |
display |
smallint |
5 |
0 |
N |
N |
100 |
显示顺序:[0,1000] |
|
3 |
name |
varchar |
16 |
0 |
N |
N |
名称:[0,16] | |
|
4 |
description |
varchar |
255 |
0 |
Y |
N |
描述:[0,255]描述该用户组的特点或权限范围 | |
|
5 |
source_table |
varchar |
255 |
0 |
Y |
N |
来源表: | |
|
6 |
source_field |
varchar |
255 |
0 |
Y |
N |
来源字段: | |
|
7 |
source_id |
int |
10 |
0 |
N |
N |
0 |
来源ID: |
|
8 |
register |
smallint |
5 |
0 |
Y |
N |
0 |
注册位置: |
|
9 |
create_time |
timestamp |
19 |
0 |
N |
N |
CURRENT_TIMESTAMP |
创建时间: |
|
10 |
update_time |
timestamp |
19 |
0 |
N |
N |
CURRENT_TIMESTAMP |
更新时间: |
不是药房销售系统中正式用户的是可以在线进行注册的,当填写上自己的账号+设置密码+确认密码+昵称+邮箱+手机号+身份+用户姓名+用户性别等信息后再点击“注册”按钮后将会先验证输入的有没有空数据,再次验证密码和确认密码是否是一样的,最后验证输入的账户名和数据库表中已经注册的账户名是否重复,只有都验证没问题后即可用户注册成功。其用用户注册界面展示如下图5-1所示。

图5-1 注册界面
药房销售系统中,前台上注册后的用户是可以通过输入用户名和密码进行登录操作。然后点击登录按钮进行身份验证。一旦登录成功,用户将进入到系统首页界面。在我的账户界面中,用户可以查看和修改自己的个人信息。通过点击修改密码按钮,用户可以轻松地更改自己的密码。这种设计使得用户能够方便地管理和维护自己的账户信息,提高了系统的用户体验和安全性。

图5-2 登录界面
在药房销售系统的前台首页界面上采用了上+中+下的方式来布局界面,最右上角是登录+注册+搜索这三个链接,下面依次是导航栏+轮播图以及下面的药房销售系统的内容,其主界面展示如下图5-3所示。

图5-3 前台首页界面图
药品资讯:此模块为用户提供丰富的药品信息,包括新药发布、药品疗效解读、用药指南等,帮助用户更好地了解药品知识,合理选购和使用药品药品资讯展示如下图5-4所示。

图5-4 药品资讯详情界面图
药品商城:用户可以在药品商城中浏览并购买各类药品,商城提供了详细的药品分类和搜索功能,方便用户快速找到所需的药品,药品信息详情界面如下图5-5所示:

图5-5 药品信息详情界面图
商城管理包括“我的订单”、“我的购物车”和“我的地址”这三个子菜单。用户可以查看我的订单和我的购物车信息,同时可以对购物车的商品进行购买或删除操作,可以对我的地址进行新增操作。以我的地址为例其界面如下图5-6所示:

图5-6 商城管理界面图
客服咨询:用户可以通过客服咨询模块与平台的客服人员进行实时沟通,咨询药品信息、订单状态等问题,客服人员会及时为用户解答疑问。

图5-7 客服咨询界面图
-
-
- 个人中心界面
-
个人中心:个人中心是用户的个人空间,集合了用户的相关信息和功能。用户可以在这里查看自己的订单记录、收藏夹和客服咨询信息等,方便随时回顾和管理。同时,为用户提供更加便捷和个性化的服务体验。

图5-8个人中心界面图
系统用户管理:管理员可以方便地管理各类系统用户,包括设置管理员、员工用户、客服用户和普通用户的权限和角色,确保不同用户能够访问和操作与其职责相符的功能和数据。

图5-8 系统用户管理界面
药品库存管理:通过药品库存管理功能,管理员能够实时掌握药品的库存情况,包括库存数量、有效期等信息,便于及时补货和调整库存策略。

图5-9 添加药品库存界面
系统管理:通过轮播图管理功能,管理员可以轻松更换和调整网站或应用的首页轮播图,展示最新的药品资讯和促销活动,吸引用户的注意力。

图5-10 系统管理界面
公告消息管理:管理员可以发布和编辑网站公告,及时向用户传达重要的通知和信息,确保用户能够及时了解公司的最新动态和政策。

图5-11公告消息管理界面
资源管理:资源管理功能涵盖了药品资讯和资讯分类的管理,管理员可以方便地添加、编辑和删除药品资讯内容,并设置合理的分类结构,方便用户浏览和查询。

图5-12 资源管理界面
分类列表:通过分类列表功能,管理员可以对药品进行分类管理,设置清晰的分类结构,方便用户根据自己的需求快速找到所需药品。

图5-13 添加分类界面
订单列表:订单列表功能使得管理员能够查看和管理所有用户的订单信息,包括订单状态、订单详情等,便于订单处理和配送等。

图5-14 订单列表管理界面
订单配送:订单配送功能支持管理员跟踪订单的配送状态,确保药品能够准确、及时地送达用户手中,提升用户的购物体验。

图5-15 订单配送管理界面
药品库存管理功能:药品库存管理模块提供了全面的库存管理功能。员工用户可以通过搜索功能查找特定商品或商家的库存信息,包括商品名称、库存数量等。此外,用户还可以进行入库、出库等操作,以维护库存数据的准确性和实时性。

图5-16 添加库存界面
药品入库管理功能:药品入库管理模块记录了药品的入库信息,如入库日期、数量及备注等。员工用户可以通过搜索功能快速定位到特定药品的入库记录信息,并进行查询或删除操作,确保入库数据的完整性和准确性。

图5-17 添加药品入库界面
药品出库管理功能:药品出库管理模块与药品入库管理类似,但专注于药品的出库信息。员工用户可以查看、查询和删除药品出库,以追踪商品的出库情况,便于进行库存管理。

图5-18 添加药品出库界面
药品商城管理:药品商城功能提供了一个在线购药平台,员工用户可以添加管理药品的展示方式、价格等信息,为用户提供便捷的在线购药体验。

图5-19 添加药品信息界面
客服用户登录成功后,用户可通过在线聊天、留言等方式与客服联系,解决药品的相关问题。客服提供及时有效的解答和支持。此外,还提供在线教程和常见问题解答等功能,帮助用户了解产品,提高使用效率。我们致力于为用户提供全面、高效、贴心的服务,让用户感受到专业和用心。

图5-20 添加药品出库界面
系统的前台、后台、数据库完成以后,这个系统才算是完成了一半,我们在这之后要对系统进行最后的一个阶段,那就是测试了,测试对一个系统来说是非常重要的,有的时候开发完一个系统,如果测试不合格的话,这个系统是没有办法进行投入使用的,所有我们要用测试对系统的功能进行检验,把不完善的功能尽量完善,把出现的bug解决掉,然后给用户呈现出一个完美的系统。通过对系统最后一步的测试,使得开发人员对自己的系统更加有信心,更加积极的为后期的系统版本的更新提供支持。
一个系统测试的目的就是检验系统在真正的工作环境、条件下是不是能够正常运行,各种功能能不能符合设计的要求,通过测试发现系统当中存在的一些潜在的错误,然后对系统进行改进,使得系统最终以完美的形式展现给用户,提高用户使用过程中的体验度,真正达到项目的实际使用目的。
表6-1 评论测试用例
|
测试用例编号 |
YL_03 | |
|
测试用例名称 |
系统使用者进行在线交流 | |
|
测试用例描述 |
使用者输入交流标题、内容等信息 | |
|
系统入口 |
浏览器 | |
|
步骤 |
预期结果 |
实际结果 |
|
输入完整的评论标题和内容 |
提示“评论成功”,并进入系统 |
预期结果 |
|
不输入的评论标题和内容 |
提示“请输入完整” |
预期结果 |
-
-
- 创建数据测试
-
在系统中,创建功能也是基础功能之一,因此创建功能的测试很有代表性。在此章节主要列举在创建时各种情况下系统结果的测试。由于系统涉及创建功能操作过多,因此将多处统称创建功能。
创建数据用例如下表所示。
表6-2 创建数据测试用例
|
测试用例编号 |
YL_05 | |
|
测试用例名称 |
系统使用者进行创建数据 | |
|
测试用例描述 |
使用者输入要创建的数据 | |
|
系统入口 |
浏览器 | |
|
步骤 |
预期结果 |
实际结果 |
|
输入完整并且格式正确的数据 |
提示“创建成功”,并显示所有数据 |
预期结果 |
|
核心位置数据但非必要位置不输入数据 |
提示“创建成功”,并显示所有数据 |
预期结果 |
|
核心数据位置不输入数据 |
提示“创建失败” |
预期结果 |
-
-
- 修改数据测试
-
在系统中,修改功能是系统主要实现功能,因此修改功能的测试很有代表性。在此章节主要列举在修改时各种情况下系统结果的测试。由于系统涉及修改功能操作过多,因此将多处数据表记录修改和状态修改统称修改功能。
修改数据用例如下表所示。
表6-3 修改数据测试用例
|
测试用例编号 |
YL_06 | |
|
测试用例名称 |
系统使用者进行修改数据 | |
|
测试用例描述 |
使用者对可修改的数据项进行修改 | |
|
系统入口 |
浏览器 | |
|
步骤 |
预期结果 |
实际结果 |
|
将现有数据修改成正确的数据 |
提示“修改成功”,并显示所有数据 |
预期结果 |
|
将现有数据修改成错误的数据 |
提示“修改失败” |
预期结果 |
-
-
- 查询数据测试
-
在系统中,查询功能是使用系统使用最多也是最基础的功能,因此查询功能的测试很有代表性。在此章节主要列举在查询时各种情况下系统结果的测试。
查询数据用例如下表所示。
表6-4 查询数据测试用例
|
测试用例编号 |
YL_05 | |
|
测试用例名称 |
系统使用者进行查询数据 | |
|
测试用例描述 |
全部查询以及输入关键词查询 | |
|
系统入口 |
浏览器 | |
|
步骤 |
预期结果 |
实际结果 |
|
界面自动查询全部 |
显示对应所有记录 |
预期结果 |
|
输入已存在且能匹配成功的关键字 |
显示所查询到的数据 |
预期结果 |
|
输入不存在的关键字 |
显示数据界面为空 |
预期结果 |
在本次测试的过程主要针对所有功能下的添加操作,修改操作和删除操作,并以真实数据一一进行相关功能项目的输入,最终能够保证每个项目涉及的功能都能够正常运行,因此能够保证本次设计的,已实现的功能能够正常运行并且相关数据库的信息也同样保证正确。
经过对基于Java的药房销售系统的深入研究和实际开发,本文得出以下结论:首先,Java作为一种成熟、稳定的服务器端脚本语言,非常适合用于构建药房销售系统。其丰富的功能和强大的扩展性使得系统能够实现复杂的业务逻辑和数据处理。其次,通过合理的系统架构设计,实现了药房销售系统的各项功能,包括药品入库、出库、库存查询、客服咨询等。同时,系统还具备用户权限管理、数据验证和安全性保障等重要功能,确保了系统的稳定性和安全性。再次,在实际应用中,该系统显著提高了药品仓库的管理效率,减少了人为错误,使得药品的流转更加规范、透明。未来,我们将继续完善系统功能,提升用户体验,以适应药品仓库管理领域不断发展的需求。基于Java的药房销售系统是一种高效、稳定、安全的解决方案,对于提升药品销售管理水平具有重要的现实意义和应用价值。
参考文献
[1]蒋磊. 药品网络销售现状分析及监管对策[J]. 中国药业, 2024, 33 (03): 30-33.
[2]赵旭东. 计算机软件开发与设计中Java语言的应用研究[J]. 信息与电脑(理论版), 2023, 35 (24): 31-33.
[3]陈燕芸. 中国互联网药品销售监管存在的问题及对策[J]. 江苏商论, 2024, (01): 23-27.
[4]马庆. 计算机软件开发中JAVA编程语言的应用[J]. 山西电子技术, 2023, (06): 84-86+98.
[5]宋晓燕, 杨芬. Java程序设计语言的分层教学实践[J]. 电子技术, 2023, 52 (11): 182-183.
[6]傅立. 网络销售药品如何建立监管机制[J]. 中国质量监管, 2023, (11): 60-62.
[7]杨芬, 宋晓燕. MySQL数据库应用的课程教学分析[J]. 电子技术, 2023, 52 (10): 180-181.
[8]杨华, 徐扬. MySQL数据库对中文编码支持的探讨[J]. 网络安全和信息化, 2023, (10): 157-160.
[9]陈刚. 基于SpringBoot+Thymeleaf+MySQL的动态表单功能模块设计与实现[J]. 长江信息通信, 2023, 36 (09): 100-102.
[10]赵停停. 基于MySQL数据库技术的Web动态网页设计研究[J]. 信息与电脑(理论版), 2023, 35 (17): 174-176.
[11]陈妮. “老百姓大药房”连续并购动因及绩效研究[D]. 北京邮电大学, 2023.
[12]张珺豪. 医药零售企业连续并购价值创造研究[D]. 河南财经政法大学, 2023.
[13]Gunadi Christian. Does expanding access to cannabis affect traffic crashes? County-level evidence from recreational marijuana dispensary sales in Colorado.[J]. Health economics, 2022, 31 (10): 2244-2268.
[14]傅领衔. 考虑专业药房的医药供应链合作模式研究[D]. 中南大学, 2022.
[15]严佳蓓. 医药零售企业并购动因及绩效研究[D]. 东华大学, 2022.
[16]Li Jiajing, Jia Wang, Nie Fuhui, You Hongyan, Hao Yaxin. An Approach for Buyer Name Normalization in Pharmacy Sales Data[J]. IEEE ACCESS, 2021, 9 93990-93997.
[17]Leticia A. Shea, Megan Leeds, Doan Bui, Mayda Mujica, Marlee Poupard, Reyna Rodriguez, Janelle M. Matura, Anna Carnazzo, Allyson Spence. “Over-the-counter” cannabidiol (CBD) sold in the community pharmacy setting in Colorado[J]. Drugs & Therapy Perspectives, 2020, 36 (12): 1-10.
[18]卢凯. 益丰药房与大参林财务战略比较研究[D]. 厦门大学, 2020.
[19]王识皓. 吉林大药房线上销售平台营销策略研究[D]. 吉林大学, 2020.
[20]周玉涛. 怡家大药房:演绎制氧机销售“神话”[J]. 中国药店, 2019, (11): 118-119.
致 谢
从论文选题、框架构建到具体写作,导师都提出了宝贵的意见和建议,使我的论文得以不断完善。导师的言传身教使我受益匪浅,让我学会了如何做学问。在论文写作过程中,他们与我共同探讨问题,分享资料和信息,为我提供了很多有价值的建议和帮助。他们的陪伴和鼓励让我在面对困难和挫折时能够保持坚定的信心,勇往直前。感谢所有参与论文评审和答辩的老师们提出的宝贵意见和建议对我的论文质量提升起到了至关重要的作用。同时,我也要感谢学校提供的良好学术氛围和优质资源,为我的论文研究创造了有利条件。在此,我再次向所有帮助过我的人表示衷心的感谢!
免费领取项目源码,请关注❥点赞收藏并私信博主,谢谢~
1424

被折叠的 条评论
为什么被折叠?



