文章目录
前言
机器学习是一门多领域交叉学科,它作为计算机专业研究生必学的课程之一,利用就读研究生前的时间对其进行提前学习是十分必要的。本周首先进行一些基础概念的学习。
一、什么是机器学习
1.机器学习≈Looking for Function,寻找人类无法写出的复杂函数。
如:
speech recognition 语音识别
image recognition 图片识别
playing go 下围棋
2.深度学习是机器学习的分支,以人工神经网络为架构,对数据进行表征学习。
机器学习的方法:
Supervised Learning 监督式学习
Self-supervised Learning 监督式学习
一些术语:
Pre-train Model(Foundation Model) 基础模型
CNN(Convolutional neural networks) 卷积神经网络
Generative Adversarial Networks 生成对抗式网络
Reinforcement Learning 强化学习
二、Function种类
Regression(回归):输出scalar(数值),如预测PM2.5的数值。
Classification(分类):让机器做选择题,如辨别是否为垃圾邮件,阿尔法狗等。有二元选择题或多元选择题。
Structured Learning(结构学习):让机器进行创造性活动,例如画图,写作文章。
三、如何找Function
1. function with unknown parameters(写出带有未知参数的函数)

(based on domain knowledge)
y:进化后的cp值 Xcp:进化前的cp值(feature)
w(weight)和b(bias)代表未知参数
由此抽象出的函数function称为Model(模型)。
以上这些具体化的function的集合是Linear Model,我们可以将其扩展为:

2. 定义Loss Function

该Loss function函数实际上是一种评估函数,用以衡量一组参数的好坏。
最常用的方法包括MAE和MSE。

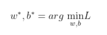
3. Optimization(最优化)

寻找最好的w和b,使得L最小。
方法:Gradient Descent (梯度下降算法)
首先假设只有一个参数w
a.随机选择一个初始值w0
b.先计算w对Loss的微分,即求w0点在Loss图像的斜率k。
(w往低的地方取点)
若k<0,则把w值变大,Loss值就会变小。若k>0,则把w值变小,Loss值就会变小。
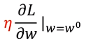
w的step不仅取决于当前点斜率,还受到Learning rate(学习速率)的影响。
再求
,即为学习率。这种需要自己设定的数值叫做 Hyperparamenters。
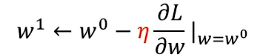
得出

c.反复上述过程。
如果learning rate比较大,那么每踏出一步,参数w更新的幅度也会比较大,机器学习的速度就会比较快。但若learning rate过大,可能会跳过最合适的点(global minima)。
当微分为0的时候,参数就会卡在该点上停止更新,此时并未找出最优解global minima。微分为0时被称为Local minima。
当有两个参数时,用一个参数的情形去类推即可。两种情形本质相同。
Model Bias:Linear models较为简单,有很多缺陷,需要使用更复杂的models。
New Models:More Features
如下图使用常数加直线的方法不断合成逼近原复杂函数。

求法如下:
使用sigmoid function,改变c,b,w的值可获得不同的sigmoid function。

总结
通过本周对机器学习以及深度学习一些概念的了解,进一步认识到了数学和科学的重要性。机器学习中需要用到很多概率论,统计学,逼近论等等数学知识。在学习机器学习的同时不能忽视数学的继续学习。
913





