sobel





Mat xgrad, ygrad;
Scharr(gray_src, xgrad, CV_16S, 1, 0);
Scharr(gray_src, ygrad, CV_16S, 0, 1);
// Sobel(gray_src, xgrad, CV_16S, 1, 0, 3);
// Sobel(gray_src, ygrad, CV_16S, 0, 1, 3);
convertScaleAbs(xgrad, xgrad);//取得绝对值
convertScaleAbs(ygrad, ygrad);
imshow("xgrad", xgrad);
imshow("ygrad", ygrad);
Mat xygrad = Mat(xgrad.size(), xgrad.type());
printf("type : %d\n", xgrad.type());
int width = xgrad.cols;
int height = ygrad.rows;
//遍历访问图像像素
for (int row = 0; row < height; row++) {
for (int col = 0; col < width; col++) {
int xg = xgrad.at<uchar>(row, col);
int yg = ygrad.at<uchar>(row, col);
//实现梯度相加
int xy = xg + yg;
xygrad.at<uchar>(row, col) = saturate_cast<uchar>(xy);
}
}
Laplace算子
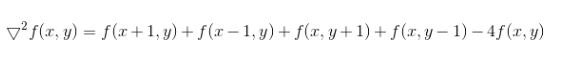
拉普拉斯算子是二阶微分线性算子,在图像边缘处理中,二阶微分的边缘定位能力更强,锐化效果更好,因此在进行图像边缘处理时,直接采用二阶微分算子而不使用一阶微分。
Laplace算子的差分形式为:

写成filter mask的形式如下

该mask的特点,mask在上下左右四个90度的方向上结果相同,也就是说在90度方向上无方向性。为了让该mask在45度的方向上也具有该性质,对该filter mask进行扩展定义为

Laplacian(gray_src, edge_image, CV_16S, 3);//拉普拉斯算子
convertScaleAbs(edge_image, edge_image);//取绝对值
threshold(edge_image, edge_image, 0, 255, THRESH_OTSU | THRESH_BINARY);
canny算子
canny的算法原理太经典了,这里就不介绍了,想看的可以看这个视频,介绍的无比详细,传送门


Canny(gray_src, edge_output, t1_value, t1_value * 2, 3, false);
本文探讨了Sobel算子用于求取灰度图像的一阶导数,Laplacian算子的二阶微分特性以及Canny边缘检测算法的原理和应用。通过实例展示了如何在OpenCV中实现这些技术,并比较它们在边缘检测中的优势。
726

被折叠的 条评论
为什么被折叠?



