理解矩阵乘法
大多数人在高中,或者大学低年级,都上过一门课《线性代数》。这门课其实是教矩阵。
刚学的时候,还蛮简单的,矩阵加法就是相同位置的数字加一下。

矩阵减法也类似。
矩阵乘以一个常数,就是所有位置都乘以这个数。

但是,等到矩阵乘以矩阵的时候,一切就不一样了。

这个结果是怎么算出来的?
教科书告诉你,计算规则是,第一个矩阵第一行的每个数字(2和1),各自乘以第二个矩阵第一列对应位置的数字(1和1),然后将乘积相加( 2 x 1 + 1 x 1),得到结果矩阵左上角的那个值3。

也就是说,结果矩阵第m行与第n列交叉位置的那个值,等于第一个矩阵第m行与第二个矩阵第n列,对应位置的每个值的乘积之和。
怎么会有这么奇怪的规则?
我一直没理解这个规则的含义,导致《线性代数》这门课就没学懂。研究生时发现,线性代数是向量计算的基础,很多重要的数学模型都要用到向量计算,所以我做不了复杂模型。这一直让我有点伤心。
前些日子,受到一篇文章的启发,我终于想通了,矩阵乘法到底是什么东西。关键就是一句话,矩阵的本质就是线性方程式,两者是一一对应关系。如果从线性方程式的角度,理解矩阵乘法就毫无难度。
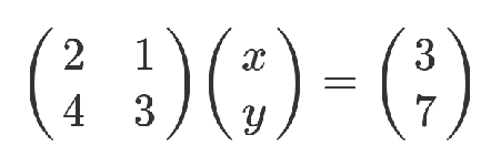
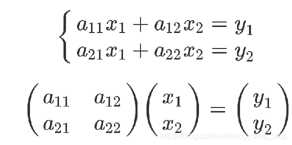
下面是一组线性方程式。

矩阵的最初目的,只是为线性方程组提供一个简写形式。

老实说,从上面这种写法,已经能看出矩阵乘法的规则了:系数矩阵第一行的2和1,各自与 x 和 y 的乘积之和,等于3。不过,这不算严格的证明,只是线性方程式转为矩阵的书写规则。
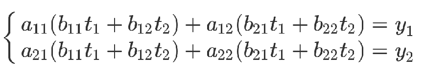
下面才是严格的证明。有三组未知数 x、y 和 t,其中 x 和 y 的关系如下。

x 和 t 的关系如下。

有了这两组方程式,就可以求 y 和 t 的关系。从矩阵来看,很显然,只要把第二个矩阵代入第一个矩阵即可。

从方程式来看,也可以把第二个方程组代入第一个方程组。

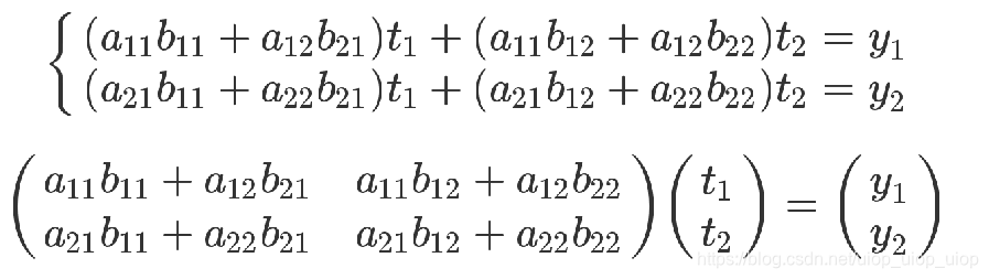
上面的方程组可以整理成下面的形式。

最后那个矩阵等式,与前面的矩阵等式一对照,就会得到下面的关系。

矩阵乘法的计算规则,从而得到证明。
807

被折叠的 条评论
为什么被折叠?



