前言
图像处理中有三种常用的插值算法:
最邻近插值
双线性插值
双立方(三次卷积)插值
其中效果最好的是双立方(三次卷积)插值,本文介绍它的原理以及使用
如果想先看效果和源码,可以拉到最底部
本文的契机是某次基于canvas做图像处理时,发现canvas自带的缩放功能不尽人意,于是重温了下几种图像插值算法,并整理出来。
为何要进行双立方插值
对图像进行插值的目的是为了获取缩小或放大后的图片
常用的插值算法中,双立方插值效果最好
本文中介绍双立方插值的一些数学理论以及实现
双立方和三次卷积只是这个插值算法的两种不同叫法而已,可以自行推导,会发现最终可以将求值转化为卷积公式
另外,像Photoshop等图像处理软件中也有这三种算法的实现
数学理论
双立方插值计算涉及到16个像素点,如下图

简单分析如下:
其中
P00代表目标插值图中的某像素点(x, y)在原图中最接近的映射点譬如映射到原图中的坐标为
(1.1, 1.1),那么P00就是(1, 1)而最终插值后的图像中的
(x, y)处的值即为以上16个像素点的权重卷积之和
下图进一步分析
![]()
如下是对图的一些简单分析
譬如计算插值图中
(distI, distJ)处像素的值首先计算它映射到原图中的坐标
(i + v, j + u)也就是说,卷积计算时,
p00点对应(i, j)坐标最终,
插值后的图中(distI, distJ)坐标点对应的值是原图中(i, j)处邻近16个像素点的权重卷积之和i, j的范围是[i - 1, i + 2],[j - 1, j + 2]
卷积公式
设采样公式为
S(x)原图中每一个
(i, j)坐标点的值得表达式为f(i, j)插值后对应坐标的值为
F(i + v, j + u)(这个值会作为(distI, distJ)坐标点的值)
那么公式为:

等价于(可自行推导)

提示
一定要区分本文中v, u和row, col的对应关系,v代表行数偏差,u代表列数偏差(如果混淆了,会造成最终的图像偏差很大)
如何理解卷积?
这是大学数学内容,推荐看看这个答案如何通俗易懂的解释卷积-知乎
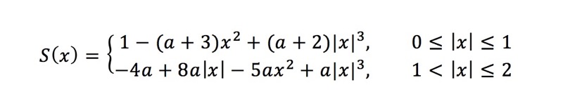
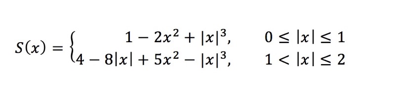
采样公式
在卷积公式中有一个S(x),它就是关键的卷积插值公式
不同的公式,插值效果会有所差异(会导致加权值不一样)
本文中采用WIKI-Bicubic interpolation中给出的插值公式:

公式中的特点是:
S(0) = 1S(n) = 0(当n为整数时)当x超出范围时,S(x)为0当
a取不同值时可以用来逼近不同的样条函数(常用值-0.5, -0.75)
当a取值为-1
公式如下:

此时,逼近的函数是y = sin(x*PI)/(x*PI)

本文介绍了图像处理中的双立方(三次卷积)插值算法,探讨了为何选择该方法以及其数学理论,包括卷积公式和采样公式。文章还讨论了不同插值算法的效果对比,提供了代码实现,并展示了运行效果,指出双立方插值在图像放大时能提供最佳视觉质量。
最低0.47元/天 解锁文章
1万+

被折叠的 条评论
为什么被折叠?



