
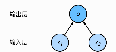
上图是一个非常简单的实现线性回归的神经网络,输入分别是x1,x2x_1,x_2x1,x2,因此输入个数也称作特征数,或者特征向量维度。这个神经网络的输出是ooo,即y=oy=oy=o。这里是一个单层的神经网络,而输入层不发生运算,因此这里的ooo单元发生运算,也被称为神经元。这里输出的计算完全依赖输入层所有输入,因此这里的输出层有称为全连接层(fully-connected layer)或者稠密层(dense layer)。
神经网络中的全连接层
最新推荐文章于 2025-09-14 16:46:42 发布
本文介绍了神经网络中全连接层的概念,它在单层神经网络中起到关键作用。全连接层,又称稠密层,其输出直接依赖于输入层的所有特征,形成线性关系。

7万+

被折叠的 条评论
为什么被折叠?



