模型评估
意义:定量地表示机器学习模型的精度
1.交叉验证
把获取的全部训练数据按照 3 : 7或者 2 : 8的比例分成两份:一份用于测试,一份用于训练,然后用前者来评估模型,检查训练好的模型对测试数据的拟合情况。像这样把全部训练数据分为测试数据和训练数据的做法称为交叉验证。
(1)针对回归
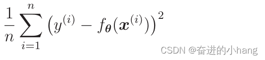
对于回归的情况,只要在训练好的模型上计算测试数据的误差的平方,再取其平均值就可以了。假设测试数据有 n个,那么可以这样计算。

这个值被称为均方误差或者 MSE,全称 Mean Square Error。这个误差越小,精度就越高,模型也就越好
(2)针对分类
针对二分类问题,分类的结果可以借助下表来表示:

模型评估包括交叉验证、均方误差(MSE)、精度、精确率、召回率和F值。K折交叉验证用于优化模型精度,L2正则化(权重衰减)和L1正则化对抗过拟合,产生稀疏权重矩阵。过拟合和欠拟合可通过学习曲线识别,并通过增加数据量、选择简单模型或正则化来解决。
订阅专栏 解锁全文
2575





