题目
给定一个仅包含数字 2-9 的字符串,返回所有它能表示的字母组合。
给出数字到字母的映射如下(与电话按键相同)。注意 1 不对应任何字母。

示例:
输入:"23"
输出:["ad", "ae", "af", "bd", "be", "bf", "cd", "ce", "cf"].
说明:
尽管上面的答案是按字典序排列的,但是你可以任意选择答案输出的顺序。
分析
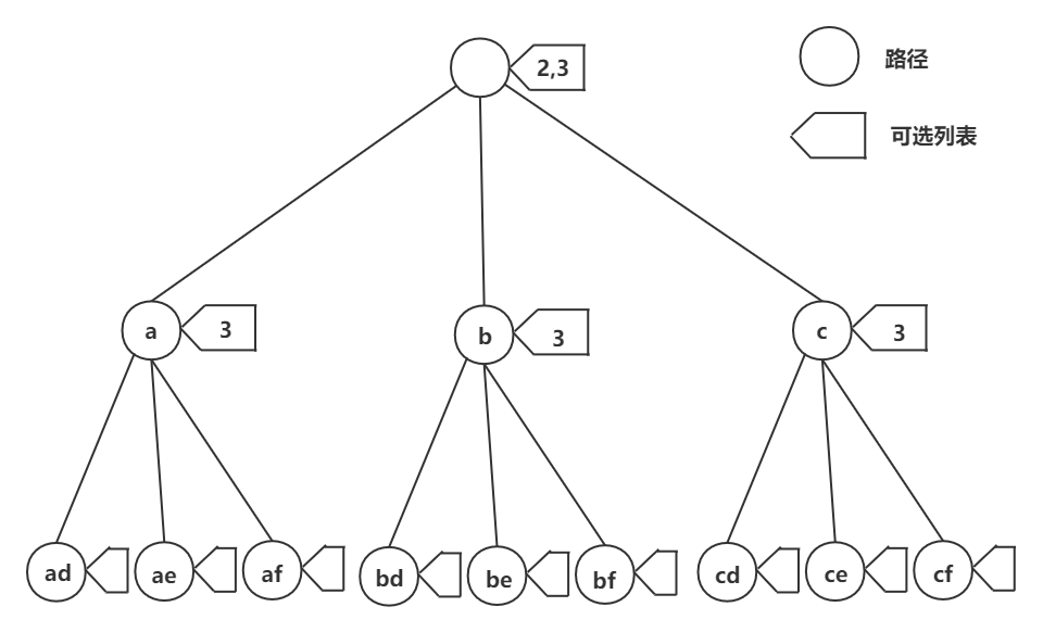
对于这类利用回溯法的题目,最重要的是将深度优先搜索树画出来,并找出路径和可选列表。

然后,我们只要用代码模拟出深度优先搜索树就可以了。
用 digits 表示当前可选的数字列表,sb 表示当前的路径。
如果可选列表为空,也就是说走到了上图中的叶子结点,那么保存答案,return。
如果可选列表不为空,那么选第一个数字,并循环求解它对应的字母。在每一次循环中,都要完成将当前字母加入路径,求解下一个数字,将当前字母从路径删除的操作。
例如:当前路径:a,当前可选列表 3, 3 对应的字母有 d,e,f,首先先将 d 加入路径,求解下一个数字,此时可选列表为空,保存答案 ad,return。此时再删除 d,开始将 e 加入路径...
代码
class Solution {
public List<String> letterCombinations(String digits) {
List<String> res = new ArrayList<>();
if (digits == null || digits.length() == 0) return res;
permute(res, digits, new StringBuilder());
return res;
}
private void permute(List<String> res, String digits, StringBuilder sb) {
if (digits.length() == 0) {
res.add(sb.toString());
return;
}
for (char c : getChars(digits.charAt(0))) {
sb.append(c);
permute(res, digits.substring(1, digits.length()), sb);
sb.deleteCharAt(sb.length() - 1); // 回溯主要体现在这部分
}
}
private char[] getChars(char c) {
switch(c){
case '2':
return new char[]{'a', 'b', 'c'};
case '3':
return new char[]{'d', 'e', 'f'};
case '4':
return new char[]{'g', 'h', 'i'};
case '5':
return new char[]{'j', 'k', 'l'};
case '6':
return new char[]{'m', 'n', 'o'};
case '7':
return new char[]{'p', 'q', 'r', 's'};
case '8':
return new char[]{'t', 'u', 'v'};
case '9':
return new char[]{'w', 'x', 'y', 'z'};
default:
return new char[0];
}
}
}
更多关于回溯法的内容见刷题模板。
本文深入探讨了如何使用回溯法解决电话按键对应的字母组合问题,通过深度优先搜索树的构建,详细解释了递归求解过程及代码实现。
902

被折叠的 条评论
为什么被折叠?



