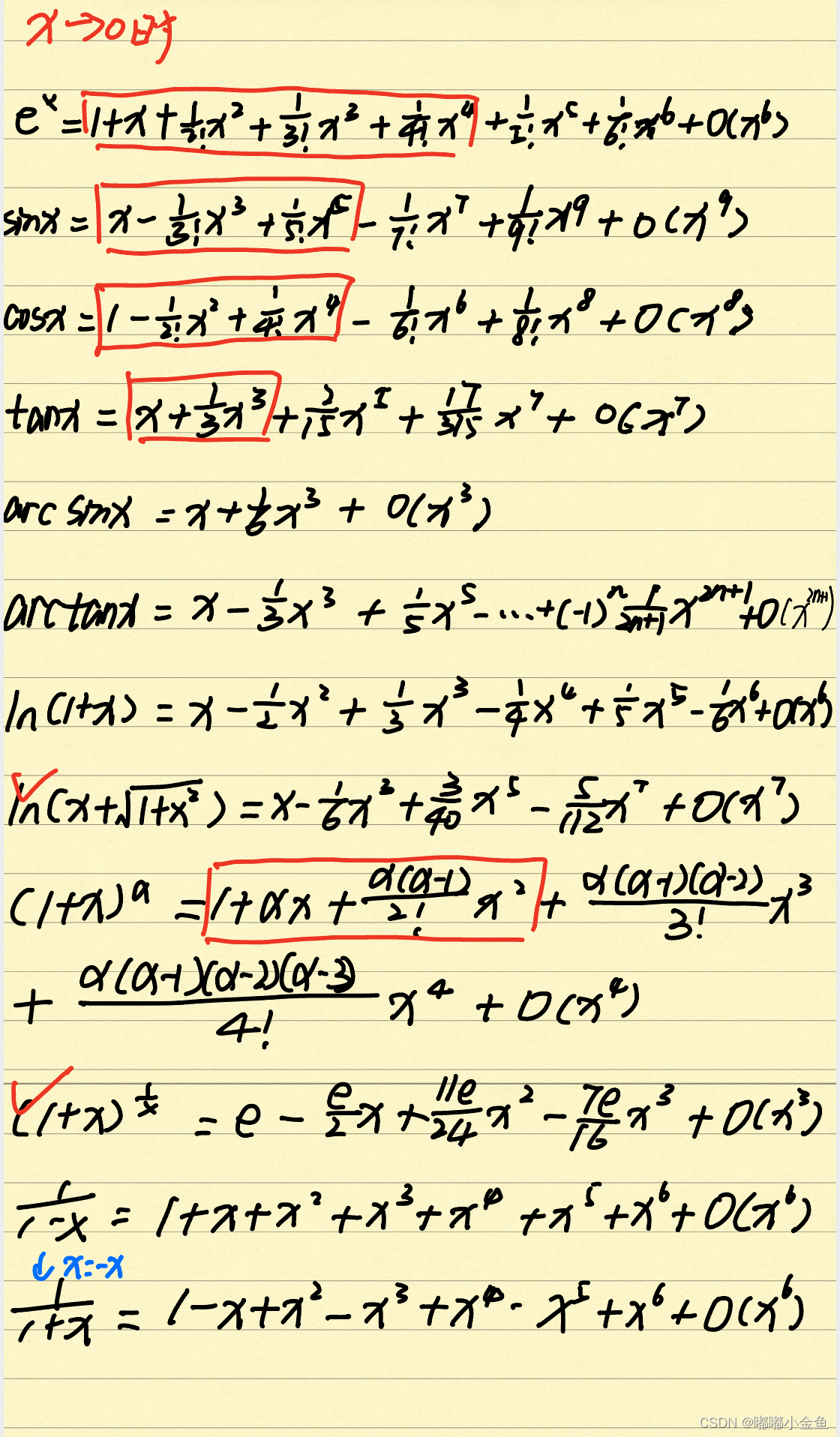
这一次分享考研数学常见泰勒展开公式,本人认为泰勒展开式做题有时候很快,而且最好每天都要写一次。泰勒展开式背起来不是很难,有一些是有规律可循的。以下整理了一些常见的泰勒展开式,后期做题如果有补充再整理。

这一次分享考研数学常见泰勒展开公式,本人认为泰勒展开式做题有时候很快,而且最好每天都要写一次。泰勒展开式背起来不是很难,有一些是有规律可循的。以下整理了一些常见的泰勒展开式,后期做题如果有补充再整理。

1万+
1万+
429
206
4万+

被折叠的 条评论
为什么被折叠?