作者简介:大家好,我是smart哥,前中兴通讯、美团架构师,现某互联网公司CTO
联系qq:184480602,加我进群,大家一起学习,一起进步,一起对抗互联网寒冬
学习必须往深处挖,挖的越深,基础越扎实!
阶段1、深入多线程
阶段2、深入多线程设计模式
阶段3、深入juc源码解析
阶段4、深入jdk其余源码解析
码哥源码部分
码哥讲源码-原理源码篇【揭秘join方法的唤醒本质上决定于jvm的底层析构函数】
码哥源码-原理源码篇【Doug Lea为什么要将成员变量赋值给局部变量后再操作?】
码哥讲源码【谁再说Spring不支持多线程事务,你给我抽他!】
打脸系列【020-3小时讲解MESI协议和volatile之间的关系,那些将x86下的验证结果当作最终结果的水货们请闭嘴】
题目描述
大家都知道斐波那契数列,现在要求输入一个整数n,请你输出斐波那契数列的第n项(从0开始,第0项为0)。
n<=39
首先解释一下斐波那契数列,表达式f(n)=f(n-1)+f(n-2),也就是{0,1,1,2,3......}
这道题目递归的时间复杂度很高,迭代时间复杂度为n,使用通项公式的时间复杂度为1;
在这里很明显第一眼看见首先想到的就是递归,我第一次用了就是递归,但是其时间复杂度贼高,因为它在递归的时候,计算的每个值都是要从f(0)+f(1)....一直加到你收递归的值,这样下去cpu消耗巨大,贴上代码:
public int Fibonacci(int n) {
if(n==1) {
return 1;
}
if(n==0) {
return 0;
}
return Fibonacci(n-1)+Fibonacci(n-2);
}
它的运行时间:

然后我又使用了迭代的方式:
public int FibonacciFor(int n) {
if(n==1) {
return 1;
}
if(n==0) {
return 0;
}
int[] arr=new int[n+1];
arr[0]=0;
arr[1]=1;
for(int i=2;i<n+1;i++) {
arr[i]=arr[i-1]+arr[i-2];
}
return arr[n];
}
它的运行时间:

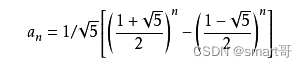
第三种方式,使用通项公式:

public int Fibonacci(int n) {
double number=0;
double x1=Math.pow((1+Math.sqrt(5))/2, n);
double x2=Math.pow((1-Math.sqrt(5))/2, n);
number=(x1-x2)/Math.sqrt(5);
return (int) number;
}

645

被折叠的 条评论
为什么被折叠?



