关于链表,你该了解这些!
什么是链表,链表是一种通过指针串联在一起的线性结构,每一个节点由两部分组成,一个是数据域一个是指针域(存放指向下一个节点的指针),最后一个节点的指针域指向null(空指针的意思)。
链表的入口节点称为链表的头结点也就是head。
如图所示: 
#链表的类型
接下来说一下链表的几种类型:
#单链表
刚刚说的就是单链表。
#双链表
单链表中的指针域只能指向节点的下一个节点。
双链表:每一个节点有两个指针域,一个指向下一个节点,一个指向上一个节点。
双链表 既可以向前查询也可以向后查询。
如图所示: 
#循环链表
循环链表,顾名思义,就是链表首尾相连。
循环链表可以用来解决约瑟夫环问题。

#链表的存储方式
了解完链表的类型,再来说一说链表在内存中的存储方式。
数组是在内存中是连续分布的,但是链表在内存中可不是连续分布的。
链表是通过指针域的指针链接在内存中各个节点。
所以链表中的节点在内存中不是连续分布的 ,而是散乱分布在内存中的某地址上,分配机制取决于操作系统的内存管理。
如图所示:

这个链表起始节点为2, 终止节点为7, 各个节点分布在内存的不同地址空间上,通过指针串联在一起。
#链表的定义
接下来说一说链表的定义。
链表节点的定义,很多同学在面试的时候都写不好。
这是因为平时在刷leetcode的时候,链表的节点都默认定义好了,直接用就行了,所以同学们都没有注意到链表的节点是如何定义的。
而在面试的时候,一旦要自己手写链表,就写的错漏百出。
这里我给出C/C++的定义链表节点方式,如下所示:
// 单链表
struct ListNode {
int val; // 节点上存储的元素
ListNode *next; // 指向下一个节点的指针
ListNode(int x) : val(x), next(NULL) {} // 节点的构造函数
};
有同学说了,我不定义构造函数行不行,答案是可以的,C++默认生成一个构造函数。
但是这个构造函数不会初始化任何成员变量,下面我来举两个例子:
通过自己定义构造函数初始化节点:
ListNode* head = new ListNode(5);
使用默认构造函数初始化节点:
ListNode* head = new ListNode();
head->val = 5;
所以如果不定义构造函数使用默认构造函数的话,在初始化的时候就不能直接给变量赋值!
#链表的操作
#删除节点
删除D节点,如图所示:

只要将C节点的next指针 指向E节点就可以了。
那有同学说了,D节点不是依然存留在内存里么?只不过是没有在这个链表里而已。
是这样的,所以在C++里最好是再手动释放这个D节点,释放这块内存。
其他语言例如Java、Python,就有自己的内存回收机制,就不用自己手动释放了。
#添加节点
如图所示:

可以看出链表的增添和删除都是O(1)操作,也不会影响到其他节点。
但是要注意,要是删除第五个节点,需要从头节点查找到第四个节点通过next指针进行删除操作,查找的时间复杂度是O(n)。
#性能分析
再把链表的特性和数组的特性进行一个对比,如图所示:

数组在定义的时候,长度就是固定的,如果想改动数组的长度,就需要重新定义一个新的数组。
链表的长度可以是不固定的,并且可以动态增删, 适合数据量不固定,频繁增删,较少查询的场景。
相信大家已经对链表足够的了解,后面我会讲解关于链表的高频面试题目,我们下期见!
#其他语言版本
Java:
public class ListNode {
// 结点的值
int val;
// 下一个结点
ListNode next;
// 节点的构造函数(无参)
public ListNode() {
}
// 节点的构造函数(有一个参数)
public ListNode(int val) {
this.val = val;
}
// 节点的构造函数(有两个参数)
public ListNode(int val, ListNode next) {
this.val = val;
this.next = next;
}
}
Python:
class ListNode:
def __init__(self, val, next=None):
self.val = val
self.next = next
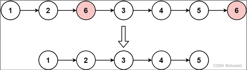
给你一个链表的头节点 head 和一个整数 val ,请你删除链表中所有满足 Node.val == val 的节点,并返回 新的头节点 。
示例 1:

输入:head = [1,2,6,3,4,5,6], val = 6
输出:[1,2,3,4,5]
示例 2:
输入:head = [], val = 1
输出:[]
示例 3:
输入:head = [7,7,7,7], val = 7
输出:[]
提示:
列表中的节点数目在范围 [0, 104] 内
1 <= Node.val <= 50
0 <= val <= 50
解题思路:
方法一: 删除节点若为头节点,则将头节点指针下移,即head=head.next;若不是头节点,则将next指向所删节点的下一个节点头。
/**
* Definition for singly-linked list.
* public class ListNode {
* int val;
* ListNode next;
* ListNode() {}
* ListNode(int val) { this.val = val; }
* ListNode(int val, ListNode next) { this.val = val; this.next = next; }
* }
*/
class Solution {
public ListNode removeElements(ListNode head, int val) {
//判断初始节点是否为空以及是否是目标删除节点
if(head == null){return head;}
while(head != null && head.val == val){
head = head.next;
}
ListNode current = head;//定义头节点为现节点
while(current != null){
if(current.next != null && current.next.val == val){
current.next = current.next.next;
}else{
current = current.next;
}
}
return head;
}
}
方法二:增加一个虚拟头节点,则删除节点可将next指针指向指向所删节点的下一个节点头。
class Solution {
public ListNode removeElements(ListNode head, int val) {
//判断初始节点是否为空以及是否是目标删除节点
if(head == null){return head;}
//添加虚拟头节点并初始化
ListNode pre_head = new ListNode(-1, head);
ListNode pre = pre_head;
ListNode current = head;
while(current != null){//不能用for???
if(current.val == val){
pre.next = current.next;
}else{
pre = current;
}
current = current.next;
}
return pre_head.next;
}
}
设计链表的实现。您可以选择使用单链表或双链表。单链表中的节点应该具有两个属性:val 和 next。val 是当前节点的值,next 是指向下一个节点的指针/引用。如果要使用双向链表,则还需要一个属性 prev 以指示链表中的上一个节点。假设链表中的所有节点都是 0-index 的。
在链表类中实现这些功能:
get(index):获取链表中第 index 个节点的值。如果索引无效,则返回-1。
addAtHead(val):在链表的第一个元素之前添加一个值为 val 的节点。插入后,新节点将成为链表的第一个节点。
addAtTail(val):将值为 val 的节点追加到链表的最后一个元素。
addAtIndex(index,val):在链表中的第 index 个节点之前添加值为 val 的节点。如果 index 等于链表的长度,则该节点将附加到链表的末尾。如果 index 大于链表长度,则不会插入节点。如果index小于0,则在头部插入节点。
deleteAtIndex(index):如果索引 index 有效,则删除链表中的第 index 个节点。
示例:
MyLinkedList linkedList = new MyLinkedList();
linkedList.addAtHead(1);
linkedList.addAtTail(3);
linkedList.addAtIndex(1,2); //链表变为1-> 2-> 3
linkedList.get(1); //返回2
linkedList.deleteAtIndex(1); //现在链表是1-> 3
linkedList.get(1); //返回3
解题思路:题目考查链表的基本操作,分单链表和双链表两种情况
单链表:
//单链表
class ListNode {
int val;
ListNode next;
ListNode(){}
ListNode(int val) {
this.val=val;
}
}
class MyLinkedList {
//size存储链表元素的个数
int size;
//虚拟头结点
ListNode head;
//初始化链表
public MyLinkedList() {
size = 0;
head = new ListNode(0);
}
//获取第index个节点的数值,注意index是从0开始的,第0个节点就是头结点
public int get(int index) {
//如果index非法,返回-1
if (index < 0 || index >= size) {
return -1;
}
ListNode currentNode = head;
//包含一个虚拟头节点,所以查找第 index+1 个节点
for (int i = 0; i <= index; i++) {
currentNode = currentNode.next;
}
return currentNode.val;
}
//在链表最前面插入一个节点,等价于在第0个元素前添加
public void addAtHead(int val) {
addAtIndex(0, val);
}
//在链表的最后插入一个节点,等价于在(末尾+1)个元素前添加
public void addAtTail(int val) {
addAtIndex(size, val);
}
// 在第 index 个节点之前插入一个新节点,例如index为0,那么新插入的节点为链表的新头节点。
// 如果 index 等于链表的长度,则说明是新插入的节点为链表的尾结点
// 如果 index 大于链表的长度,则返回空
public void addAtIndex(int index, int val) {
if (index > size) {
return;
}
if (index < 0) {
index = 0;
}
size++;
//找到要插入节点的前驱
ListNode pred = head;
for (int i = 0; i < index; i++) {
pred = pred.next;
}
ListNode toAdd = new ListNode(val);
toAdd.next = pred.next;
pred.next = toAdd;
}
//删除第index个节点
public void deleteAtIndex(int index) {
if (index < 0 || index >= size) {
return;
}
size--;
if (index == 0) {
head = head.next;
return;
}
ListNode pred = head;
for (int i = 0; i < index ; i++) {
pred = pred.next;
}
pred.next = pred.next.next;
}
}
双链表
//双链表
class ListNode{
int val;
ListNode next,prev;
ListNode() {};
ListNode(int val){
this.val = val;
}
}
class MyLinkedList {
//记录链表中元素的数量
int size;
//记录链表的虚拟头结点和尾结点
ListNode head,tail;
public MyLinkedList() {
//初始化操作
this.size = 0;
this.head = new ListNode(0);
this.tail = new ListNode(0);
//这一步非常关键,否则在加入头结点的操作中会出现null.next的错误!!!
head.next=tail;
tail.prev=head;
}
public int get(int index) {
//判断index是否有效
if(index<0 || index>=size){
return -1;
}
ListNode cur = this.head;
//判断是哪一边遍历时间更短
if(index >= size / 2){
//tail开始
cur = tail;
for(int i=0; i< size-index; i++){
cur = cur.prev;
}
}else{
for(int i=0; i<= index; i++){
cur = cur.next;
}
}
return cur.val;
}
public void addAtHead(int val) {
//等价于在第0个元素前添加
addAtIndex(0,val);
}
public void addAtTail(int val) {
//等价于在最后一个元素(null)前添加
addAtIndex(size,val);
}
public void addAtIndex(int index, int val) {
//index大于链表长度
if(index>size){
return;
}
//index小于0
if(index<0){
index = 0;
}
size++;
//找到前驱
ListNode pre = this.head;
for(int i=0; i<index; i++){
pre = pre.next;
}
//新建结点
ListNode newNode = new ListNode(val);
newNode.next = pre.next;
pre.next.prev = newNode;
newNode.prev = pre;
pre.next = newNode;
}
public void deleteAtIndex(int index) {
//判断索引是否有效
if(index<0 || index>=size){
return;
}
//删除操作
size--;
ListNode pre = this.head;
for(int i=0; i<index; i++){
pre = pre.next;
}
pre.next.next.prev = pre;
pre.next = pre.next.next;
}
}
/**
* Your MyLinkedList object will be instantiated and called as such:
* MyLinkedList obj = new MyLinkedList();
* int param_1 = obj.get(index);
* obj.addAtHead(val);
* obj.addAtTail(val);
* obj.addAtIndex(index,val);
* obj.deleteAtIndex(index);
*/
给你单链表的头节点 head ,请你反转链表,并返回反转后的链表。
输入:head = [1,2,3,4,5] 输出:[5,4,3,2,1] 输入:head = [1,2] 输出:[2,1] 输入:head = [] 输出:[] 解题思路:
只需要改变链表的next指针的指向,直接将链表反转 ,而不用重新定义一个新的链表,如图所示:

之前链表的头节点是元素1, 反转之后头结点就是元素5 ,这里并没有添加或者删除节点,仅仅是改变next指针的方向。
首先定义一个cur指针,指向头结点,再定义一个pre指针,初始化为null。
然后就要开始反转了,首先要把 cur->next 节点用tmp指针保存一下,也就是保存一下这个节点。
为什么要保存一下这个节点呢,因为接下来要改变 cur->next 的指向了,将cur->next 指向pre ,此时已经反转了第一个节点了。
接下来,就是循环走如下代码逻辑了,继续移动pre和cur指针。
最后,cur 指针已经指向了null,循环结束,链表也反转完毕了。 此时我们return pre指针就可以了,pre指针就指向了新的头结点。
代码实现
/**
* Definition for singly-linked list.
* public class ListNode {
* int val;
* ListNode next;
* ListNode() {}
* ListNode(int val) { this.val = val; }
* ListNode(int val, ListNode next) { this.val = val; this.next = next; }
* }
*/
class Solution {
public ListNode reverseList(ListNode head) {
ListNode prev = null;
ListNode cur = head;
ListNode temp = null;
while (cur != null) {
temp = cur.next;// 保存下一个节点
cur.next = prev;
prev = cur;
cur = temp;
}
return prev;
}
}
总结:今天主要学习了链表的基本操作,重点是链表的定义的理解以及表头和表尾的处理。
本文详细介绍了链表的结构(单链表、双链表和循环链表),内存存储方式,节点定义,以及关键操作如删除和添加节点的示例。涵盖了链表的性能分析和不同编程语言的实现。是深入理解链表和准备面试的好资源。
1618

被折叠的 条评论
为什么被折叠?



