工作中,很多同学会用到状态机,例如对一个工单进行创建、编辑、审核,在执行新动作前,要检查能否从当前状态流转到下一个状态。对这种需求,我们怎么实现呢?
数组
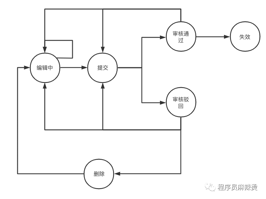
在Go设计模式(22)-状态模式中说过,简单的状态管理使用数组即可完成,无需使用状态模式。以下图为例,状态之间的流转,无法跳跃,即只能从编辑中跳到提交,无法直接从编辑中跳到审核通过。

这种实现方案很简单,配置数组用于检查:
func (s *shopWarehouse) statusCheck(currentStatus, targetStatus int64) bool {
//target -> currents
statusMap := map[int64][]int64{
consts.Editing: []int64{consts.Editing, consts.Pass, consts.Reject},
consts.Submit: []int64{consts.Editing, consts.Reject},
consts.Pass: []int64{consts.Submit},
consts.Reject: []int64{consts.Submit},
consts.Invalid: []int64{consts.Pass},
consts.Delete: []int64{consts.Reject, consts.Editing},
}
if statusList, ok := statusMap[targetStatus]; ok {
if util.InArray(currentStatus, statusList) {
return true
}
return false
} else {
return false
}
}
数组在设置上,可以设置为target->current,也可设置为为current->target,current->target更易于理解。
状态检查需要两步,先查询当前状态,然后调用statusCheck函数,但两个操作之间,若有其它线程更改了当前状态呢?
其实可以用Go中加锁的例子进行解释,在Go锁,我终于搞懂了中,加互斥锁也分两步,获取当前状态,然后执行CAS,必然会遇到并发情况,对当前状态进行了变更。但没有影响,因为只要更新的那一刻,我们关注的数据状态没有变化,那就说明变更合法的,直接更新即可。
将状态放到数组里统一维护,比将各个状态分散开判断,在设计上要好得多。
图
上面的流转比较简单,而且没有跳跃情况。如果状态十分多,而且会跳跃,再用数组方案,维护成本极高。
此时,图的作用就发挥出来了。分支限界法和回溯法里有很多广度优先遍历和深度优先遍历的例子,希望可以帮助大家回忆起相关算法。
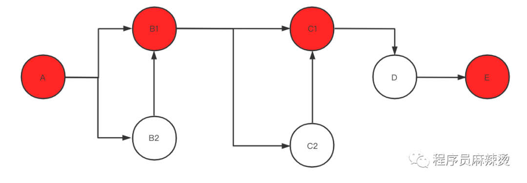
这里先举一个状态流转例子:

其中红色表示必须经过的节点,白色可以跳过,对于这种情况,我们应该怎样实现呢?
package main
import (
"fmt"
"reflect"
)
// 时序图
var StatusTimingGraph = map[string][]string{
"A": {"B1", "B2"},
"B1": {"C1", "C2"},
"B2": {"B1"},
"C1": {"D"},
"C2": {"C1"},
"D": {"E"},
}
// 核心节点
var CoreStatus = []string{
"A",
"B1",
"C1",
"E",
}
var StatusJumpGraph = InitJumpGraph(StatusTimingGraph, CoreStatus)
func InitJumpGraph(statusMap map[string][]string, coreStatus []string) map[string][]string {
retMap := make(map[string][]string, 0)
for status, statusList := range statusMap {
retList := make([]string, 0)
for _, tStatus := range statusList {
retList = append(retList, tStatus)
if InSlice(coreStatus, tStatus) {
continue
}
tList := recursionGraph(tStatus, statusMap, coreStatus)
for _, tStatus := range tList {
if !InSlice(retList, tStatus) {
retList = append(retList, tStatus)
}
}
}
retMap[status] = retList
}
return retMap
}
func recursionGraph(status string, statusMap map[string][]string, coreStatus []string) []string {
retList := make([]string, 0)
if statusList, ok := statusMap[status]; ok {
for _, tStatus := range statusList {
retList = append(retList, tStatus)
if InSlice(coreStatus, tStatus) {
continue
}
retList = append(retList, recursionGraph(tStatus, statusMap, coreStatus)...)
}
}
return retList
}
func InSlice(a, b interface{}) bool {
exist, _ := InSliceWithError(a, b)
return exist
}
func InSliceWithError(a, b interface{}) (exist bool, err error) {
va := reflect.ValueOf(a)
if va.Kind() != reflect.Slice {
err = fmt.Errorf("parameter a must be a slice")
return
}
if reflect.TypeOf(a).String()[2:] != reflect.TypeOf(b).String() {
err = fmt.Errorf("type of parameter b not match with parameter a")
return
}
for i := 0; i < va.Len(); i++ {
if va.Index(i).Interface() == b {
exist = true
return
}
}
return
}
func main() {
originStatus := "A"
targetStatus := "B1"
statusList, ok := StatusJumpGraph[originStatus]
fmt.Println(StatusJumpGraph)
if !ok {
fmt.Println("状态有误")
return
}
if !InSlice(statusList, targetStatus) {
fmt.Println("状态不合规,无法流转")
return
}
}
输出:
➜ myproject go run main.go
map[A:[B1 B2] B1:[C1 C2] B2:[B1] C1:[D E] C2:[C1] D:[E]]
这个代码其实是深度优先遍历,CoreStatus意味深度优先遍历终止的位置。使用该方案,无论状态图多复杂,只需修改状态配置即可。
但这个方案有一个问题,正好可以留给大家思考:如果是幂等情况,需要如何实现?即D->D的情况。
资料
- UML:https://www.processon.com/view/link/6174cb1b63768912b562ce29
最后
大家如果喜欢我的文章,可以关注我的公众号(程序员麻辣烫)
我的个人博客为:https://shidawuhen.github.io/

往期文章回顾:

被折叠的 条评论
为什么被折叠?



