题目描述
一只青蛙一次可以跳上1级台阶,也可以跳上2级。求该青蛙跳上一个n级的台阶总共有多少种跳法(先后次序不同算不同的结果)。
示例1:
输入1
返回值1
示例2:
输入4
返回值5
思想: 经典递归问题
思路:跳n级台阶相当于n-1和n-2级台阶的和
原因:n级台阶就相当于n-1级再跳一次一阶的和n-2级再跳一次2阶的
public class Solution {
public int JumpFloor(int n) {
if (n == 1) return 1;
if (n == 2) return 2;
return JumpFloor(n - 1) + JumpFloor(n - 2);
}
}
优化后的代码:
public class Solution {
//使用哈希map ,充当备忘录
Map<Integer,Integer> tempMap=new HashMap();
public int JumpFloor(int n) {
//n=0 也算一种
if(n == 0) return 1;
if(n<=2) return n;
//先判断有没有计算过,即看看备忘录有没有
if(tempMap.containsKey(n)){
//备忘录中有,即计算过,直接返回
return tempMap.get(n);
}else{
//备忘录中没有,即没有计算过,执行递归计算 并把结果保存至备忘录
tempMap.put(n,JumpFloor(n-1)+JumpFloor(n-2));
return tempMap.get(n);
}
}
}
优化的原因:
递归存在的问题
递归调用层级太多,导致栈溢出问题
递归重复计算,导致效率低下
栈溢出问题
每一次函数调用在内存栈中分配空间,而每个进程的栈容量是有限的。
当递归调用的层级太多时,就会超出栈的容量,从而导致调用栈溢出。
其实,我们在前面小节也讨论了,递归过程类似于出栈入栈,如果递归次数过多,栈的深度就需要越深,最后栈容量真的不够咯

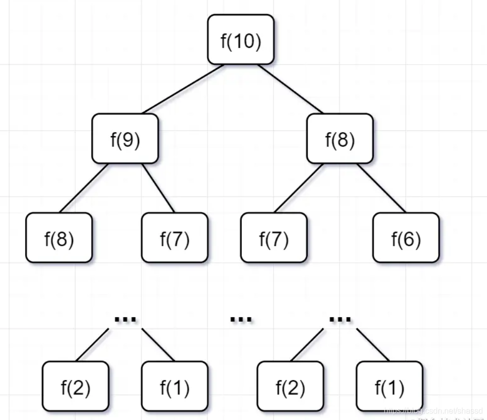
要计算原问题 f(10),就需要先计算出子问题 f(9) 和 f(8)
然后要计算 f(9),又要先算出子问题 f(8) 和 f(7),以此类推。
一直到 f(2) 和 f(1),递归树才终止。
我们先来看看这个递归的时间复杂度吧,「递归时间复杂度 = 解决一个子问题时间*子问题个数」
一个子问题时间 = f(n-1)+f(n-2),也就是一个加法的操作,所以复杂度是 「O(1)」;
问题个数 = 递归树节点的总数,递归树的总结点 = 2n-1,所以是复杂度「O(2n)」。
因此,青蛙跳阶,递归解法的时间复杂度 = O(1) * O(2^n) = O(2^n),就是指数级别的,爆炸增长的,「如果n比较大的话,超时很正常的了」。
回过头来,你仔细观察这颗递归树,你会发现存在「大量重复计算」,比如f(8)被计算了两次,f(7)被重复计算了3次…所以这个递归算法低效的原因,就是存在大量的重复计算!
「那么,怎么解决这个问题呢?」
既然存在大量重复计算,那么我们可以先把计算好的答案存下来,即造一个备忘录,等到下次需要的话,先去「备忘录」查一下,如果有,就直接取就好了,备忘录没有才再计算,那就可以省去重新重复计算的耗时啦!这就是「带备忘录的解法」
我们来看一下「带备忘录的递归解法」吧~
一般使用一个数组或者一个哈希map充当这个「备忘录」。
假设f(10)求解加上「备忘录」,我们再来画一下递归树:
「第一步」,f(10)= f(9) + f(8),f(9) 和f(8)都需要计算出来,然后再加到备忘录中,如下:
「第二步,」 f(9) = f(8)+ f(7),f(8)= f(7)+ f(6), 因为 f(8) 已经在备忘录中啦,所以可以省掉,f(7),f(6)都需要计算出来,加到备忘录中~
「第三步,」 f(8) = f(7)+ f(6),发现f(8),f(7),f(6)全部都在备忘录上了,所以都可以剪掉。
这篇博客详细解析了青蛙跳台阶问题,探讨了使用递归解法时遇到的栈溢出和效率低下问题。通过分析递归的时间复杂度为O(2^n),指出在递归树中存在大量重复计算。为了解决这些问题,提出了备忘录法,通过存储已计算的答案避免重复计算,提高了算法效率。文章以递归树的形式展示了备忘录法的优化过程。
1166

被折叠的 条评论
为什么被折叠?



