来源:力扣(LeetCode)
链接:https://leetcode-cn.com/problems/swap-nodes-in-pairs
给定一个链表,两两交换其中相邻的节点,并返回交换后的链表。
你不能只是单纯的改变节点内部的值,而是需要实际的进行节点交换。
示例 1:

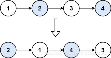
输入:head = [1,2,3,4]
输出:[2,1,4,3]
示例 2:
输入:head = []
输出:[]
示例 3:
输入:head = [1]
输出:[1]
提示:
链表中节点的数目在范围 [0, 100] 内
0 <= Node.val <= 100
进阶:你能在不修改链表节点值的情况下解决这个问题吗?(也就是说,仅修改节点本身。)
解题思路:
1、简单粗暴重新构造,遍历链表将所有值都存储在两个列表中,奇数存A列表,偶数存B列表,然后从头构建链表,依次从偶数、奇数列表中取值,并构造。
2、双指针遍历,构造一个头指针,指针的 Next 指向当前链表的头部,确保头部链表的 Next 指针不为空的情况下,另一个指针指向头指针的 Next 值,也就是
pre = head.Next
curr = head.Next.Next (确保该值存在,且不为空)
然后依次挪动 pre 和 curr 指针,当满足遍历过2个元素后,开始做交换处理,将 _pre.Next 的对象与 curr 对象做交换,并修改对应元素的 Next 指向即可(这块的指向需要细心处理,逻辑不清晰容易弄混)。
对应 golang 版本的代码如下:
/**
* Definition for singly-linked list.
* type ListNode struct {
* Val int
* Next *ListNode
* }
*/
func swapPairs(head *ListNode) *ListNode {
_pre := &ListNode{
Next: head,
}
if _pre.Next == nil || _pre.Next.Next == nil {
return head
}
head_r := _pre
_curr := _pre.Next.Next
for i := 0; _curr != nil; i++ {
if i % 2 == 1 {
_pre = _pre.Next
_curr = _pre.Next.Next
continue
}
_pre.Next.Next = _curr.Next
_curr.Next = _pre.Next
_pre.Next = _curr
_pre = _pre.Next
_curr = _pre.Next.Next
}
return head_r.Next
}
本文介绍了如何使用双指针法解决LeetCode上的链表问题——两两交换节点。通过遍历链表并交换相邻节点,实现了不修改节点值的情况下的链表结构调整。提供的Golang代码展示了具体的实现细节。
427

被折叠的 条评论
为什么被折叠?



