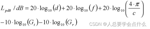
增益单位dBi是直接代入的。
dBi、dBm的事情我还是没有搞懂。

10·lg(Gr)=Gr,Gt同理。我觉得这里应该是相对值和绝对值的问题。
d和f的单位不同,对应的计算不同。取m、Hz时,20·lg(4pi/c)正常计算;取km、MHz时,20·lg(4pi/c)=32.4

更详细的解释可以参考这篇,我刚看到:自由空间损耗模型——弗里斯传输公式 - 知乎 (zhihu.com)
文章探讨了dBi和dBm这两个在IT技术,特别是通信工程中常见的信号强度单位的区别,涉及到相对值和绝对值的概念,并提到了单位转换在不同频率和距离下的计算差异。作者还推荐了一篇详细解释自由空间损耗模型——弗里斯传输公式的知乎文章链接。
增益单位dBi是直接代入的。
dBi、dBm的事情我还是没有搞懂。

10·lg(Gr)=Gr,Gt同理。我觉得这里应该是相对值和绝对值的问题。
d和f的单位不同,对应的计算不同。取m、Hz时,20·lg(4pi/c)正常计算;取km、MHz时,20·lg(4pi/c)=32.4

更详细的解释可以参考这篇,我刚看到:自由空间损耗模型——弗里斯传输公式 - 知乎 (zhihu.com)
6330

被折叠的 条评论
为什么被折叠?