题目
存在一个按升序排列的链表,给你这个链表的头节点 head ,请你删除所有重复的元素,使每个元素 只出现一次 。
返回同样按升序排列的结果链表。
示例 1:

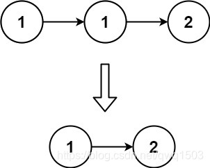
输入:head = [1,1,2]
输出:[1,2]
示例 2:

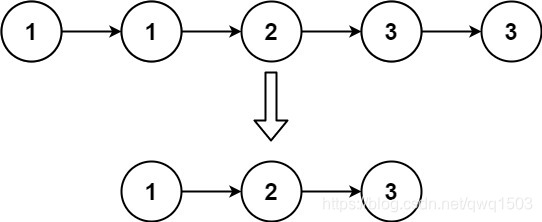
输入:head = [1,1,2,3,3]
输出:[1,2,3]
提示:
链表中节点数目在范围 [0, 300] 内
-100 <= Node.val <= 100
题目数据保证链表已经按升序排列
解题思路:
其实呢,解这个题很简单,如果有相同的,跳过就可以了,下面直接放代码。
代码:
/**
* Definition for singly-linked list.
* struct ListNode {
* int val;
* ListNode *next;
* ListNode() : val(0), next(nullptr) {}
* ListNode(int x) : val(x), next(nullptr) {}
* ListNode(int x, ListNode *next) : val(x), next(next) {}
* };
*/
class Solution {
public:
ListNode* deleteDuplicates(ListNode* head) {
if (head == nullptr) return nullptr;
ListNode* p = head;
while(p != nullptr && p->next != nullptr ){
if (p->val == p->next->val){
p->next = p->next->next;
//cout << 1<<endl;
}else{
p = p->next;
}
}
return head;
}
};
该博客介绍了如何解决一个计算机科学问题,即删除已排序链表中的所有重复元素,保持链表升序排列。提供的C++代码实现了一个简洁的解决方案,通过迭代检查相邻节点是否相等来实现去重。此方法有效地减少了重复元素,且不改变原有顺序。
482





