目录
第1关:图的表示
任务描述
图(
Graph)是表示一些事物或者状态的关系的表达方法。由于许多问题都可以归约为图的问题,人们提出了许多和图相关的算法。本关任务:学习图的相关概念和表示,并用邻接表示图。
相关知识
图是什么
图由顶点(
Vertex)和边(Edge)组成。顶点代表对象。在画示意图的时候,我们使用点或圆圈来表示顶点。边表示的是两个对象的连接关系。在示意图中,我们使用连接顶点之间的线段来表示。顶点的集合是V、边的集合是E的图记为G=(V, E),连接两点u和v的边用e=(u, v)表示。
图的种类
图大体上分为
2种。边没有指向性的图叫做无向图,边具有指向性的图叫做有向图。
我们可以给边赋予各种各样的属性。比较具有代表性的有权值(
cost)。边上带有权值的图叫带权图。在不同问题中,权值可以代表距离、时间以及价格等不同的属性。如下图所示的带权图。
无向图的术语
对于无向图,如果两个顶点之间有边连接,那么就视为两个顶点相邻。相邻顶点的序列称为路径。起点和终点重合的路径叫做环。任意两点之间都有路径连接的图叫做连通图。顶点连接的边数叫做这个顶点的度。
没有环的连通图叫做树(
tree),没有环的非连通图叫做森林。一棵树的边数恰好是顶点数减1。反之,边数等于顶点数减1的连通图就是一棵树。有向图的术语
在有向图中,以顶点
v为起点的边的数量称为v的出度,以v为终点的边的数量称为v的入度。
图的表示
为了能在程序中对图进行处理,需要用具体的数据结构存储顶点和边。在图的表示方法中,代表性的存储方法有邻接矩阵和邻接表。我们把顶点和边的集合记为
V和E,|V|和|E|分别表示顶点和边的数量。邻接矩阵
邻接矩阵使用大小为
|V|×|V|的二维数组G来表示图。G[i][j]表示的是顶点i和顶点j的关系。无向图中,只需知道“顶点
i和顶点j之间是否有边连着”这样的信息,因此,如果顶点i和顶点j之间有边相连,那么G[i][j]和G[j][i]就设为1,否则设为0。
有向图中,只需知道“是否有从顶点
i指向顶点j的边”这样的信息,因此,如果顶点i有一条指向顶点j的边,那么G[i][j]设为1,否则设为0。有向图与无向图不同,并不满足
G[i][j]=G[j][i]。
邻接表
邻接表,是通过把“从顶点
1出发有到顶点2, 5的边”这样的信息保存在链表中来表示图的。即如果从顶点1到顶点2之间有边,则把顶点2添加到顶点1的邻接表中。具体请参考下图。下面是两种表示的一个示例。
无向图的两种表示。
(a)一个有5个顶点和7条边的无向图G。(b) G的邻接表表示。(c) G的邻接矩阵表示。
有向图的两种表示。
(a)一个有6个顶点和8条边的有向图G。(b) G的邻接表表示。(c) G的邻接矩阵表示。
代码:
package step1;
import java.util.ArrayList;
public class Graph {
private int V;//顶点数
private int E;//边数
private ArrayList<Integer>[] adj;//邻接表
public Graph(int v) {
if (v < 0) throw new IllegalArgumentException("Number of vertices must be nonnegative");
V = v;
E = 0;
adj = new ArrayList[V + 1];
for (int i = 0; i <= this.V; i++) {
adj[i] = new ArrayList<Integer>();
}
}
public void addEdge(int v, int w) {
/********** Begin *********/
//邻接表
adj[v].add(w);//v连接w
adj[w].add(v);//w连接v
E++;//增加一条边
/********** End *********/
}
public String toString() {
StringBuilder s = new StringBuilder();
s.append(V + " 个顶点, " + E + " 条边\n");
for (int v = 1; v <= V; v++) {
s.append(v + ": ");
for (int w : adj[v]) {
s.append(w + " ");
}
s.append("\n");
}
return s.toString();
}
}
以下是测试样例:
测试输入:
5 71 21 52 52 42 33 44 5(第一行中的5和7分别表示顶点数和边数,不会作为函数addEdge()的参数传入。)预期输出:
第2关:深度优先搜索
任务描述
像遍历树的结点那样,按照特定顺序访问图的所有顶点的算法就是图的搜索(
search)算法。图的搜索过程中,利用哪些边,以何种顺序访问顶点等信息可以帮助我们分析出图的结构。本关任务:实现深度优先搜索。
相关知识
深度优先搜索介绍
图的深度优先搜索(
Depth-First Search,DFS),是找出图结构所有顶点的最简单最传统的方法。它的思想:假设初始状态是图中所有顶点均未被访问,则从某个顶点
v出发,首先访问该顶点,然后依次从它的各个未被访问的邻接点出发深度优先搜索遍历图,直至图中所有和v有路径相通的顶点都被访问到。 若此时尚有其他顶点未被访问到,则另选一个未被访问的顶点作起始点,重复上述过程,直至图中所有顶点都被访问到为止。显然,深度优先搜索是一个递归的过程。
深度优先搜索图解
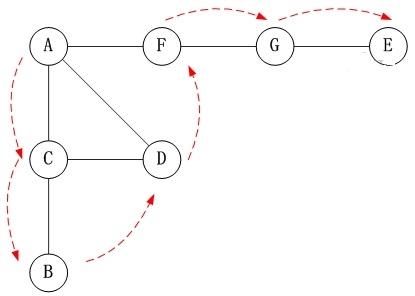
下面以无向图来对深度优先搜索进行图示。
对上面的图
G进行深度优先搜索,从顶点A开始。
第1步:访问
A。第2步:访问(
A的邻接点)C。 (在第1步访问A之后,接下来应该访问的是A的邻接点,即C, D, F中的一个。这里访问的是C)第3步:访问(
C的邻接点)B。 (在第2步访问C之后,接下来应该访问C的邻接点,即B和D中一个(A已经被访问过,就不算在内)。这里访问B。)第4步:访问(
C的邻接点)D。 (在第3步访问了C的邻接点B之后,B没有未被访问的邻接点;因此,返回到访问C的另一个邻接点D。)第5步:访问(
A的邻接点)F。 (前面已经访问了A,并且访问完了A的邻接点C的所有邻接点(包括递归的邻接点在内);因此,此时返回到访问A的另一个邻接点F。第6步:访问(
F的邻接点)G。第7步:访问(
G的邻接点)E。因此访问顺序是:
A -> C -> B -> D -> F -> G -> E
代码:
package step2;
import java.util.ArrayList;
public class DFSGraph {
private boolean[] marked;
private int V;//顶点数
private int E;//边数
private ArrayList<Integer>[] adj;//邻接表
public DFSGraph(int v) {
if (v < 0) throw new IllegalArgumentException("Number of vertices must be nonnegative");
V = v;
E = 0;
adj = new ArrayList[V + 1];
marked = new boolean[V + 1];
for (int i = 0; i <= this.V; i++) {
adj[i] = new ArrayList<Integer>();
}
}
public void addEdge(int v, int w) {
adj[v].add(w);
adj[w].add(v);
E++;
}
public void DFS(int v) {
/********** Begin *********/
if(marked[v]){//如果已经被标记则代表找过,直接返回
return;
}
marked[v] = true;//没被标记则改为true,表示被标记
System.out.print(v + " ");//输出被遍历的点
for (int w : adj[v]) {//遍历adj集合中v连接的元素w,将每次遍历的元素赋值给w取出每一个元素
if (!marked[w]) {//如果没有被标记则进入
DFS(w);//递归往下继续找
}
}
/********** End *********/
}
public String toString() {
StringBuilder s = new StringBuilder();
s.append(V + " 个顶点, " + E + " 条边\n");
for (int v = 1; v <= V; v++) {
s.append(v + ": ");
for (int w : adj[v]) {
s.append(w + " ");
}
s.append("\n");
}
return s.toString();
}
}
测试输入:
5 71 21 52 52 42 33 44 5(第一行5和7表示顶点数和边数)预期输出:
第3关:广度优先搜索
任务描述
本关介绍另一种图搜索算法————广度优先搜索法(
Breadth First Search,BFS)。与深度搜索法一样,广度优先搜索法也得到广泛应用。广度优先搜索与深度优先搜索相互配合,就能形成图搜索方式的两个轴。本关任务:实现图的广度优先搜索。
相关知识
深度优先搜索的过程并不直观,而广度优先搜索的过程理解起来非常容易。因为,广度优先搜索法从离起点最近的顶点开始按顺序访问。
广度优先搜索介绍
广度优先搜索算法(
Breadth First Search),又称为"宽度优先搜索"或"横向优先搜索",简称BFS。它的思想是:从图中某顶点
v出发,在访问了v之后依次访问v的各个未曾访问过的邻接点,然后分别从这些邻接点出发依次访问它们的邻接点,并使得“先被访问的顶点的邻接点先于后被访问的顶点的邻接点被访问,直至图中所有已被访问的顶点的邻接点都被访问到。如果此时图中尚有顶点未被访问,则需要另选一个未曾被访问过的顶点作为新的起始点,重复上述过程,直至图中所有顶点都被访问到为止。换句话说,广度优先搜索遍历图的过程是以
v为起点,由近至远,依次访问和v有路径相通且路径长度为1,2...的顶点。广度优先搜索图解
下面以"无向图"为例,来对广度优先搜索进行图示。
对上面的图
G进行广度优先搜索,从顶点A开始。
第1步:访问
A。第2步:依次访问
A的邻接点C,D,F。 (在第2步访问完C,D,F之后,再依次访问它们的邻接点。首先访问C的邻接点B,再访问F的邻接点G。)第3步:依次访问
B,G。 (在第3步访问完B,G之后,再依次访问它们的邻接点。只有G有邻接点E,因此访问G的邻接点E。)第4步:访问
E。 因此访问顺序是:A -> C -> D -> F -> B -> G -> E。
代码:
package step3;
import java.util.ArrayList;
import java.util.LinkedList;
import java.util.Queue;
public class BFSGraph {
private int V;//顶点数
private int E;//边数
private boolean[] marked;
private ArrayList<Integer>[] adj;//邻接表
public BFSGraph(int v) {
if (v < 0) throw new IllegalArgumentException("Number of vertices must be nonnegative");
V = v;
E = 0;
adj = new ArrayList[V + 1];
marked = new boolean[V + 1];
for (int i = 0; i <= this.V; i++) {
adj[i] = new ArrayList<Integer>();
}
}
public void addEdge(int v, int w) {
adj[v].add(w);
adj[w].add(v);
E++;
}
public void BFS(int s) {
/********** Begin *********/
Queue<Integer> q = new LinkedList<Integer>();//定义一个队列
q.add(s);//将顶点入队
marked[s] = true;//标记入队顶点
while (!q.isEmpty()) {//如果队列不为空
int v = q.poll();//取出最先入队的顶点
System.out.print(v + " ");//输出该顶点
for (int w:adj[v]) {//遍历adj集合中v连接的元素w,将每次遍历的元素赋值给w取出每一个元
if (!marked[w]) {//没被标记则进入
q.add(w);//将该点入队
marked[w] = true;//标记该点
}
}
}
/********** End *********/
}
public String toString() {
StringBuilder s = new StringBuilder();
s.append(V + " 个顶点, " + E + " 条边\n");
for (int v = 1; v <= V; v++) {
s.append(v + ": ");
for (int w : adj[v]) {
s.append(w + " ");
}
s.append("\n");
}
return s.toString();
}
}
测试输入:
6 81 21 31 62 33 43 54 54 6(6和8表示顶点数和边数)预期输出:
第4关:单源最短路径
任务描述
在图的应用中,有一个很重要的需求:我们需要知道从某一个点开始,到其他所有点的最短路径。这其中,
Dijkstra算法是典型的最短路径算法。本关任务:实现
Dijkstra算法求单源最短路径。相关知识
Dijkstra算法
迪杰斯特拉算法(
Dijkstra's algorithm)是由荷兰计算机科学家Edsger Wybe Dijkstra提出。该算法常用于路由算法或者作为其他图算法的一个子模块。举例来说,如果图中的顶点表示城市,而边上的权重表示城市间开车行经的距离,该算法可以用来找到两个城市之间的最短路径。在下图中找到从家到学校的最短路径:
(可以使用
Dijkstra算法找到的最短路径是Home->B->D->F->School)基本思想:
将图
G中所有的顶点V分成两个顶点集合S和T。以v为源点已经确定了最短路径的终点并入S集合中,S初始时只含顶点v,T则是尚未确定到源点v最短路径的顶点集合。然后每次从T集合中选择S集合点中到T路径最短的那个点,并加入到集合S中,并把这个点从集合T删除。直到T集合为空为止。算法步骤:
- 初始时,
S只包含源点,即S={v},v的距离为0。T包含除v外的其他顶点,即:T={其余顶点},若v与T中顶点u有边,则<u,v>正常有权值,若u不是v的出边邻接点,则<u,v>权值为∞。- 从
T中选取一个距离v最小的顶点k,把k加入S中(该选定的距离就是v到k的最短路径长度)。- 以
k为新考虑的中间点,修改U中各顶点的距离;若从源点v到顶点u的距离(经过顶点k)比原来距离(不经过顶点k)短,则修改顶点u的距离值,修改后的距离值为顶点k的距离加上边上的权。- 重复步骤
2和3直到所有顶点都包含在S中。伪代码:
function Dijkstra(Graph, source): dist[source] := 0 // 源点到源点的距离为0 for each vertex v in Graph: // 初始化 if v ≠ source dist[v] := infinity // 从源点到各个节点的距离初始化为无穷大 add v to Q // 把所有节点都加入队列Q中 while Q is not empty: // 主循环 v := vertex in Q with min dist[v] // 第一次循环,返回的必然是源点 remove v from Q for each neighbor u of v: // 遍历v的所有邻接节点 alt := dist[v] + length(v, u) if alt < dist[u]: // 找到了到u的更短的路径 dist[u] := alt // 更新到u的距离 return dist[] end function
代码:
package step4;
import java.util.*;
public class ShortestPath {
private int V;//顶点数
private int E;//边数
private int[] dist;
private ArrayList<Integer>[] adj;//邻接表
private int[][] weight;//权重
public ShortestPath(int v, int e) {
V = v;
E = e;
dist = new int[V + 1];
adj = new ArrayList[V + 1];
weight = new int[V + 1][V + 1];
for (int i = 0; i <= this.V; i++) {
adj[i] = new ArrayList<Integer>();
}
}
public void addEdge(int u, int v, int w) {
adj[u].add(v);
adj[v].add(u);
weight[u][v] = weight[v][u] = w;
}
public int[] Paths(int source) {
/********** Begin *********/
for (int i = 1; i <= V; i++) {//所有点的距离初始化为无限大
dist[i] = Integer.MAX_VALUE;
}
dist[source]=0;//初始点初始化为0
boolean[] st=new boolean[V+1];//判断是否以这个点为起点遍历过
for(int i=0;i<V;i++)//V个顶点都要遍历一次
{
int t=-1;
for(int j=1;j<=V;j++)//找到V个顶点中,哪个点到起点的距离最小,先以这个点更新其他点
{
if(!st[j]&&(t==-1||dist[t]>dist[j]))//如果没遍历过,并且比当前的小或是第一个数,则记录
{
t=j;//保存找到的顶点
}
}
st[t]=true;//将这个点标记
for(int j=1;j<=V;j++)//更新V个顶点的距离
{
if(weight[t][j]!=0)//如果权值不为0,则判断是否更新,为0代表没有连接
dist[j]=Math.min(dist[j],dist[t]+weight[t][j]);//更新距离,保存小的值
}
}
return dist;//返回得到的距离数组
/********** End *********/
}
/**
* 打印源点到所有顶点的距离,INF为无穷大
*
* @param dist
*/
public void print(int[] dist) {
for (int i = 1; i <= V; i++) {
if (dist[i] == Integer.MAX_VALUE) {
System.out.print("INF ");
} else {
System.out.print(dist[i] + " ");
}
}
}
}
以下是测试样例:
测试输入:
5 71 2 81 3 11 4 23 4 22 4 33 5 34 5 3(5和7分别表示顶点数和边数)预期输出:
博客围绕图的数据结构展开,介绍了图的表示方法,包括邻接矩阵和邻接表;阐述了图的搜索算法,如深度优先搜索和广度优先搜索;还讲解了单源最短路径的Dijkstra算法,包含基本思想和步骤,并给出各部分代码及测试样例。















753

被折叠的 条评论
为什么被折叠?



