题目描述
给你一个链表,两两交换其中相邻的节点,并返回交换后链表的头节点。你必须在不修改节点内部的值的情况下完成本题(即,只能进行节点交换)。
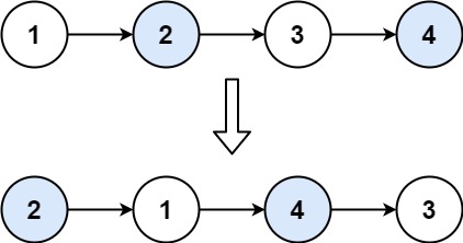
示例 1:

输入:head = [1,2,3,4] 输出:[2,1,4,3]
示例 2:
输入:head = [] 输出:[]
示例 3:
输入:head = [1] 输出:[1]
题解
如图,需要引入一个虚拟头结点,保存temp结点

自己写:
class Solution {
public:
ListNode* swapPairs(ListNode* head) {
if(!head)return NULL; //考虑链表为空的情况
ListNode*dummyHead = new ListNode(0,head); //虚拟头结点
ListNode*p=dummyHead;
//交换结点
while(p->next->next!=NULL){
ListNode*temp=p->next->next;
p->next->next=temp->next;
temp->next=p->next;
p->next=temp;
p=p->next->next;
}
return dummyHead->next;
}
};
报错:
错误原因: 在判断p->next->next为不为空时,p->next有可能为空
所以将循环条件改为p->next&&p->next->next;
正确版本:
class Solution {
public:
ListNode* swapPairs(ListNode* head) {
if(!head)return NULL;
ListNode*dummyHead = new ListNode(0,head);
ListNode*p=dummyHead;
while(p->next&&p->next->next){
ListNode*temp=p->next->next;
p->next->next=temp->next;
temp->next=p->next;
p->next=temp;
p=p->next->next;
}
return dummyHead->next;
}
};
863

被折叠的 条评论
为什么被折叠?



