为什么要关注二叉树的平衡性?—— 从 BST 的缺陷说起
二叉搜索树(BST)的核心优势是 “高效搜索”:利用 “左子树所有节点值<根节点值<右子树所有节点值” 的特性,能从根节点开始快速定位目标节点。但 BST 有个致命缺陷 ——无法保证树的结构平衡,极端情况下会 “退化”,彻底丧失高效性。
BST 的退化现象
BST 的结构完全依赖节点插入顺序,若插入的节点值是 “有序的”(比如从小到大或从大到小),树会退化成一条 “链表”。
例子:有序插入导致 BST 退化
假设创建空 BST 后,依次插入节点值 1、2、3、4、5,最终树的结构如下:

这种结构虽然仍满足 BST 的定义(左小右大),但本质是单链表—— 每个节点只有右子树,没有左子树。
退化对性能的影响
BST 的性能取决于 “树的高度”:
- 平衡的 BST:高度约为
log₂n(n 是节点总数),搜索时最多需要比较log₂n次,时间复杂度为 O(log₂n)。比如 n=1000 时,log₂1000≈10,只需比较 10 次。 - 退化的 BST(链表):高度等于
n,搜索时需要从根遍历到最后一个节点,时间复杂度退化为 O(n)。比如 n=1000 时,最多需要比较 1000 次,效率大幅下降。
因此,我们需要一种 “自平衡的 BST”—— 既能保持 BST 的搜索特性,又能在插入 / 删除节点后自动调整结构,避免退化,这就是 “平衡树” 的核心需求。
平衡树的定义(量化 “平衡”)
要实现 “自平衡”,首先得明确:什么是 “平衡”?平衡树的严格定义:树中任意一个节点的左、右子树的高度差(称为 “平衡因子”)的绝对值 ≤ 1。
高度与平衡因子
- 节点的高度:从该节点到 “最远叶子节点” 的路径上的节点总数(空树高度约定为 0,单个节点高度为 1)。
- 例:空树高度 = 0;只有根节点时,根的高度 = 1;根有左子节点时,根的高度 = max (左子树高度,右子树高度)+1=max (1,0)+1=2。
- 平衡因子:某节点的 “左子树高度 - 右子树高度”。平衡树要求所有节点的平衡因子 ∈ {-1, 0, 1}(绝对值≤1)。
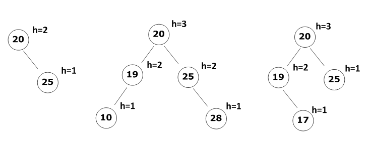
例子:平衡树与非平衡树的对比
平衡树(所有节点平衡因子≤1)

非平衡树(存在节点平衡因子>1)

AVL 树 —— 严格自平衡的二叉搜索树
AVL 树是最早实现 “自平衡” 的 BST,由 Adelson-Velsky 和 Landis 提出,因此得名。AVL 树的核心定义:既是二叉搜索树(满足左小右大),又是平衡树(所有节点平衡因子∈{-1,0,1})。
AVL 树的关键能力是:插入或删除节点后,若树出现不平衡,能通过 “旋转” 操作快速恢复平衡,且旋转后仍保持 BST 的特性。
AVL 树不平衡的四种类型(插入 / 删除均可能导致)
插入或删除节点后,不平衡只会出现在 “从操作节点到根节点的路径上”,且不平衡的根源可归为四种类型,核心区别是 “不平衡节点的哪一侧子树过高,以及过高子树的哪一侧又过高”。
先明确两个概念:
- 失衡节点:平衡因子绝对值>1 的节点(是不平衡的根源);
- 高子树:失衡节点中高度更高的那一侧子树(左高或右高)。
四种不平衡类型如下:
| 类型 | 定义(以失衡节点为核心) |
|---|---|
| 左左不平衡 | 失衡节点左子树过高(平衡因子>1),且左子树的左子树更高(左子树平衡因子≥0) |
| 左右不平衡 | 失衡节点左子树过高(平衡因子>1),且左子树的右子树更高(左子树平衡因子<0) |
| 右左不平衡 | 失衡节点右子树过高(平衡因子<-1),且右子树的左子树更高(右子树平衡因子>0) |
| 右右不平衡 | 失衡节点右子树过高(平衡因子<-1),且右子树的右子树更高(右子树平衡因子≤0) |
注:插入操作最多只会导致 1 个节点失衡;删除操作可能导致多个节点失衡,需从失衡节点向上回溯检查,直到根节点。

解决不平衡的核心操作 —— 旋转
旋转是 AVL 树恢复平衡的关键,本质是 “调整节点的父子关系”,分为基础旋转(左旋、右旋) 和复合旋转(左右旋、右左旋),每种不平衡类型对应一种旋转方案。
旋转的核心要求:
- 旋转后必须恢复平衡(所有节点平衡因子≤1);
- 旋转后必须保持 BST 特性(左小右大)。
基础旋转 1:右旋(处理 “左左不平衡”)
当失衡节点是 “左左不平衡” 时,用右旋将 “左子树提为新根”,降低左子树高度,恢复平衡。


基础旋转 2:左旋(处理 “右右不平衡”)
左旋是右旋的 “镜像操作”,用于处理 “右右不平衡”,核心是将 “右子树提为新根”,降低右子树高度。
复合旋转 1:左右旋(处理 “左右不平衡”)
“左右不平衡” 是 “左子树的右子树过高”,无法用单次右旋解决,需分两步:先对左子树做左旋,将其转为 “左左不平衡”,再对失衡节点做右旋。
复合旋转 2:右左旋(处理 “右左不平衡”)
右左旋是左右旋的 “镜像操作”,用于处理 “右子树的左子树过高”,步骤:先对右子树做右旋,转为 “右右不平衡”,再对失衡节点做左旋。
四种不平衡类型与旋转方案对应表
| 不平衡类型 | 解决步骤 | 核心逻辑 |
|---|---|---|
| 左左不平衡 | 对失衡节点直接右旋 | 左子树过高,提左子树为新根 |
| 左右不平衡 | 1. 对失衡节点的左子树左旋;2. 对失衡节点右旋 | 先将 “左右” 转为 “左左”,再右旋 |
| 右右不平衡 | 对失衡节点直接左旋 | 右子树过高,提右子树为新根 |
| 右左不平衡 | 1. 对失衡节点的右子树右旋;2. 对失衡节点左旋 | 先将 “右左” 转为 “右右”,再左旋 |
AVL 树的代码设计
了解了 AVL 树的平衡原理和旋转操作后,我们可以通过代码实现这一数据结构。核心包括节点设计、旋转函数、插入和删除操作,每个部分都需围绕 “维持平衡” 展开。
树节点设计
AVL 树的节点比普通二叉搜索树(BST)多一个关键信息 ——子树高度,这是判断平衡的基础。
节点结构体定义
typedef int datatype; // 节点存储的数据类型(可根据需求修改)
typedef struct node {
datatype data; // 节点数据
int height; // 以当前节点为根的子树高度(用于计算平衡因子)
struct node *lchild; // 左子树指针
struct node *rchild; // 右子树指针
} treenode, *linktree; // treenode为节点类型,linktree为节点指针类型
为什么需要 “height” 字段?
- 平衡因子 = 左子树高度 - 右子树高度,AVL 树要求所有节点的平衡因子绝对值 ≤ 1;
- 每次插入、删除或旋转后,必须更新节点高度,否则平衡判断会出错;
- 约定:空树的高度为 - 1(叶子节点的左右子树为空,因此叶子节点高度 = max (-1, -1) + 1 = 0,计算更合理)。
旋转操作的代码实现
旋转是 AVL 树恢复平衡的核心,需通过代码实现右旋转、左旋转、左右旋转和右左旋转,确保旋转后既平衡又保持 BST 特性。
辅助函数
- 计算节点高度:处理空节点的情况(返回 - 1);
- 取最大值:用于计算子树高度。
// 宏定义:取两个整数的最大值
#define MAX(a, b) ((a) > (b) ? (a) : (b))
// 辅助函数:获取节点高度(空节点返回-1)
int height(linktree node) {
return (node == NULL) ? -1 : node->height;
}
右旋转(处理左左不平衡)
场景:节点左子树高度比右子树高 2,且左子树的左子树更高。
linktree avlRotateRight(linktree root) {
// 步骤1:记录root的左子树(tmp将成为新根)
linktree tmp = root->lchild;
// 步骤2:调整指针关系
root->lchild = tmp->rchild; // root的左子树改为tmp的右子树
tmp->rchild = root; // tmp的右子树改为root
// 步骤3:更新高度(先更新root,再更新tmp)
root->height = MAX(height(root->lchild), height(root->rchild)) + 1;
tmp->height = MAX(height(tmp->lchild), root->height) + 1;
return tmp; // 返回新根tmp
}
示例:左左不平衡经右旋转后平衡
旋转前(左左不平衡) 旋转后(平衡)
3 (root) 2 (新根)
/ / \
2 (tmp) → 1 3
/
1
左旋转(处理右右不平衡)
场景:节点右子树高度比左子树高 2,且右子树的右子树更高。
linktree avlRotateLeft(linktree root) {
// 步骤1:记录root的右子树(tmp将成为新根)
linktree tmp = root->rchild;
// 步骤2:调整指针关系
root->rchild = tmp->lchild; // root的右子树改为tmp的左子树
tmp->lchild = root; // tmp的左子树改为root
// 步骤3:更新高度(先更新root,再更新tmp)
root->height = MAX(height(root->lchild), height(root->rchild)) + 1;
tmp->height = MAX(root->height, height(tmp->rchild)) + 1;
return tmp; // 返回新根tmp
}
示例:右右不平衡经左旋转后平衡
旋转前(右右不平衡) 旋转后(平衡)
1 (root) 2 (新根)
\ / \
2 (tmp) → 1 3
\
3
左右旋转(处理左右不平衡)
场景:节点左子树高度比右子树高 2,且左子树的右子树更高。本质:先对左子树左旋转,再对原节点右旋转。
linktree avlRotateLeftRight(linktree root) {
root->lchild = avlRotateLeft(root->lchild); // 先左旋转左子树
return avlRotateRight(root); // 再右旋转root
}
示例:左右不平衡经左右旋转后平衡
旋转前(左右不平衡) 第一步:左旋转左子树 第二步:右旋转root(平衡)
3 (root) 3 (root) 2 (新根)
/ / / \
1 2 → 1 3
\ /
2 1
右左旋转(处理右左不平衡)
场景:节点右子树高度比左子树高 2,且右子树的左子树更高。本质:先对右子树右旋转,再对原节点左旋转。
linktree avlRotateRightLeft(linktree root) {
root->rchild = avlRotateRight(root->rchild); // 先右旋转右子树
return avlRotateLeft(root); // 再左旋转root
}
示例:右左不平衡经右左旋转后平衡
旋转前(右左不平衡) 第一步:右旋转右子树 第二步:左旋转root(平衡)
1 (root) 1 (root) 2 (新根)
\ \ / \
3 2 → 1 3
/ \
2 3
插入节点操作
AVL 树的插入需先遵循 BST 的插入规则,再检查平衡,若失衡则旋转调整,最后更新高度。
插入步骤
- BST 插入:根据节点值大小插入到左 / 右子树(空树直接作为根,重复值不插入);
- 平衡检查:计算当前节点的平衡因子,若绝对值为 2,判断失衡类型并旋转;
- 更新高度:根据左右子树高度更新当前节点高度。
代码实现
// 辅助函数:创建新节点
linktree createNode(datatype data) {
linktree newNode = (linktree)malloc(sizeof(treenode));
newNode->data = data;
newNode->height = 0; // 新节点为叶子,高度0(左右子树为空,高度-1)
newNode->lchild = newNode->rchild = NULL;
return newNode;
}
// AVL树插入函数
linktree avlInsert(linktree root, datatype data) {
// 步骤1:按BST规则插入新节点
if (root == NULL) {
return createNode(data); // 空树,新节点为根
}
if (data < root->data) {
root->lchild = avlInsert(root->lchild, data); // 插入左子树
}
else if (data > root->data) {
root->rchild = avlInsert(root->rchild, data); // 插入右子树
}
else {
printf("数据 %d 已存在,不插入\n", data); // 重复值处理
return root;
}
// 步骤2:检查平衡并旋转
int balance = height(root->lchild) - height(root->rchild); // 平衡因子
// 左子树过高(平衡因子=2)
if (balance == 2) {
// 左左不平衡:新节点在左子树的左边
if (data < root->lchild->data) {
root = avlRotateRight(root);
}
// 左右不平衡:新节点在左子树的右边
else if (data > root->lchild->data) {
root = avlRotateLeftRight(root);
}
}
// 右子树过高(平衡因子=-2)
else if (balance == -2) {
// 右右不平衡:新节点在右子树的右边
if (data > root->rchild->data) {
root = avlRotateLeft(root);
}
// 右左不平衡:新节点在右子树的左边
else if (data < root->rchild->data) {
root = avlRotateRightLeft(root);
}
}
// 步骤3:更新当前节点高度
root->height = MAX(height(root->lchild), height(root->rchild)) + 1;
return root;
}
删除节点操作
删除比插入更复杂:先按 BST 规则删除节点,再从删除位置向上回溯检查平衡,可能需要多次旋转,最后更新高度。
删除步骤
BST 删除:
- 叶子节点:直接释放;
- 单子女节点:用子女替换;
- 双子女节点:用左子树最大值(前驱)或右子树最小值(后继)替换,再删除前驱 / 后继;
平衡检查:计算平衡因子,若绝对值为 2,通过子树高度差判断失衡类型并旋转;
更新高度:更新当前节点高度。
代码实现
linktree avlRemove(linktree root, datatype data) {
// 步骤1:按BST规则删除节点
if (root == NULL) {
return NULL; // 树空或未找到节点
}
if (data < root->data) {
root->lchild = avlRemove(root->lchild, data); // 左子树删除
}
else if (data > root->data) {
root->rchild = avlRemove(root->rchild, data); // 右子树删除
}
else {
// 找到删除节点
linktree temp;
// 情况1:单子女或无子女
if (root->lchild == NULL) {
temp = root->rchild;
free(root);
return temp;
}
else if (root->rchild == NULL) {
temp = root->lchild;
free(root);
return temp;
}
// 情况2:双子女→用左子树最大值(前驱)替换
temp = root->lchild;
while (temp->rchild != NULL) {
temp = temp->rchild; // 找左子树最右节点(最大值)
}
root->data = temp->data; // 替换值
root->lchild = avlRemove(root->lchild, temp->data); // 删除前驱
}
// 若删除后树空,直接返回
if (root == NULL) {
return NULL;
}
// 步骤2:检查平衡并旋转
int balance = height(root->lchild) - height(root->rchild);
// 左子树过高(平衡因子=2)
if (balance == 2) {
// 左子树的左子树更高→左左不平衡(右旋转)
if (height(root->lchild->lchild) >= height(root->lchild->rchild)) {
root = avlRotateRight(root);
}
// 左子树的右子树更高→左右不平衡(左右旋转)
else {
root = avlRotateLeftRight(root);
}
}
// 右子树过高(平衡因子=-2)
else if (balance == -2) {
// 右子树的右子树更高→右右不平衡(左旋转)
if (height(root->rchild->rchild) >= height(root->rchild->lchild)) {
root = avlRotateLeft(root);
}
// 右子树的左子树更高→右左不平衡(右左旋转)
else {
root = avlRotateRightLeft(root);
}
}
// 步骤3:更新当前节点高度
root->height = MAX(height(root->lchild), height(root->rchild)) + 1;
return root;
}
代码设计的核心注意事项
- 高度实时更新:任何操作(插入、删除、旋转)后必须更新节点高度,否则平衡因子计算错误;
- 旋转的指针调整:旋转时需准确修改父子节点指针,避免断链或破坏 BST 特性;
- 删除的回溯检查:删除可能导致多个节点失衡,需从删除位置向上检查至根节点;
- 空节点处理:计算高度和访问子树时,需先判断节点是否为空,避免空指针错误。
AVL 树的核心特性与应用场景
核心特性
- 严格平衡:所有节点平衡因子∈{-1,0,1},树的高度严格控制在 O (log₂n);
- 保持 BST 特性:旋转操作不会破坏 “左小右大”,因此搜索、插入、删除的逻辑都基于 BST;
- 时间复杂度:搜索、插入、删除均为 O (log₂n),比普通 BST 更稳定;
- 自调整:插入 / 删除后通过旋转自动恢复平衡,无需人工干预。
应用场景
AVL 树适合对 “查询效率要求极高” 且 “插入 / 删除频率不高” 的场景,比如:
- 数据库索引(早期部分数据库用 AVL 树,后来更多用红黑树,因红黑树旋转次数更少);
- 有序数据的快速查询(如字典、通讯录的按名查询)。
注:AVL 树的缺点是 “旋转次数多”—— 插入 / 删除可能需要多次旋转(尤其是删除),因此在插入 / 删除频繁的场景中,性能不如红黑树(红黑树是 “近似平衡”,旋转次数更少)。
深入理解AVL树及其应用
3193

被折叠的 条评论
为什么被折叠?



