LeetCode 111. 二叉树的最小深度
描述
给定一个二叉树,找出其最小深度。
最小深度是从根节点到最近叶子节点的最短路径上的节点数量。
说明:叶子节点是指没有子节点的节点。
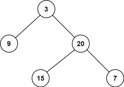
示例 1:

输入:root = [3,9,20,null,null,15,7]
输出:2
示例 2:
输入:root = [2,null,3,null,4,null,5,null,6]
输出:5
提示:
树中节点数的范围在 [0, 105] 内
-1000 <= Node.val <= 1000
题解
/**
* Definition for a binary tree node.
* public class TreeNode {
* int val;
* TreeNode left;
* TreeNode right;
* TreeNode() {}
* TreeNode(int val) { this.val = val; }
* TreeNode(int val, TreeNode left, TreeNode right) {
* this.val = val;
* this.left = left;
* this.right = right;
* }
* }
*/
class Solution {
public int minDepth(TreeNode root) {
return order(root);
}
public int order(TreeNode root){
if(root == null){
return 0;
}
int left = order(root.left);
int right = order(root.right);
if( root.left == null && root.right != null){
return 1 + right;
}
if( root.left != null && root.right == null){
return 1 + left;
}
int res = Math.min(left,right)+1;
return res;
}
}
2100

被折叠的 条评论
为什么被折叠?



