常用的数据结构/模板/基础知识
(一)c++——优先队列(priority_queue)
最大堆和最小堆的写法
小根堆的固定写法
priority_queue<int,vector,greater> pq;
大根堆的固定写法(默认也为大根堆)
priority_queue<int ,vector,less>pq;
实例:算法题目——第K大的数
参考文章:c++——优先队列(priority_queue)
(二)c++中的全排列函数next_permutation()
(三)迭代器的使用
#include<iostream>
#include<algorithm>
#include<vector>
using namespace std;
int main()
{
vector<int> vec={1,3,2,5,4,7,8};
vector<int>::iterator it;
for(it=vec.begin();it!=vec.end();it++)
{
cout<<*it<<" ";
}
return 0;
}

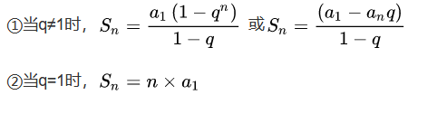
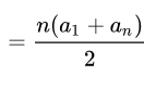
(四)数学知识数列求和
等比数列求和公式

等差数列求和公式

(五)求最大公约数和最小公倍数
(六)将数值型数据转化为string 类型
to_string()
#include <iostream>
#include <string>
int main ()
{
int n = 123;
std::string str = std::to_string(n);
std::cout << n << " ==> " << str << std::endl;
return 0;
}

被折叠的 条评论
为什么被折叠?



