原题:链表随即节点
分析:
本题使用的是水塘算法进行随机选择。如何理解?
举个例子:
池子里如果有一个数字,则这个数字被取到的概率是100%
池子里如果有两个数字,则这个数字被取到的概率是50%
如果有三个,则应该接近33%。
…
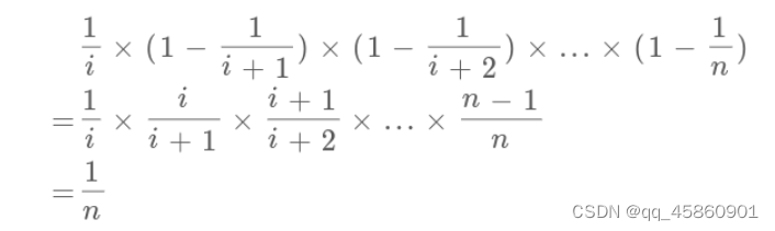
现在链表可理解为池子,但是这个池子有多少个数字是不知道的。假设为n个,那么每个数字被取到的概率应该是1 / n 。根据题目的要求,只能通过一次遍历来随机取数,达到1/n的概率。取第i个的概率是1 / i , 第i + 1个保持仍是第i个元素的概率是1 - (1 / i + 1)一直到第n个。
可得到数学证明如下:

代码:
class Solution {
ListNode head = null;
public Solution(ListNode head) {
this.head = head;
}
public int getRandom() {
Random r = new Random();
ListNode p = this.head;
int res = 0;
int i = 0;
while(p != null){
//产生[0-i)的数,总共是i个数,所以取0是的概率为1 / i.
if(r.nextInt( ++ i) == 0){
res = p.val;
}
p = p.next;
}
return res;
}
}
这篇博客讨论了一种在单链表中实现随机选择节点的算法,采用水塘抽样法。通过一次遍历链表,利用随机数生成器在当前遍历位置i时,以1/i的概率选取节点,从而达到每个节点被选中的概率相等的效果。代码示例展示了如何在Java中实现这一算法,通过 ListNode 类型的头结点初始化,并在 getRandom() 方法中完成随机选择过程。
851

被折叠的 条评论
为什么被折叠?



