文章目录
定义
图G是由一个非空的顶点集合V和一个描述顶点之间的关系即边集E的一种数据结构,记为G = (V,E)
1、图G不可以为空,E可以为空,但V一定是非空集
2、图分为无向图和有向图
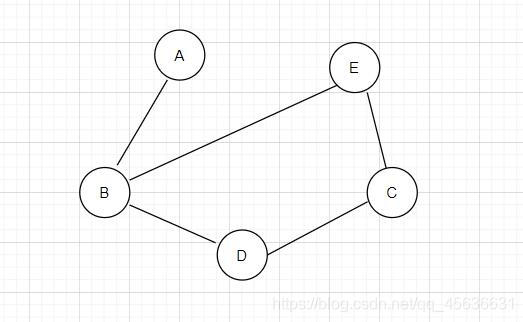
① 无向图:若E为无向边的有限集合,则G为无向图。
边是顶点的无序对,记为 ( v 1 , v 2 ) (v_1,v_2) (v1,v2)或 ( v 2 , v 1 ) (v_2,v_1) (v2,v1),且 ( v 1 , v 2 ) = ( v 2 , v 1 ) (v_1,v_2) = (v_2,v_1) (v1,v2)=(v2,v1),v1和v2互为邻接点
G可以表示为:
G = (V,E)
V = {A,B,C,D,E}
E = {(A,B),(B,D),(B,E),(C,D),(C,E)}
如图:

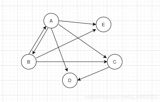
② 有向图:若E为有向边(也称弧)的有限集合,则G为有向图。
弧是顶点的有序对,记为 < v i , v j > <v_i,v_j> <vi,vj>,其中 v i v_i vi是弧尾, v j v_j vj是弧头
G可以表示为:
G = (V,E)
V = {A,B,C,D,E}
E = {<A,B>,<A,C>,<A,D>,<A,E>,<B,A>,<B,C>,<B,E>,<C,D>}
如图:

基本术语
1、顶点的度、入度、出度
① 无向图:顶点的度是指该顶点拥有的边数,记为TD(v)
如上图中:TD(A) = 1,TD(B) = 3,TD© = 2,TD(D) = 2,TD(E) = 2
对于无向图而言,有: ∑ i = 1 n T D ( v i ) = 2 ∣ E ∣ \displaystyle \sum^{n}_{i=1}{TD(v_i)} = 2|E| i=1∑nTD(vi)=2∣E∣
② 有向图:入度是以该顶点为终点的有向边的数目,记为ID(v),出度是以该顶点为起点的有向边的数目,记为OD(v)
顶点v的度等于入度和出度之和,即TD(v) = ID(v) + OD(v)
如上图中:
ID(A) = 1,OD(A) = 4,TD(A) = 5
ID(B) = 1,OD(B) = 3,TD(B) = 4
ID© = 2,OD© = 1,TD© = 3
ID(D) = 2,OD(D) = 0,TD(D) = 2
ID(E) = 2,OD(E) = 0,TD(E) = 2
对于有向图而言,有: ∑ i = 1 n I D ( v i ) = ∑ i = 1 n O D ( v i ) = ∣ E ∣ \displaystyle \sum^{n}_{i=1}{ID(v_i)}=\displaystyle \sum^{n}_{i=1}{OD(v_i)} = |E| i=1∑nID(vi)=i=1∑nOD(vi)=∣E∣
2、路径
顶点 v i v_i vi到 v j v_j vj之间的一条路径是指顶点序列, v i , v 1 , v 2 , v 3 . . . v j v_i,v_1,v_2,v_3...v_j vi,v1,v2,v3...vj
3、回路
第一个顶点和最后一个顶点相同的路径称为回路或环
4、简单路径
在路径序列中,顶点不重复出现的路径称为简单路径
5、简单回路
除第一个顶点和最后一个顶点外,其余顶点不重复出现的回路称为简单回路
6、路径长度
路径上边的数目
7、连通图
无向图中,若从顶点 v i v_i vi到顶点 v j v_j vj有路径存在,则称 v i v_i vi和 v j v_j vj是连通的,任意两个顶点都是连通的图称为连通图
对于n个顶点的无向图G:
若G为连通图,则最少有n-1条边
若G为非连通图,则最多可能有 C n − 1 2 C_{n-1}^2 Cn−12条边
8、强连通图
有向图中,若从顶点 v i v_i vi到顶点 v j v_j vj和从顶点 v j v_j vj到顶点 v i v_i vi都有路径存在,则称 v i v_i vi和 v j v_j vj是强连通的,任意两个顶点都是强连通的图称为强连通图
对于n个顶点有向图G:
若G为强连通图,则最少有n条边(形成回路)
9、子图
设有两个图G1 = (V1,E1)和G2 = (V2,E2),若V2是V1的子集,且E2是E1的子集,则称G2是G1的子图
若G2中包含G1的所有顶点(可以不包含所有的边),则称G2为G1的生成子图
10、连通分量
无向图中的极大连通子图称为连通分量
如图:


11、强连通分量
有向图中的极大强连通子图称为有向图的强连通分量
如图:


12、生成树
连通图的生成树是包含图中全部顶点的一个极小连通子图
如图:

生成树是不唯一的
若顶点数为n,则生成树含有n-1条边
对于生成树,去掉一条边,则会变成非连通图,加上一条边则会形成一个回路
13、权
边的权:在一个图中,每条边都可以标上具有某种含义的数值,称为该边的权值
带权图/网:边上带有权值的图称为带权图或者网
带权路径长度:当图是带权图时,一条路径上所有边的权值之和,称为该路径的带权路径长度
14、特殊图
无向完全图:无向图中任意两个顶点之间都存在边
有向完全图:有向图中任意两个顶点之间都存在方向相反的两条弧
若无向图顶点数 ∣ V ∣ = n |V| = n ∣V∣=n,则 ∣ E ∣ ∈ [ 0 , C n 2 ] = [ 0 , n ( n − 1 ) 2 ] |E|\in[0,C^2_n]=[0,\frac{n(n-1)}{2}] ∣E∣∈[0,Cn2]=[0,2n(n−1)]
若有向图顶点数 ∣ V ∣ = n |V| = n ∣V∣=n,则 ∣ E ∣ ∈ [ 0 , 2 C n 2 ] = [ 0 , n ( n − 1 ) ] |E|\in[0,2C^2_n]=[0,n(n-1)] ∣E∣∈[0,2Cn2]=[0,n(n−1)]
图的存储
邻接矩阵法
邻接矩阵法是表示顶点之间相邻关系的矩阵
如下图:

结构体
#define MaxVertexNum 100
struct Graph {
char vex[MaxVertexNum]; //顶点表
int edge[MaxVertexNum][MaxVertexNum]; //邻接矩阵,边表
int vexNum, edgeNum; //顶点数、边数
};
创建图
void CreateGraph(Graph* G) {
int i, j, k;
char ch1, ch2;
cout << "请输入顶点数和边数:";
cin >> G->vexNum >> G->edgeNum;
cout << "依次输入各顶点信息:";
for (i = 0; i < G->vexNum; i++) {
getchar();
cin >> G->vex[i];
}
for (i = 0; i < G->vexNum; i++) {
for (j = 0; j < G->vexNum; j++) {
G->edge[i][j] = 0;
}
}
for (k = 0; k < G->edgeNum; k++) {
getchar();
cout << "建立第" << k + 1 << "条边:";
cin >> ch1 >> ch2;
for (i = 0; i < G->vexNum; i++) {
for (j = 0; j < G->vexNum; j++) {
if (ch1 == G->vex[i] && ch2 == G->vex[j]) {
G->edge[i][j] = 1;
G->edge[j][i] = 1;
}
}
}
}
}
打印邻接矩阵
void PrintGraph(Graph *G) {
int i, j;
cout << "图的邻接矩阵:" << endl;
for (i = 0; i < G->vexNum; i++) {
for (j = 0; j < G->vexNum; j++) {
cout << G->edge[i][j] << " ";
}
cout << endl;
}
}
数组实现的顺序存储,空间复杂度高,不适合存储稀疏图
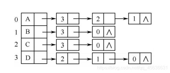
邻接表法
邻接表是图的一种顺序存储与链式存储结合的存储方式,这种方法类似于树的孩子链表表示法。对于图G中的每一个结点,该方法将所有邻接于v的顶点w连成一个单链表,这个单链表就称为顶点v的邻接表,再将所有顶点的邻接表表头放到数组中,就构成了图的邻接表。
如下图:

对应的邻接表为:

结构体
#define Max 100
int vis[Max];
struct EdgeNode { //定义边表结点
int adjVex; //邻接点域
EdgeNode* next; //指向下一个邻接点的指针域
};
struct VexNode { //定义顶点表结点
char data; //顶点域
EdgeNode* firstEdge; //指向第一条边结点
};
struct AdjList {
VexNode adjList[Max]; //邻接表头结点数组
int vexNum, edgeNum; //顶点数,边数
};
建立邻接表
void CreateGraph(AdjList* G, int flag) {
int i, j, k;
EdgeNode* p;
if (flag) {
cout << "建立一个有向图" << endl;
} else {
cout << "建立一个无向图" << endl;
}
cout << "请输入顶点数和边数:";
cin >> G->vexNum >> G->edgeNum;
cout << "依次输入各顶点信息:";
for (i = 0; i < G->vexNum; i++) {
// getchar();
cin >> G->adjList[i].data;
G->adjList[i].firstEdge = NULL; //点的边表头指针设为NULL
}
cout << "请输入边的信息:" << endl;
for (k = 0; k < G->edgeNum; k++) {
cout << "请输入第" << k << "条边:";
cin >> i >> j;
p = new EdgeNode;
p->adjVex = j; //邻接点序号为i
p->next = G->adjList[i].firstEdge;
G->adjList[i].firstEdge = p;
//将编号为j的结点添加到邻接表中,有向图不用添加
if (!flag) {
p = new EdgeNode;
p->adjVex = i; //邻接点序号为i
p->next = G->adjList[j].firstEdge; //将新结点p插入到顶点vi边表头
G->adjList[j].firstEdge = p;
}
}
}
打印邻接表
void PrintGraph(AdjList* G) {
int i;
EdgeNode* p;
cout << "图的邻接表表示如下:" << endl;
for (i = 0; i < G->vexNum; i++) {
cout << i << " [" << G->adjList[i].data << "]";
p = G->adjList[i].firstEdge;
while (p != NULL) {
cout << "-->[" << p->adjVex << "]";
p = p->next;
}
cout << endl;
}
}
图的遍历
DFS
图的深度优先搜索(Depth-First-Search)类似于树的先序遍历
方法
1、首先从图中某个顶点发 v 出发,首先访问此顶点,将其标记为已访问过
2、然后任选一个 v 的未被访问的邻接点 w 出发,继续进行深度优先搜索
3、 直到图中所有和 v 路径相通的顶点都被访问到
4、若此时图中还有顶点未被访问到,则另选一个未被访问的顶点作为起始点,重复上面的步骤,直至图中所有的顶点都被访问
代码
//从顶点vex开始遍历
void DFS(AdjList* G, int vex) {
EdgeNode* p;
cout << "(" << vex << "," << G->adjList[vex].data << ")";
vis[vex] = 1;
p = G->adjList[vex].firstEdge;
while (p != NULL) {
if (vis[p->adjVex] == 0) {
DFS(G, p->adjVex);
}
p = p->next;
}
}
BFS
图的广度优先搜索(Breadth-First-Search)类似于树的层序遍历
方法
1、假设从图中某顶点 v 出发,在访问了 v 之后依次访问 v 的各个未曾访问过的邻接点,然后分别从这些邻接点出发依次访问它们的邻接点,并使 “先被访问的顶点的邻接点” 先于“后被访问的顶点的邻接点” 被访问,直至图中所有已被访问的顶点的邻接点都被访问到
2、若此时图中尚有顶点未被访问,则另选图中一个未曾被访问的顶点作起始点,重复上 述过程,直至图中所有顶点都被访问到为止3、换句话说,广度优先搜索遍历图的过程中以 v 为起始点,由近至远依次访问和 v 有路径相通且路径长度为 1,2,… 的顶点, 广度优先遍历也需要用到标志数组 vis[N] 以避免重复访问,还需要用到队列来存放已经访问过的各相邻顶点
同一个图的邻接矩阵表示方式唯一,BFS遍历序列唯一
同一个图的邻接表表示方式不唯一,BFS遍历序列不唯一
代码
//从顶点vex开始遍历
void BFS(AdjList* G, int vex) {
int i, v;
int q[Max], front = 0, rear = 0; //定义循环队列
EdgeNode* p;
for (i = 0; i < G->vexNum; i++) {
vis[i] = 0;
}
cout << "(" << vex << "," << G->adjList[vex].data << ")";
vis[vex] = 1;
rear = (rear + 1) % Max; //队尾指针后移
q[rear] = vex; //vex入队
while (front != rear) {
front = (front + 1) % Max;
v = q[front]; //队头出队,赋值给顶点v
p = G->adjList[v].firstEdge; //将顶点v的下一条邻接边顶点指针赋值给p
while (p != NULL) {
if (vis[p->adjVex] == 0) { //未访问过
vis[p->adjVex] = 1; //访问数组该元素置1,变成已访问
cout << "(" << p->adjVex << "," << G->adjList[p->adjVex].data << ")";
rear = (rear + 1) % Max; //队尾指针后移
q[rear] = p->adjVex; //将p所指的顶点入队
}
p = p->next; //p指针后移
}
}
}
最小生成树
前面提到了生成树的概念,最小生成树就是连通网G上的一棵各边权值最小的带权生成树,产生一个最小生成树主要有两个算法:普利姆算法和克鲁斯卡尔算法
普利姆算法
思想
从某一个顶点开始构建生成树,每次将代价最小的新顶点纳入生成树,直到所有顶点都纳入为止
图示
以下两个算法的图片和代码均取自教材

Prim算法构造最小生成树的过程


用Prim算法构造上图所示连通图的最小生成树过程中各参数的变量示意图

代码
#include<bits/stdc++.h>
using namespace std;
#define MAX 100
#define M 32767
int CreateCost(int cost[][MAX]) {
int vexNum, edgeNum, i, j, k, v1, v2, w;
cout << "请输入顶点数和边数:";
cin >> vexNum >> edgeNum;
for (i = 0; i < vexNum; i++) {
for (j = 0; j < vexNum; j++) {
cost[i][j] = M; //预设矩阵中各值为最大值M
}
}
cout << "请输入各边及权值:" << endl;
for (k = 0; k < edgeNum; k++) {
cout << "v1 v2 w: ";
cin >> v1 >> v2 >> w;
cost[v1][v2] = w; //将(v1,v2)设权值为w
cost[v2][v1] = w; //将(v1,v2)设权值为w
}
return vexNum; //返回顶点数
}
void Prim(int c[MAX][MAX], int n) {
int i, j, k, min;
int lowCost[MAX]; //lowCost用来保存集合V-U中各顶点到集合U中各顶点构成的边中具有最小权值的边的权值
int closest[MAX]; //closest用来保存依附于该边的在集合U中的顶点
for (i = 1; i < n; i++) {
lowCost[i] = c[0][i]; //将lowCost数组中各元素设为从顶点0
closest[i] = 0; //依附于该边的顶点为0
}
closest[0] = -1; //置初值为-1
for (i = 1; i < n; i++) { //从U之外求离U中某一顶点最近的顶点
min = M;
k = i;
for (j = 0; j < n; j++) { //从顶点1开始找各权值中最小值及其依附顶点k
if (lowCost[j] < min && closest[j] != -1) {
min = lowCost[j]; //最小值设为当前边的权值
k = j; //此边依附顶点赋为j
}
}
cout << "(" << closest[k] << "," << k << ")" << " 权值 " << lowCost[k] << endl; //打印生成树该边及其权值
closest[k] = -1; //k加入到U中
for (j = 1; j < n; j++) { //设顶点k为下次查找的起始点
if (closest[j] != -1 && c[k][j] < lowCost[j]) {
lowCost[j] = c[k][j];
closest[j] = k;
}
}
}
}
int main() {
int n; //图中顶点个数
int cost[MAX][MAX]; //邻接矩阵数组
n = CreateCost(cost); //调用建立邻接矩阵函数
cout << "最小生成树为:" << endl;
Prim(cost, n); //调用普利姆算法
}
克鲁斯卡尔算法
思想
每次选择一条权值最小的边,使这条边的两头连通,如果之前已连通的就不选,直到所有点都连通
图示


用Kruskal算法生成最小生成树时生成树顶点集合的变化过程

代码
#include<bits/stdc++.h>
using namespace std;
#define MAX 100
struct Edge {
int u; //边的起始顶点
int v; //边的终止顶点
int w; //边的权值
};
Edge E[MAX]; //定义全局数组E,用于存储图的各条边
int CreateEdge() {
int vexNum, i;
cout << "请输入无向网的边数:";
cin >> vexNum;
for (i = 0; i < vexNum; i++) {
cout << "v1 v2 w = ";
cin >> E[i].u >> E[i].v >> E[i].w;
}
return vexNum;
}
//为边表进行从小到大排序算法
void sort(int n) {
int i, j;
Edge t;
for (i = 0; i < n - 1; i++) {
for (j = i + 1; j < n; j++) {
if (E[i].w > E[j].w) {
swap(E[i], E[j]);
}
}
}
}
//在边表中查看顶点v在哪个连通集合中
int seek(int set[], int v) {
int i = v;
while (set[i] > 0) {
i = set[i];
}
return i;
}
void Kruskal(Edge E[], int n) {
int set[MAX]; //辅助标志数组
int v1, v2, i;
for (i = 0; i < MAX; i++) {
set[i] = 0; //set中每个元素赋初值
}
i = 0; //i表示待获取的生成树中的边数,初值为1
while (i < n) { //按边权递增顺序,逐边检查该边是否应加入到生成树中
v1 = seek(set, E[i].u); //确定顶点v所在的连通集
v2 = seek(set, E[i].v);
if (v1 != v2) { //当v1,v2不在同一顶点集合,确定该边应当选入生成树
cout << "(" << E[i].u << "," << E[i].v << ")" << " 权值 " << E[i].w << endl;
set[v1] = v2;
}
i++;
}
}
int main() {
int n;
n = CreateEdge(); //调用生成边表函数
sort(n); //对边表集合进行排序
cout << "最小生成树为:" << endl;
Kruskal(E, n); //调用克鲁斯卡尔算法求最小生成树
}
456

被折叠的 条评论
为什么被折叠?



