矩阵连乘—详细讲解
初次接触dp,就看到很多位大佬给出自己的见解,dp算是最难的算法之一吧,主要在于灵活度高,需要自己推出动态规划方程
- 100个动态规划方程传送门
- 涉及到dp问题那么for循环一般从1开始遍历,这样会好些,虽然目前的我还没理解,但是看到许多大佬写代码都是从1开始遍历,那我也慢慢的改变。
下面我就几个问题来说明一下矩阵连乘问题
矩阵连乘问题-求最优值
题目描述
使用动态规划算法求解矩阵连乘问题,输出最少乘法次数。
输入
每组数据包括两行,第一行为数组长度n,第二行为存储矩阵维数的一维数组。
输出
矩阵连乘最优计算次数。
样例输入
7
30 35 15 5 10 20 25
样例输出
15125
ps:
刚刚开始拿到这个题目的时候,我很懵逼,看不懂题目的意思,所以我就查资料,之后才明白题目的意思,题目给的输入,其实是一个数组,用来存储矩阵的行和列,输出要输出最少乘法运算

通过这个表格我们可以直观地了解题目意思,以及得到许多有用的信息
1. 矩阵的个数等于数组长度减一
2. p[0],p[1]代表第一个矩阵的行数和列数,p[1],p[2]代表第二个矩阵的行数和列数…p[5],p[6]代表第六个矩阵的行数和列数
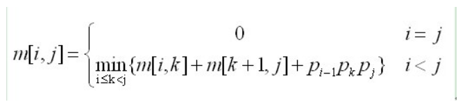
写代码之前我们要得到状态转移方程方程
dp[i][j]=min(dp[i][j],dp[i][k]+dp[k][j]+a[i]*a[k]*a[j]);

我们用三层循环i,j,k分别枚举连乘长度,连乘左边界和划分点

最后这张图片里面应该保存每次长度的最小值,我们先求出长度为2的有多少种情况,然后把最小的填入表格,再依次求3 4 …6;后面一步都要依赖于前面计算的最小值
代码
#include <bits/stdc++.h>
using namespace std;
const int maxn = 1e3 + 10;
int a[maxn], dp[maxn][maxn];
int main()
{
int n;
while (~scanf("%d", &n))
{
for (int i = 0; i < n; ++i) //从零开始的遍历
scanf("%d", &a[i]);
memset(dp, 0, sizeof(dp)); //首先把整个数组初始化
for (int r = 2; r < n; ++r) //枚举连乘长度
{
//因为长度为1的矩阵不足以相乘,所以都为0
for (int i = 1; i < n - r + 1; ++i) //枚举连乘左边界
{
int j = i + r - 1; //枚举连乘又边界
dp[i][j] = dp[i + 1][j] + a[i - 1] * a[i] * a[j];
//其实它是 dp[i][j] =dp[i][i](等于0)+ dp[i + 1][j] + a[i - 1] * a[i] * a[j];
for (int k = i + 1; k < j; ++k)
dp[i][j] = min(dp[i][j], dp[i][k] + dp[k + 1][j] + a[i - 1] * a[k] * a[j]); //从不同位置断开取最小值
}
}
printf("%d\n", dp[1][n - 1]); //最后只要找到右上角的数字就是所有矩阵相乘的最小值
}
return 0;

这篇博客详细讲解了矩阵连乘问题的动态规划求解策略,包括如何求解最优值并构造最优解。作者指出,dp[i][j]=min(dp[i][j],dp[i][k]+dp[k][j]+a[i]*a[k]*a[j])是关键的状态转移方程,并提供了简洁的代码示例。虽然构造最优解的部分尚未完全理解,但博主承诺会在后续更新中完善这部分内容。"
115650175,1864781,Kubernetes v1.21发布:内存管理器与CronJob稳定性提升,"['Kubernetes', 'CronJob', '内存管理', 'containerd', 'Cilium']
最低0.47元/天 解锁文章
1230





