定义
- 施密特正交化(Schmidt orthogonalization)是求欧氏空间正交基的一种方法。从欧氏空间任意线性无关的向量组α1,α2,……,αm出发,求得正交向量组β1,β2,……,βm,使由α1,α2,……,αm与向量组β1,β2,……,βm等价,再将正交向量组中每个向量经过单位化,就得到一个标准正交向量组,这种方法称为施密特正交化。
为什么正交化
- 在一个平面,或者三维空间中,任意一点都可以被坐标系表示出来。而我们更喜欢的是单位直角坐标系,因为在一个单位直角坐标系中,任意一个向量的坐标分量,通过简单的投影就可以搞定。
- 因此,如何找到欧式空间的一个“直角坐标系”,变得非常重要。施密特正交化法就告诉我们了一种把“任意坐标系”变为“直角坐标系”的方法。
意义
- 把一个普通矩阵转换成正交矩阵
正交矩阵
- 正交矩阵的转置就是正交矩阵的逆
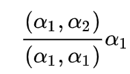
α2 在α1 的投影向量


- 黄线部分即其投影

施密特正交化是一种在欧氏空间中将任意线性无关向量组转化为正交基的方法。通过该过程,可以将任意坐标系转换为直角坐标系,便于计算和分析。正交化的重要性在于它能够简化向量的表示,并且正交基在数学和工程问题中有广泛应用。正交化过程中,每个向量需要进行单位化处理,确保最终形成的标准正交基中各向量两两垂直且模长为1。正交矩阵的转置即为其逆,这是正交化的一个重要特性。尽管正交化过程可能得到多个不同的正交向量组,但它们都与原始向量组等价。
最低0.47元/天 解锁文章
1万+

被折叠的 条评论
为什么被折叠?



