IGD±EMOA:基于IGD+的多目标进化算法
参考文献
《IGD±EMOA:A Multi-Objective Evolutionary Algorithm based on IGD+》
要点
- 近年来,在新的多目标进化算法(MOEA)的开发中,基于性能指标的选择机制的设计已成为非常流行的趋势。主要动机是在处理具有四个或更多目标的问题(MaOP)时,基于Pareto的MOEA具有众所周知的局限性。最常用的指标是超体积,主要是因为它具有良好的数学特性(例如,它是唯一符合帕累托标准的一元指标)。但是,超体积具有一个众所周知的缺点:在高维中,其精确计算非常昂贵,从而使其无法解决许多目标问题(对于具有5个以上目标的问题,此成本通常无法承受)。
- 最近,引入了众所周知的反世代距离(IGD)的变体。该指标(称为IGD+)不符合帕累托标准,相对于原始IGD表现出一些明显的优势。在这里,我们提出了一个基于指标的MOEA,它采用了IGD+。提出的方法采用了一种新颖的技术来构建参考集,该参考集用于评估在搜索过程中获得的解决方案的质量。
提出的方法:IGD±EMOA
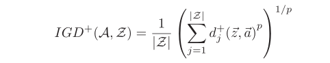
IGD+指标:

其中,A是帕累托集的近似值,Z是参考集。d+定义为:

因此,如果我们将参考集视为PF,则IGD+值越低意味着近似集A与真实PF的近似值更好。
A、通用框架

介绍了基于IGD+指标的多目标进化算法IGD±EMOA,该算法通过新颖的参考集构建技术和线性分配问题,有效解决了多个目标优化问题。文章详细阐述了算法流程,包括种群初始化、选择机制及参考集近似方法。
最低0.47元/天 解锁文章
1279

被折叠的 条评论
为什么被折叠?



