VLSI数字信号处理系统——第十章流水线结构的并行自适应递归滤波器
作者:夏风喃喃
参考:
(1) VLSI数字信号处理系统:设计与实现 (美)Keshab K.Parhi/著
(2) socvista https://wenku.baidu.com/u/socvista?from=wenku
文章目录
一. 引言
经典的滤波器分两类:FIR和IIR。FIR是有限长冲击响应滤波器,硬件电路是非递归的;而IIR是无限长冲击响应滤波器,硬件电路存在递归环路,值得注意的是,IIR可以看成是一个FIR和递归环路的级联。
非递归运算通常采用流水线或者并行处理架构,而自适应递归滤波器由于本身的反馈回路,无法简单的套用这类架构。本章重点在如何采用超前计算(look-ahead computation)、增量块处理(incremental block processing)技术、基于最小均方误差(Least-Mean-Square,LMS)流水计算的弛豫超前(relaxed look-ahead)变换以及格型自适应滤波的方法,在自适应递归数字滤波器中实现流水线和并行处理。
二. 数字滤波器中的流水线交织操作
本节以一阶递归数字滤波器为例,回顾流水线交织操作的概念。
对于数字滤波器的流水线结构本节提供M倍降速设计方法,下节提供超前计算设计方法。将M倍降速和超前计算结合起来将更加高效,先用超前计算构造“自交织”的流水IIR节,然后再用M倍降速构造“独立交织”的IIR节。
2.1 低效率的单通道/多通道交织
考虑一阶线性时不变递归表达式 y ( n + 1 ) = a y ( n ) + b u ( n ) y(n+1)=ay(n)+bu(n) y(n+1)=ay(n)+bu(n)
其实现结构如图10-1 a),如果只有一个延时单元的递归环路,通过插入(M-1)个额外的延时单元实现了M级流水线(图10-1 b),虽然迭代边界减小为1/M,时钟周期可缩短为1/M,但每个数据需要M个时钟周期去处理,并没有对吞吐率带来提高(即M倍降速)。那么输入数据可以进行M路交织操作,即M个独立的时间序列滤波,尽管在低速下滤波,但硬件结构得到了充分利用,如图10-1 c)。

2.2 高效的单通道交织
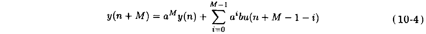
超前变换,通过递归关系的变换可以把 y ( n + 2 ) y(n+2) y(n+2)表示成 y ( n ) y(n) y(n)的函数产生并行性。
y ( n + 2 ) = a [ a y ( n ) + b u ( n ) ] + b u ( n + 1 ) = a 2 y ( n ) + a b u ( n ) + b u ( n + 1 ) y(n+2)=a[ay(n)+bu(n)]+bu(n+1) =a^2y(n)+abu(n)+bu(n+1) y(n+2)=a[ay(n)+bu(n)]+bu(n+1)=a2y(n)+abu(n)+bu(

本文探讨了VLSI数字信号处理系统中自适应递归滤波器的流水线与并行处理架构设计。重点介绍了一阶及高阶IIR滤波器的流水线实现方法,包括超前流水线、聚类超前流水线和离散超前流水线等,并讨论了并行处理技术,如增量块处理和全并行结构。
最低0.47元/天 解锁文章
111





