计算机专业知识200题总结
计网
计网的协议,数据结构,离散,线代,概率论
表格
| 易 | 中 | 难 | |
|---|---|---|---|
| 紧 | 各种协议、tcp、udp、三次握手 | ||
| 般 | |||
| 必 |
思路
思路1:
1.
1.TCP和UDP的区别
| TCP | UDP | |
|---|---|---|
| 连接 | 面向连接的 | 面向无连接的 |
| 结构 | 较复杂 | 简单 |
| 准确性 | 保证数据正确性 | 可能掉包 |
| 顺序 | 保证数据顺序 | 不保证 |
| 建立、断开连接 | 三次握手、四次挥手 | |
2.三次握手

步骤:
A:客户端
B:服务器
- A发送同步标志位SYN给B,同时选择一个初始序列号seq=x(消耗掉一个序列号),请求建立连接。
- B回复A ACK=1,ack = x+1(ack表示确认到哪里了),并发送自己的序列号seq = y。
- A ACK=1,seq = x+1,ack = y + 1。
- 开始数据传输。
tcp的三次握手是很有意思的,基本思想就是“让我知道你已经知道”了。服务器监听请求,客户端发起连接请求(第一次连接),请求在路上可能存在丢失的风险,所以当请求到了服务器后如果服务器同意建立连接会给客户端一个回信(第二次连接),告诉它:我已经收到请求,可以连接。但是回信也存在一个问题,那就是回信能不能到客户端?它需要客户端给他一个回信说我已经收到批准通知了,如果客户端一直不回复的话意味着客户端没有收到批准通知。因此客户端一收到批准通知就立马回复(第三次握手):OK老铁我收到你的批准通知了。至此,三次握手结束。 一个很类似的例子就是投简历:先投简历,然后对方公司会通知你通过简历筛选,你收到这个通知后一般会回复一下我知道了。 这种“让我知道你已经知道了”的想法是一种约定俗成的可靠信息交互的基本方式,基于此想法构建的信息交互框架叫做协议。
3.四次挥手:

- A向B发送释放报文,FIN=1,seq=u。
- B向A发送ACK=1,seq=v,ack=u+1。
- B向A发送FIN=1,seq=w,ack=u+1。
- A向B发送ACK=1,seq=u+1,ack=w+1。
数据结构
表格
| 易 | 中 | 难 | |
|---|---|---|---|
| 紧 | |||
| 般 | |||
| 必 |
思路
思路1:
1.
操作系统
1.线程、进程、程序
表格
| 易 | 中 | 难 | |
|---|---|---|---|
| 紧 | 进程调度算法及其流程 | ||
| 般 | |||
| 必 |
思路
思路1:
1.
几种常见的进程调度算法及其流程(FCFS,SJF,剩余短作业优先,优先级调度,轮转法,多级反馈队列等等
- 线程、进程、程序三者的区别
进程:指在系统中能独立运行并作为资源分配的基本单位,进程=代码段+数据段+PCB。
线程:线程是进程中的一个实体,作为系统调度和分派的基本单位。
一个程序至少有一个进程,一个进程至少有一个线程。
数据库
表格
| 易 | 中 | 难 | |
|---|---|---|---|
| 紧 | ACID特性 | ||
| 般 | |||
| 必 |
思路
思路1:
1.
离散数学
1. 哈夫曼树
- 哈夫曼树是带权路径长度最短的树,权值较大的结点离根较近。将是否变为0,1,则变成前缀码。

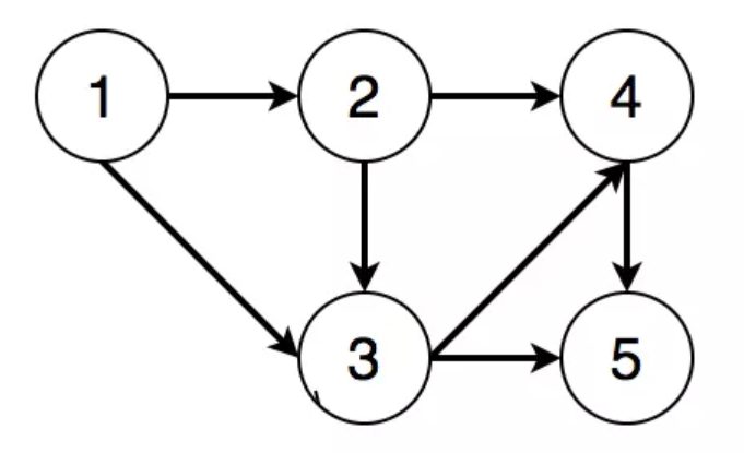
2. 拓扑排序
- 由某个集合上的偏序集得到该集合上的一个全序,这个操作叫做拓扑排序。
拓扑排序存在的前提
当且仅当一个有向图为有向无环图(directed acyclic graph,或称DAG)时,才能得到对应于该图的拓扑排序。每一个有向无环图都至少存在一种拓扑排序。该论断可以利用反证法。

线代
表格
| 易 | 中 | 难 | |
|---|---|---|---|
| 紧 | 1.秩,特征值,特征向量 | ||
| 般 | |||
| 必 |
思路
思路1:
1.
概率论
高数
数据结构
机器学习
| 易 | 中 | 难 | |
|---|---|---|---|
| 紧 | 决策树、随机森林、K-means、cnn、knn | ||
| 般 | |||
| 必 |
思路
思路1:
1.
2906

被折叠的 条评论
为什么被折叠?



