RNN
recurrent neural network, 循环神经网络更多应用于序列数据的处理中,网络参数共享是RNN的一个重要特点。
RNN结构示意图如下:

下面我们以具体的应用场景进行展开描述。
例如在文本分类问题中,输入的一句话可以看作是一个序列,输出为该条语句的类别标签。此时,RNN 的网络结构为:

其中,
x
i
x_i
xi表示语句中的一个单词,输出Y为类别标签。下面我们来看隐藏层单元中的运算,
h
i
h_i
hi表示了每一个隐层单元的状态:
h
i
=
ϕ
(
W
h
h
i
−
1
+
W
x
x
i
+
b
)
h_i=\phi(W_h h_{i-1}+W_x x_i+b)
hi=ϕ(Whhi−1+Wxxi+b),
W
x
W_x
Wx是权重矩阵,
W
h
W_h
Wh是状态转移矩阵,
ϕ
\phi
ϕ表示激活函数,可以选择
t
a
n
h
tanh
tanh或者
R
e
L
U
ReLU
ReLU作为激活函数,上面模型最终的输出为:
y
^
=
σ
(
h
4
)
\hat{y}=\sigma(h_4)
y^=σ(h4),
σ
\sigma
σ也是激活函数,分类问题中,可以选择
s
i
g
m
o
i
d
sigmoid
sigmoid函数作为激活函数。
关于模型的训练过程:
在RNN中,我们将梯度反向传播的过程叫做基于时间的反向传播算法。我们将损失函数记为
L
(
y
^
,
y
)
L(\hat{y},y)
L(y^,y), 我们要优化的参数是
W
x
W_x
Wx和
W
h
W_h
Wh,
h
4
h_4
h4时刻的输出的损失函数对
W
x
W_x
Wx求偏导数,记为:
∂
L
4
∂
W
x
=
∂
L
4
∂
h
4
∂
h
4
∂
W
x
+
∂
L
4
∂
h
4
∂
h
4
∂
h
3
∂
h
3
∂
W
x
+
∂
L
4
∂
h
4
∂
h
4
∂
h
3
∂
h
3
∂
h
2
∂
h
2
∂
W
x
+
∂
L
4
∂
h
4
∂
h
4
∂
h
3
∂
h
3
∂
h
2
∂
h
2
∂
h
1
∂
h
1
∂
W
x
\frac{\partial{L_4}}{\partial{W_x}}=\frac{\partial{L_4}}{\partial{h_4}}\frac{\partial{h_4}}{\partial{W_x}} +\frac{\partial{L_4}}{\partial{h_4}}\frac{\partial{h_4}}{\partial{h_3}}\frac{\partial{h_3}}{\partial{W_x}} +\frac{\partial{L_4}}{\partial{h_4}}\frac{\partial{h_4}}{\partial{h_3}}\frac{\partial{h_3}}{\partial{h_2}}\frac{\partial{h_2}}{\partial{W_x}} +\frac{\partial{L_4}}{\partial{h_4}}\frac{\partial{h_4}}{\partial{h_3}}\frac{\partial{h_3}}{\partial{h_2}}\frac{\partial{h_2}}{\partial{h_1}}\frac{\partial{h_1}}{\partial{W_x}}
∂Wx∂L4=∂h4∂L4∂Wx∂h4+∂h4∂L4∂h3∂h4∂Wx∂h3+∂h4∂L4∂h3∂h4∂h2∂h3∂Wx∂h2+∂h4∂L4∂h3∂h4∂h2∂h3∂h1∂h2∂Wx∂h1
h
4
h_4
h4时刻的输出的损失函数对
W
h
W_h
Wh求偏导数,记为:
∂
L
4
∂
W
h
=
∂
L
4
∂
h
4
∂
h
4
∂
W
h
+
∂
L
4
∂
h
4
∂
h
4
∂
h
3
∂
h
3
∂
W
h
+
∂
L
4
∂
h
4
∂
h
4
∂
h
3
∂
h
3
∂
h
2
∂
h
2
∂
W
h
+
∂
L
4
∂
h
4
∂
h
4
∂
h
3
∂
h
3
∂
h
2
∂
h
2
∂
h
1
∂
h
1
∂
W
h
\frac{\partial{L_4}}{\partial{W_h}}=\frac{\partial{L_4}}{\partial{h_4}}\frac{\partial{h_4}}{\partial{W_h}} +\frac{\partial{L_4}}{\partial{h_4}}\frac{\partial{h_4}}{\partial{h_3}}\frac{\partial{h_3}}{\partial{W_h}} +\frac{\partial{L_4}}{\partial{h_4}}\frac{\partial{h_4}}{\partial{h_3}}\frac{\partial{h_3}}{\partial{h_2}}\frac{\partial{h_2}}{\partial{W_h}} +\frac{\partial{L_4}}{\partial{h_4}}\frac{\partial{h_4}}{\partial{h_3}}\frac{\partial{h_3}}{\partial{h_2}}\frac{\partial{h_2}}{\partial{h_1}}\frac{\partial{h_1}}{\partial{W_h}}
∂Wh∂L4=∂h4∂L4∂Wh∂h4+∂h4∂L4∂h3∂h4∂Wh∂h3+∂h4∂L4∂h3∂h4∂h2∂h3∂Wh∂h2+∂h4∂L4∂h3∂h4∂h2∂h3∂h1∂h2∂Wh∂h1
由此可见,对
W
x
W_x
Wx和
W
h
W_h
Wh求偏导均存在累乘项,即长期依赖问题,进而导致梯度消失或梯度爆炸问题。
任意
t
t
t时刻计算损失函数对
W
x
W_x
Wx和
W
h
W_h
Wh的偏导数可以总结为:
∂
L
t
∂
W
x
=
∑
i
=
1
t
∂
L
t
∂
h
t
(
∏
j
=
i
+
1
t
∂
h
j
∂
h
j
−
1
)
∂
h
i
∂
W
x
\frac{\partial{L_t}}{\partial{W_x}}=\sum_{i=1}^{t} \frac{\partial{L_t}}{\partial{h_t}} (\prod_{j=i+1}^{t}\frac{\partial{h_j}}{\partial{h_{j-1}}})\frac{\partial{h_i}}{\partial{W_x}}
∂Wx∂Lt=∑i=1t∂ht∂Lt(∏j=i+1t∂hj−1∂hj)∂Wx∂hi
∂ L t ∂ W h = ∑ i = 1 t ∂ L t ∂ h t ( ∏ j = i + 1 t ∂ h j ∂ h j − 1 ) ∂ h i ∂ W h \frac{\partial{L_t}}{\partial{W_h}}=\sum_{i=1}^{t} \frac{\partial{L_t}}{\partial{h_t}} (\prod_{j=i+1}^{t}\frac{\partial{h_j}}{\partial{h_{j-1}}})\frac{\partial{h_i}}{\partial{W_h}} ∂Wh∂Lt=∑i=1t∂ht∂Lt(∏j=i+1t∂hj−1∂hj)∂Wh∂hi
由此,我们可以看到,RNN损失函数对参数的偏导数都存在下面项:
∂
h
t
∂
h
i
=
∏
j
=
i
+
1
t
∂
h
j
∂
h
j
−
1
\frac{\partial{h_t}}{\partial{h_i}}=\prod_{j=i+1}^{t}\frac{\partial{h_j}}{\partial{h_{j-1}}}
∂hi∂ht=∏j=i+1t∂hj−1∂hj
上面这个连乘是RNN梯度问题产生的根本原因。
RNN的目的是捕获长距离输入序列之间的依赖问题,但是由于存在梯度消失的问题,使得这一目标往往并不能取得很好的效果。
由于对 W x W_x Wx和 W h W_h Wh求偏导均存在长期依赖问题,这导致RNN在模型训练过程中很容易产生梯度消失或者梯度爆炸的问题,其中梯度消失问题更为棘手,因为梯度爆炸问题可以通过梯度裁剪,在一定程度上进行缓解,而梯度消失问题,往往需要从模型本身的结构上进行改进。在卷积神经网络中,为了缓解梯度消失问题,可以在网络结构中引入残差单元,通过残差学习的方式缓解梯度消失问题,而在循环神经网络中,LSTM和GRU对RNN结构的改进,在一定程度上缓解了RNN的梯度消失问题。
在介绍LSTM之前,我们补充介绍RNN网络的另外几种典型的应用场景:
词性标注问题,对语句中的每一个单词进行词性标准,网络输入输出为N-N,网络结构如下:

机器翻译问题,将一种语言翻译到另外一种语言,模型的输入输出为N-M,网络结构如下图所示:

上面这种网络结构表示序列到序列的模型,也叫做Seq2Seq或者Encoder-Decoder模型,模型的左半部分表示编码器(Encoder),右半部分表示解码器(Decoder)。
LSTM
long short-term memory,长短期记忆网络是RNN的一种变体,它对RNN的隐藏状态单元的结构进行了改进,一定程度上缓解了梯度消失的问题(不能说是完全解决梯度消失问题)。
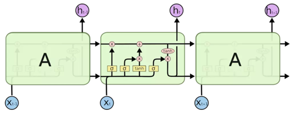
下面这张图表示的是一个标准的RNN单元:

然后,我们再来看LSTM的基本单元:

上面图中,
σ
\sigma
σ 和
t
a
n
h
tanh
tanh 分别表示激活函数
s
i
g
m
o
i
d
(
x
)
sigmoid(x)
sigmoid(x) 和
t
a
n
h
(
x
)
tanh(x)
tanh(x) ,
s
i
g
m
o
i
d
(
x
)
sigmoid(x)
sigmoid(x) 用于进行选择操作,
t
a
n
h
(
x
)
tanh(x)
tanh(x) 用于进行变换操作,具体解释下面会进行介绍,粉色圆圈分别表示加法和乘法操作。
观察上面两张图,我们可以发现,LSTM的基本单元要比RNN复杂很多,下面,我们对LSTM基本单元中的每一个部分进行详细的介绍。LSTM基本单元我们称作细胞(Cell),每个 cell 中有三个输入,分别是t时刻的输入,上一个 cell 的状态 C t − 1 C_{t-1} Ct−1,以及上一个 cell 的输出。另外,每个Cell中包含有三个门控单元,从左到右,依次分别叫做遗忘门,输入门和和输出门,每一个门的输入都由前一个时刻的状态 h t − 1 h_{t-1} ht−1和当前时刻的输入 x t x_t xt共同组成: [ h t − 1 , x t ] [h_{t-1}, x_t] [ht−1,xt],
遗忘门
t
t
t 时刻遗忘门(forget)得到的输出为:
f
(
t
)
=
σ
(
W
f
[
h
t
−
1
,
x
t
]
+
b
f
)
=
σ
(
W
f
h
h
t
−
1
+
W
f
x
x
t
−
1
+
b
f
)
f(t)=\sigma(W_f[h_{t-1},x_t]+b_f)=\sigma(W_{fh}h_{t-1}+W_{fx}x_{t-1}+b_f)
f(t)=σ(Wf[ht−1,xt]+bf)=σ(Wfhht−1+Wfxxt−1+bf)
输入门
t
t
t 时刻输入门(input)得到的输出为:
i
(
t
)
=
σ
(
W
i
[
h
t
−
1
,
x
t
]
+
b
i
)
=
σ
(
W
i
h
h
t
−
1
+
W
i
x
x
t
−
1
+
b
i
)
i(t)=\sigma(W_i[h_{t-1},x_t]+b_i)=\sigma(W_{ih}h_{t-1}+W_{ix}x_{t-1}+b_i)
i(t)=σ(Wi[ht−1,xt]+bi)=σ(Wihht−1+Wixxt−1+bi)
同时有:
c
t
~
=
t
a
n
h
(
W
c
[
h
t
−
1
,
x
t
]
+
b
c
)
=
t
a
n
h
(
W
c
h
h
t
−
1
+
W
c
x
x
t
−
1
+
b
c
)
\tilde{c_t}=tanh(W_c[h_{t-1},x_t]+b_c)=tanh(W_{ch}h_{t-1}+W_{cx}x_{t-1}+b_c)
ct~=tanh(Wc[ht−1,xt]+bc)=tanh(Wchht−1+Wcxxt−1+bc)
输出门
t
t
t 时刻输出门(output)得到的输出为:
o
(
t
)
=
σ
(
W
o
[
h
t
−
1
,
x
t
]
+
b
o
)
=
σ
(
W
o
h
h
t
−
1
+
W
o
x
x
t
−
1
+
b
o
)
o(t)=\sigma(W_o[h_{t-1},x_t]+b_o)=\sigma(W_{oh}h_{t-1}+W_{ox}x_{t-1}+b_o)
o(t)=σ(Wo[ht−1,xt]+bo)=σ(Wohht−1+Woxxt−1+bo)
在得到 cell 内部的计算流程的输出之后,我们就可以得到了每个 cell 的两个输出:当前 cell 的状态
C
t
C_t
Ct 和 当前 cell 的输出
h
t
h_t
ht,分别是:
c
t
=
c
t
−
1
∗
f
t
+
i
t
∗
c
t
~
c_t = c_{t-1}*f_t+i_t*\tilde{c_t}
ct=ct−1∗ft+it∗ct~
h
t
=
t
a
n
h
(
c
t
)
∗
o
t
h_t=tanh(c_t)*o_t
ht=tanh(ct)∗ot
我们可以将
c
t
c_t
ct和
h
t
h_t
ht理解为每个cell的两个状态变量,LSTM相对标准RNN,其内部的运算机制要复杂很多,为了减小计算复杂度,GRU针对LSTM进行了改进,使每个cell中只有一个状态量,一定程度上减少了计算复杂度。另外一点值得注意的是,在RNN中,每个cell只有一个状态变量
h
t
h_t
ht,在LSTM中与之相对应的是
c
t
c_t
ct,而不是
h
t
h_t
ht, 这在上面RNN和LSTM基本单元的结构对比图中也可以体现出来,并且,cell 的输出是基于
h
t
h_t
ht得到的,这也是需要注意的。
介绍完LSTM的三个门控单元的基本操作原理之后,那么LSTM具体在训练中是怎么缓解梯度消失问题的呢?我们先看LSTM的训练过程。
在LSTM的训练过程中,我们需要更新的参数有
W
f
W_f
Wf,
W
i
W_i
Wi,
W
c
W_c
Wc 和
W
o
W_o
Wo,
记 t 时刻的损失函数为
L
t
L_t
Lt, 我们先看损失函数对参数
W
c
W_c
Wc的偏导数:
∂
L
t
∂
W
c
=
∂
L
t
∂
h
t
∂
h
t
∂
c
t
∂
c
t
~
∂
W
c
+
∂
L
t
∂
h
t
∂
h
t
∂
c
t
∂
c
t
~
∂
c
t
−
1
∂
c
t
−
1
∂
c
~
t
−
1
∂
c
~
t
−
1
∂
W
c
+
.
.
.
.
.
.
\frac{\partial{L_t}}{\partial{W_c}}=\frac{\partial{L_t}}{\partial{h_t}} \frac{\partial{h_t}}{\partial{c_t}} \frac{\partial{\tilde{c_t}}}{\partial{W_c}} +\frac{\partial{L_t}}{\partial{h_t}} \frac{\partial{h_t}}{\partial{c_t}} \frac{\partial{\tilde{c_t}}}{\partial{c_{t-1}}}\frac{\partial{c_{t-1}}}{\partial{\tilde{c}_{t-1}}}\frac{\partial{\tilde{c}_{t-1}}}{\partial{W_c}}+......
∂Wc∂Lt=∂ht∂Lt∂ct∂ht∂Wc∂ct~+∂ht∂Lt∂ct∂ht∂ct−1∂ct~∂c~t−1∂ct−1∂Wc∂c~t−1+......
从上面的公式来看,我们LSTM的求导过程还是很复杂的,我们试图直接从中分析出是否存在梯度问题比较不容易。
但是,前面我们说到,RNN中,
∂
h
t
∂
h
i
\frac{\partial{h_t}}{\partial{h_i}}
∂hi∂ht是一个连乘,是产生梯度问题的根本原因,并且RNN中
h
i
h_i
hi的传递关系为:
h
i
=
ϕ
(
W
h
h
i
−
1
+
W
x
x
i
+
b
)
h_i=\phi(W_h h_{i-1}+W_x x_i+b)
hi=ϕ(Whhi−1+Wxxi+b)
另外RNN中:
∂
h
t
∂
h
t
−
1
=
∂
h
t
∂
h
t
−
1
\frac{\partial{h_t}}{\partial{h_{t-1}}}=\frac{\partial{h_t}}{\partial{h_{t-1}}}
∂ht−1∂ht=∂ht−1∂ht
我们前面还说到,LSTM中的
c
i
c_i
ci对应了RNN中的
h
i
h_i
hi,并且
c
i
c_i
ci 的在每个 cell 中的传递关系为:
c
t
=
c
t
−
1
∗
f
t
+
i
t
∗
c
t
~
c_t = c_{t-1}*f_t+i_t*\tilde{c_t}
ct=ct−1∗ft+it∗ct~
进一步,我们再看
∂
c
t
∂
c
i
\frac{\partial{c_t}}{\partial{c_i}}
∂ci∂ct 的计算, 更简单的,我们先看
∂
c
t
∂
c
t
−
1
\frac{\partial{c_t}}{\partial{c_{t-1}}}
∂ct−1∂ct的计算,计算这个偏导数之前,我们需要注意,
f
t
f_t
ft,
i
t
i_t
it,
c
~
t
\tilde{c}_t
c~t的计算都是含有
h
t
−
1
h_{t-1}
ht−1的,而
h
t
−
1
h_{t-1}
ht−1的计算又是包含
c
t
−
1
c_{t-1}
ct−1的,因此,
f
t
f_t
ft,
i
t
i_t
it,
c
~
t
\tilde{c}_t
c~t都是
c
t
−
1
c_{t-1}
ct−1的复合函数。
∂
c
t
∂
c
t
−
1
=
f
t
+
∂
f
t
∂
c
t
−
1
∗
c
t
−
1
+
∂
i
t
∂
c
t
−
1
∗
c
t
~
+
i
t
∗
c
t
~
∂
c
t
−
1
\frac{\partial{c_t}}{\partial{c_{t-1}}}=f_t+\frac{\partial{f_t}}{\partial{c_{t-1}}}*c_{t-1}+\frac{\partial{i_t}}{\partial{c_{t-1}}}*\tilde{c_t}+i_t*\frac{\tilde{c_t}}{\partial{c_{t-1}}}
∂ct−1∂ct=ft+∂ct−1∂ft∗ct−1+∂ct−1∂it∗ct~+it∗∂ct−1ct~
由此,我们看到LSTM中的状态计算
∂
c
t
∂
c
t
−
1
\frac{\partial{c_t}}{\partial{c_{t-1}}}
∂ct−1∂ct 与RNN中的状态计算
∂
h
t
∂
h
t
−
1
\frac{\partial{h_t}}{\partial{h_{t-1}}}
∂ht−1∂ht有明显的不同。
再回到LSTM中的
∂
c
t
∂
c
t
−
1
\frac{\partial{c_t}}{\partial{c_{t-1}}}
∂ct−1∂ct,这项偏导数的第一项是
f
t
f_t
ft,而
f
t
f_t
ft是遗忘门 forget gate 的输出,而forget gate 的输出
f
t
f_t
ft 是经过 sigmoid 函数得到的,若输出
f
t
f_t
ft的值是1,则完全保留旧状态,若输出
f
t
f_t
ft的值是0,则完全舍弃旧状态。当
f
t
f_t
ft的值为1或者接近1时,
∂
c
t
∂
c
t
−
1
\frac{\partial{c_t}}{\partial{c_{t-1}}}
∂ct−1∂ct就存在梯度了,这就缓解了梯度消失的问题。
我们讲,LSTM能够缓解RNN的梯度消失问题,就是因为 c t c_t ct到 c t − 1 c_{t-1} ct−1这条路径上的梯度信息得到了缓解,在其他路径上的梯度信息并没有得到缓解,另外,遗忘门的作用就是保留前一个cell的状态信息,这也就解决了RNN中的长距离依赖问题。
GRU
由于LSTM的 cell 内部结构较为复杂,GRU可以理解为对LSTM的简化,其内部结构对于前一个状态信息的取舍也是通过门控单元来实现的。
RNN LSTM GRU详解
1347

被折叠的 条评论
为什么被折叠?



