在梯度下降中可能存在的问题是,学习率过大,会导致不收敛。回顾一下我们使用近似的前提是:找到一个常数η(学习率)>0,使得|??′(?)|足够小,然后通过

来迭代x,从让f(x)不断下降。但是当我们使用过大的学习率时,|??′(?)|可能会过大从而使一阶泰勒展开不再成立,这个时候无法保证迭代?会降低?(?)的值,那么x就有可能越过最优解而逐渐发散。
在一个二维向量的目标函数中,就可能出现在相同的学习率下,一个方向比另一个方向移动幅度更大,从而在一个方向越过最优解。

动量法
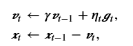
动量法对每次迭代的步骤做如下修改:

其中,动量超参数γ满足0<γ<1。当γ=0时,动量法等价于小批量随机梯度下降。
在动量法中,自变量在各个方向上的移动幅度不仅取决当前梯度,还取决于过去的各个梯度在各个方向上是否一致。这样,我们就可以使用较大的学习率,从而使自变量向最优解更快移动。
动量法的代码实现:
def momentum_2d(x1, x2, v1, v2):
v1 = gamma * v1 + eta * 0.2 * x1
v2 = gamma * v2 + eta * 4 * x2
return x1 - v1, x2 - v2, v1, v2
eta, gamma = 0.4, 0.5
d2l.show_trace_2d(f_2d, d2l.train_2d(momentum_2d))

有梯度在水平方向上为正(向右),而在竖直方向上时正(向上)时负(向下)。这样动量法在竖直方向上的移动更加平滑,且在水平方向上更快逼近最优解。
从零开始实现
features, labels = d2l.get_data_ch7()
def init_momentum_states():
v_w = nd.zeros((features.shape[1], 1))
v_b = nd.zeros(1)
return (v_w, v_b)
def sgd_momentum(params, states, hyperparams):
for p, v in zip(params, states):
v[:] = hyperparams['momentum'] * v + hyperparams['lr'] * p.grad
p[:] -= v
d2l.train_ch7(sgd_momentum, init_momentum_states(),
{'lr': 0.02, 'momentum': 0.5}, features, labels) # 超参数中多了动量超参数
简洁实现
d2l.train_gluon_ch7('sgd', {'learning_rate': 0.004, 'momentum': 0.9},
features, labels)
# 只需要在Trainer实例中通过momentum来指定动量超参数即可使用动量法。
探讨了梯度下降算法中学习率过大会导致的不收敛问题,介绍了动量法如何通过引入动量超参数来解决这一问题,使自变量能以较大步长向最优解移动,同时保持稳定性。
7018

被折叠的 条评论
为什么被折叠?



