1、关于逻辑回归
1.1 线性回归(Linear Regression )
首先我们需要了解线性回归(Linear Regression ),线性回归主要是用来刻画自变量和因变量之间的关系(所以通常可以用线性回归模型做预测)。在一元线性回归中,只含有一个自变量x,在二维平面中拟合成直线f(x) = kx + b,如下图所示:

当自变量不少于两个时,属于多元线性回归,形如函数y = b0 + b1x1 + b2x2 + e,回归系数代表相对应自变量的重要程度。
1.2 逻辑回归(Logistic Regression)
逻辑回归与线性回归模型针对的应用不同,当我们对连续值进行预测时,比如对于房价,分数等。如果我们已经训练好一个模型f(x),将测试集代入模型中即可得到我们想要的结果。然而不同的是,逻辑回归模型最常用于二分类问题当中,比如我们要预测西瓜是否成熟,通过分析年龄、性别、体质指数、平均血压、疾病指数等指标,判断一个人是否换糖尿病等。我们所需要的预测结果只是0(否),1(是)。因此有一个神奇的Sigmoid函数(如下):

Sigmoid 函数图像如下:

在上图中,我们可以看出Sigmoid函数值域在(0,1),所以如果当我们将线性回归模型中的预测值代入Sigmoid函数自变量x中,则可以将所有预测的连续值规约到(0,1),且我们规定Sigmoid函数值大于0.5时取1(代表是),小于0.5时取0(代表否)。
2、回归模型中的参数的求法
2.1 线性回归模型的损失函数(均方误差MSE)
cost=1m∑i=1m(y−f(x))2
cost =\frac{1}{m}\sum_{i=1}^{m}({y}-{f(x)})^2
cost=m1i=1∑m(y−f(x))2
其中 f(x)代表真实值,f1(x)代表预测值。
线性回归模型试图学习如下公式:
f(xi)=ωT∗Xi
f(x_{i}) = {\omega}^T*X_{i}
f(xi)=ωT∗Xi
将公式代入损失函数中,所以损失函数如下:
cost=1m∑i=1m(y−ωT∗Xi)2
cost =\frac{1}{m}\sum_{i=1}^{m}({y}-{{\omega}^T*X_{i})}^2
cost=m1i=1∑m(y−ωT∗Xi)2
所以在线性回归中我们需要找到令损失函数cost最小的特征系数omega的最优解。
最后结果等于如下:
θ=(XT∗X)−1XTy
\theta = (X^{T}*X)^{-1}X^{T}y
θ=(XT∗X)−1XTy
2.2 逻辑回归模型的损失函数
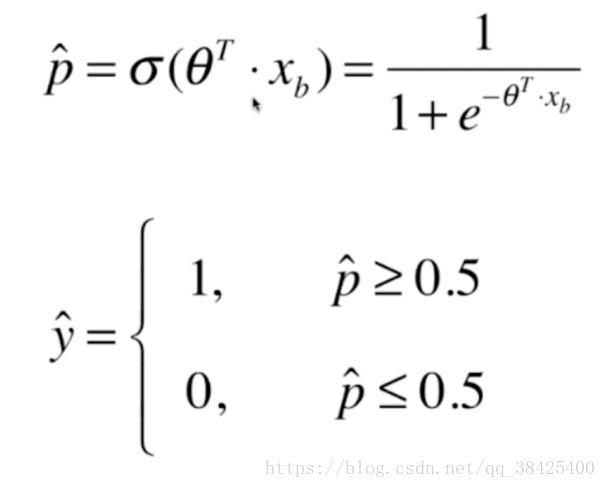
首先逻辑回归基本框架如下:

每拿一组样本xb,得到一个概率值,如果概率值大于等于0.5,则分类为1,概率值小于等于0.5,则分类为0。
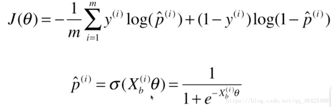
逻辑回归损失函数的定义并不像线性回归那么简单,参考资料可以如下定义损失函数:


其中y代表样本真值,如果真实值为1,则当预测值p越小时,cost越大,如果真实值为0,则当预测值p越大时,cost越大。
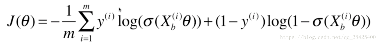
损失函数可以写成如下形式:


其中y代表真实值,Xb代表给的样本特征,我们需要做的是利用梯度下降法找到一组theta,使就j(theta)最小。
理解线性与逻辑回归
604

被折叠的 条评论
为什么被折叠?



