题目描述
输入一个整数数组,判断该数组是不是某二叉搜索树的后序遍历的结果。如果是则返回true,否则返回false。假设输入的数组的任意两个数字都互不相同。(ps:我们约定空树不是二叉搜索树)
示例
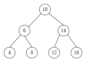
输入:[4,8,6,12,16,14,10]
输出:true
下图为后序遍历的一种二叉搜索树:
题目解析
方法一:递归
二叉搜索树的定义为根节点大于左子树节点,小于右子树节点,中序搜索的结果为非递减序列。
- 题目给出后续遍历序列,后续遍历顺序为左 - 右 - 根,因此,序列的最后一个元素就是当前树的根节点。
- 找到根节点后,再遍历序列,找到右子树的开始位置,将整个序列划分为:左子树 + 右子树 + 根。
- 若满足左子树皆小于根节点、右子树皆大于根节点,再分别判断左右子树是否满足条件,直至只剩一个节点,视为满足题意。
以上述示例为例具体分析:
对于给出的序列[4,8,6,12,16,14,10]
- 确定根节点,为序列最后元素
10 - 后序遍历序列先左子树后右子树,左子树小,右子树大,因此遍历序列找到第一个大于根节点的数,即为右子树的开始,为
12 - 由此,树的结构为:
左[4,8,6],右[12,16,14],根[10] - 对其左右子树继续相同操作:
左子树可分为:左[4],右[8],根[6]
右子树可分为:左[12],右[16],根[14] - 当序列中只有一个节点时,停止递归,返回结果。
上述思路采用分支思想,将问题不断划分为子问题,具体实现采用递归算法。
public boolean VerifySquenceOfBST(int [] sequence) {
int n = sequence.length;
// 空树不为二叉树
if(n <= 0){
return false;
}
return isPost(sequence,0,n - 1);
}
public boolean isPost(int[] seq,int start,int end){
// 只有一个节点
if(start >= end){
return true;
}
// 数组尾部为根节点
int root = end;
// 寻找右子树的位置
int right = start;
while(right < root && seq[right] < seq[root]){
right++;
}
// 判断右子树是否全部大于根节点
for(int i = right;i < root;i++){
if(seq[i] < seq[root]){
return false;
}
}
// 分治法判断左右子树是否都满足条件
return isPost(seq,start,right - 1) && isPost(seq,right,end - 1);
}
- 时间复杂度:O(n2),二叉树为链式时最坏情况为O(n2)
- 空间复杂度:O(n),二叉树为链式时最坏情况,递归栈深度为n


被折叠的 条评论
为什么被折叠?



