堆
要使用堆排序,那我们首先要了解堆这个数据结构是怎么构建的,这样才能很好地使用堆排序。堆逻辑结构是完全二叉树,存储结构是顺序数组(存储结构是指写代码的时候保存堆中元素的数据结构)。堆分为最大堆和最小堆,最大堆指所有根节点大于左右孩子节点的值,最小堆相反,指所有根节点小于左右孩子节点的值,本文以最大堆为例介绍堆。
完全二叉树
上述提到堆的逻辑结构是完全二叉树,那这里就简单介绍下和堆相关的完全二叉树的特点:

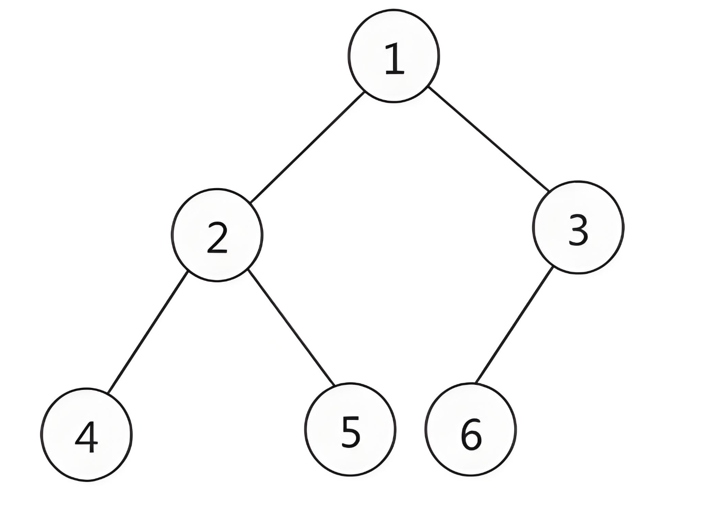
如图所示:
- 完全二叉树的编号从1开始,按照层次遍历的顺序进行后续节点的编号。
- 除了叶子节点外,所有的根节点都具备左右孩子。
- 最后一层的叶子节点必须是连续的,以上图举例,意思是必须是4 -> 5 -> 6 三个叶子节点挨着排列,假设编号为6的节点是编号为3的节点的右孩子,那中间就空出了一个位置,就不符合连续的特点了。
- 节点编号关系:左孩子节点编号 = 根节点编号 * 2,右孩子节点编号 = 根节点编号 * 2 + 1。(方便我们通过根节点索引去找到左右孩子节点索引)
正是这样的结构方便我们使用顺序数组进行存储,如下图所示:

这样我们就把逻辑结构转化为了顺序数组,在后续构建堆的过程中我们只需要对这个顺序数组进行操作就行了。
建堆
堆就是在完全二叉树的基础上,增加了根节点与左右孩子节点的大小关系的数据结构。
以最大堆举例,其特点就是所有根节点的值大于所有左右孩子节点的值,我们需要依据这个特性去构建整个堆,建堆的过程大概分为如下两步:
- 将原数组转化为上图提到的顺序存储结构(元素从索引1开始存放,索引0不存放数据)
- 从下至上,从右至左,使所有的子树都具备最大堆的结构,那遍历到最上方的时候,是不是整棵树都具备了最大堆的性质
准备工作
int[] heap_nums; // 堆数组
int[] nums; // 原数组
int heap_nums_len; // 堆数组长度
int last_nor_leaf_node_index;// 最后一个非叶节点索引
这里记录最后一个非叶节点索引的原因后续会说明。
顺序存储结构
把原数组转化为符合完全二叉树性质的顺序存储结构
public void SeqStore(int[] nums)
{
int len = nums.Length;
for (int i = 0; i < len; i++)
{
heap_nums[i + 1] = nums[i];
}
}
建堆
按照上述提到的使所有子树都要具备最大堆的结构,那我们需要从数组的末尾开始遍历所有的节点,确保所有子树都具备堆结构,由于叶子节点为根节点的子树只有它自己一个节点,已经符合堆结构了,所以我们只用从最后一个非叶节点开始遍历就好了。
在遍历每一个节点的时候,我们都要比较根节点和左右孩子节点的值是不是符合堆的特性,如果根节点比左右孩子小的话,那我们要把根节点的值和左右孩子节点中更大的那个值进行交换,使其符合堆的特性。
假设我们把根节点和其左右孩子节点中的其中一个进行了交换,那和根节点交换的那个节点的值就变为了根节点的值,交换了的这个节点的子树不一定还会满足堆的特性,这个时候我们还要接着检查交换之后是否满足堆结构的特性,直到满足堆结构的特性或是其变成了叶子节点,这个操作叫做下沉。
可参考视频:堆排序视频解析
下沉:下沉的时候要注意最后一个非叶节点右孩子可能不存在,要判断是否存在。
// 下沉,用于把堆中交换过后的值放到正确的位置
// 第二个参数用于堆排序
private void FallDown(int index, int heap_len)
{
last_nor_leaf_node_index = (heap_len - 1) / 2;
// 结束条件为其大于其左右孩子节点或是处于叶子结点
while (index <= last_nor_leaf_node_index)
{
int left_index = 2 * index;
int right_index = 2 * index + 1;
int left_val = heap_nums[left_index];
// 判断是否有右孩子, 没有就让他比根节点小就好了,这样后面做判断的时候就可以当他不存在
int right_val = right_index < heap_len ? heap_nums[right_index] : heap_nums[index] - 1;
// 如果大于左右孩子那直接结束, 注意越界问题,最后一个非叶节点不一定有右孩子
if (heap_nums[index] > left_val && heap_nums[index] > right_val)
{
break;
}
// 三个中最大数的索引
int max_index = left_val > right_val ? left_index : right_index;
// 交换,更新index
CommonFunc.Swap(ref heap_nums[max_index], ref heap_nums[index]);
index = max_index;
}
}
建堆:
// 建堆,这里默认最大堆
// 从最末尾的非叶子结点开始
public void Build()
{
// 开始建堆
for (int i = last_nor_leaf_node_index;i > 0;i--)
{
// 找到左右孩子的序号
int left_index = 2 * i;
int right_index = 2 * i + 1;
int left_val = heap_nums[left_index];
// 判断是否有右孩子, 没有就让他比根节点值小就好了,这样后面做判断的时候就可以当他不存在
int right_val = right_index < heap_nums_len ? heap_nums[right_index] : heap_nums[i] - 1;
// 小于左右孩子就要发生交换那就需要下沉
// 注意右孩子可能不存在,要判断下越界问题
if (heap_nums[i] < left_val || heap_nums[i] < right_val)
{
this.FallDown(i, heap_nums_len);
}
}
Update();
}
堆排序
建好后的最大堆具备一个特点,最上面的根节点,也就是堆顶的值是整棵树的值最大的,那我们不是每次都提取堆顶的值,然后把这个值排除出堆,然后再用剩余的值重建一个堆,再提取堆顶的值,循环往复不就能获得一个递增的数组了?
我们选择把堆顶的值和数组最后一个值进行交换(处理起来更加方便),然后把最后一个值排除在外(逻辑上缩小数组的长度),然后把交换到堆顶的值做下沉操作不就完事儿了?
// 堆排序
public void Sort()
{
// 建堆
Build();
// 从最末尾开始,和堆顶元素交换,这样最后一个元素就是整个数组最大的值
for (int i = heap_nums_len - 1;i > 0;i--)
{
// 交换
CommonFunc.Swap(ref heap_nums[1], ref heap_nums[i]);
// 交换完之后不一定还符合堆结构,下沉,这时要排除最后一个元素
FallDown(1, (i-1) + 1);
}
// 更新原数组
Update();
}
// 更新原数组的值
public void Update()
{
for (int i = 1;i < heap_nums_len;i++)
{
nums[i-1] = heap_nums[i];
}
}
以上就是堆排序的所有内容了,可以结合视频更方便理解整个过程。
7万+

被折叠的 条评论
为什么被折叠?



