2019年9月13日
《数据结构与算法》的积累进度较慢,抓住中秋佳节,完善自己。
目录
题目:

图的数据结构:
图的概念
图(Graph)是由顶点的有穷非空集合和顶点之间边的集合组成,通常表示为:G(V,E),其中,G表示一个图,V是图中G中顶点的集合,vertex;E是图G中边的集合,edge。
图有两种:无向图和有向图。
1.无向图
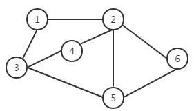
无向图:若两个顶点没有方向,则称这条边为无向边。如果图中任意两个顶点之间的边都是无向边,则称该图为无向图(如下图所示)。在无向图中,若任意两个顶点之间都存在边,则称为无向完全图。
典型的无向图,如图二所示。由于无向图中的边没有方向性,这样我们在表示边的时候对两个顶点的顺序没有要求。例如顶点VI和顶点V5之间的边,可以表示为(V2, V6),也可以表示为(V6,V2)。

图二 无向图
对于图二无向图,对应的顶点集合和边集合如下:
V(G)= {V1,V2,V3,V4,V5,V6}
E(G)= {(V1,V2),(V1,V3),(V2,V6),(V2,V5),(V2,V4),(V4,V3),(V3,V5),(V5,V6)}
2.有向图
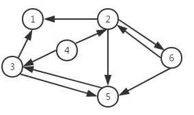
一个图结构中,边是有方向性的,那么这种图就称为有向图,如图三所示。由于图的边有方向性,我们在表示边的时候对两个顶点的顺序就有要求。我们采用尖括号表示有向边,例如<V2,V6>表示从顶点V2到顶点V6,而<V6,V2>表示顶点V6到顶点V2。

图三 有向图
对于图三有向图,对应的顶点集合和边集合如下:
V(G)= {V1,V2,V3,V4,V5,V6}
E(G)= {<V2,V1>,<V3,V1>,<V4,V3>,<V4,V2>,<V3,V5>,<V5,V3>,<V2,V5>,<V6,V5>,<V2,V6>,<V6,V2>}
注意:
无向图也可以理解成一个特殊的有向图,就是边互相指向对方节点,A指向B,B又指向A。
3.顶点的度
连接顶点的边的数量称为该顶点的度。顶点的度在有向图和无向图中具有不同的表示。对于无向图,一个顶点V的度比较简单,其是连接该顶点的边的数量,记为D(V)。 例如,图二所示的无向图中,顶点V5的度为3。而V6的度为2。
对于有向图要稍复杂些,根据连接顶点V的边的方向性,一个顶点的度有入度和出度之分。
- 入度是以该顶点为端点的入边数量, 记为ID(V)。
- 出度是以该顶点为端点的出边数量, 记为OD(V)。
这样,有向图中,一个顶点V的总度便是入度和出度之和,即D(V) = ID(V) + OD(V)。例如,图三所示的有向图中,顶点V5的入度为3,出度为1,因此,顶点V5的总度为4。
4.邻接顶点
邻接顶点是指图结构中一条边的两个顶点。 邻接顶点在有向图和无向图中具有不同的表示。对于无向图,邻接顶点比较简单。例如,在图二所示的无向图中,顶点V2和顶点V6互为邻接顶点,顶点V2和顶点V5互为邻接顶点等。
对于有向图要稍复杂些,根据连接顶点V的边的方向性,两个顶点分别称为起始顶点(起点或始点)和结束顶点(终点)。有向图的邻接顶点分为两类:
-
入边邻接顶点:连接该顶点的边中的起始顶点。例如,对于组成<V2,V6>这条边的两个顶点,V2是V6的入边邻接顶点。
-
出边邻接顶点:连接该顶点的边中的结束顶点。例如,对于组成<V2,V6>这条边的两个顶点,V6是V2的出边邻接顶点。
5.无向完全图
如果在一个无向图中, 每两个顶点之间都存在条边,那么这种图结构称为无向完全图。典型的无向完全图,如图四所示。

图四 无向完全图
理论上可以证明,对于一个包含M个顶点的无向完全图,其总边数为M(M-1)/2。比如图四总边数就是5(5-1)/ 2 = 10。
6.有向完全图
如果在一个有向图中,每两个顶点之间都存在方向相反的两条边,那么这种图结构称为有向完全图。典型的有向完全图,如图五所示。

图五 有向完全图
理论上可以证明,对于一个包含N的顶点的有向完全图,其总的边数为N(N-1)。这是无向完全图的两倍,这个也很好理解,因为每两个顶点之间需要两条边。
7.有向无环图(DAG图)
如果一个有向图无法从某个顶点出发经过若干条边回到该点,则这个图是一个有向无环图。
有向无环图可以利用在区块链技术中。
8.无权图和有权图

这里的权可以理解成一个数值,就是说节点与节点之间这个边是否有一个数值与它对应,对于无权图来说这个边不需要具体的值。对于有权图节点与节点之间的关系可能需要某个值来表示,比如这个数值能代表两个顶点间的距离,或者从一个顶点到另一个顶点的时间,所以这时候这个边的值就是代表着两个节点之间的关系,这种图被称为有权图;
9.图的连通性
图的每个节点不一定每个节点都会被边连接起来,所以这就涉及到图的连通性,如下图:

可以发现上面这个图不是完全连通的。
10.简单图 ( Simple Graph)
对于节点与节点之间存在两种边,这两种边相对比较特殊
1.自环边(self-loop):节点自身的边,自己指向自己。
2.平行边(parallel-edges):两个节点之间存在多个边相连接。

这两种边都是有意义的,比如从A城市到B城市可能不仅仅有一条路,比如有三条路,这样平行边就可以用到这种情况。不过这两种边在算法设计上会加大实现的难度。而简单图就是不考虑这两种边。
实现图的深度优先搜索、广度优先搜索
解决方法1:统计出入度
public class FindJudgeSolution {
public static void main(String[] args){
int N = 3;
int[][] trust = {{1,3},{2,3}};
int result = findJudge(N, trust);
System.out.println("result = "+ result);
}
public static int findJudge(int N, int[][] trust) {
int[] cnt = new int[N+1];//统计出入度
for (int[] index : trust) {
cnt[index[0]]--;//出度--
cnt[index[1]]++;//入度++
}
for ( int i = 1; i <= N; i++ ) {
if ( cnt[i] == N-1 ) return i;
}
return -1;
}
}
性能结果:

解题思路:
- 法官节点:入度为N-1,出度为0接着就是遍历图(二维数据)
解决方法2:
class Solution {
public int findJudge(int N, int[][] trust) {
int inDegree[] = new int[1001]; // 定义两个数组分别存储每一个节点的入度和出度
int outDegree[] = new int[1001];
int peopleMark; // 记录人的编号
for(int i = 0; i < trust.length; i++) {
peopleMark = trust[i][0];
outDegree[peopleMark]++; // 人的出度加1
peopleMark = trust[i][1];
inDegree[peopleMark]++; // 人的入度加 1
}
for(int i = 1; i <= N; i++){ // 判断一个人的出度和入度来判断是否是法官
if(inDegree[i] == (N - 1) && outDegree[i] == 0)
return i;
}
return -1;
}
}
作者:lu-zhao
链接:https://leetcode-cn.com/problems/find-the-town-judge/solution/xiao-bai-ben-ban-fa-by-lu-zhao/
来源:力扣(LeetCode)
著作权归作者所有。商业转载请联系作者获得授权,非商业转载请注明出处。
解决方法3:
class Solution {
public int findJudge(int N, int[][] trust) {
int [][] b = new int[N][2];
for (int i = 0; i < N; i++) {
b[i][0] = 0;
b[i][1] = 0;
}
for (int i = 0; i < trust.length; i++) {
b[trust[i][0] - 1][0]++;
b[trust[i][1] - 1][1]++;
}
int g = -1;
for (int i = 0; i < N; i++) {
if (b[i][0] == 0 && b[i][1] == N -1) {
if (g != -1) {
return -1;
}
g = i + 1;
}
}
return g;
}
}
作者:lan-de-xiao-mai
链接:https://leetcode-cn.com/problems/find-the-town-judge/solution/javashi-xian-tong-ji-chu-ru-du-by-lan-de-xiao-mai/
来源:力扣(LeetCode)
著作权归作者所有。商业转载请联系作者获得授权,非商业转载请注明出处。
本文深入解析图数据结构,包括无向图、有向图、完全图、DAG图等概念,探讨图的连通性、权重及特殊边类型。通过实例讲解图的邻接顶点、顶点的度,以及在算法设计中的应用,如深度优先搜索和广度优先搜索。同时,提供了三种求解法官问题的方法,包括统计出入度、使用数组记录出入度和简化统计出入度的实现。
8536

被折叠的 条评论
为什么被折叠?



